Suppr超能文献

术前血红蛋白水平作为口腔鳞状细胞癌预后因素的评估

An evaluation of the preoperative hemoglobin level as a prognostic factor for oral squamous cell carcinoma.

作者信息

Cordella Claudia, Luebbers Heinz-Theo, Rivelli Valentina, Grätz Klaus W, Kruse Astrid L

机构信息

Department of Craniomaxillofacial and Oral Surgery, University Hospital Zurich, Frauenklinikstr, 24, Zürich, (CH-8091), Switzerland.

出版信息

Head Neck Oncol. 2011 Aug 15;3:35. doi: 10.1186/1758-3284-3-35.

Abstract

BACKGROUND

Hypoxia seems to be an influencing factor for oral squamous cell carcinomas (SCC), and several immunohistochemical markers have been discussed in this regard. The aim of the present study was to evaluate preoperative hemoglobin levels as a prognostic factor for oral SCC.

MATERIALS AND METHODS

The files of 287 patients who had been treated for oral SCC between 1999 and 2008 were studied retrospectively. Hemoglobin levels between 1 and 5 days prior to surgical treatment were compared to Tumor (T)- and Nodal (N)- status, local recurrence, and lymph node metastases rate. The minimum follow-up period was 12 months.

RESULTS

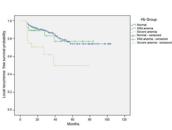
From a total of 287 patients with oral SCC, 205 (71.4%) were in the normal hemoglobin (Hb) group (female Hb ≥ 12.0 g/dl; male Hb ≥ 13.0 g/dl), 53 (18.5%) in the mild anemia (female Hb = 11.0-11.9 g/dl; male Hb = 11.0-12.9 g/dl), and 29 (10.1%) in the severe anemia group (female & male Hb<11.0 g/dl). Anemia was significant for the development of lymph node metastasis (p = 0.005) as well as for local recurrence (p = 0.001). No significant correlation was found to the initial T status (p = 0.183).

CONCLUSION

Our data suggests that an Hb of below 11 g/dl contributes to and is an indicator for a poor prognosis. Consequently, pre-treatment Hb corrections may significantly improve outcome, but further investigations, including blood transfusion/application of erythropoietin due to tumor anemia, independent of intraoperative blood-loss are necessary to ascertain their role in an improved survival.

摘要

背景

缺氧似乎是口腔鳞状细胞癌(SCC)的一个影响因素,在这方面已经讨论了几种免疫组化标志物。本研究的目的是评估术前血红蛋白水平作为口腔SCC的一个预后因素。

材料与方法

回顾性研究了1999年至2008年间接受口腔SCC治疗的287例患者的病历。将手术治疗前1至5天的血红蛋白水平与肿瘤(T)和淋巴结(N)状态、局部复发及淋巴结转移率进行比较。最短随访期为12个月。

结果

在总共287例口腔SCC患者中,205例(71.4%)属于正常血红蛋白(Hb)组(女性Hb≥12.0 g/dl;男性Hb≥13.0 g/dl),53例(18.5%)属于轻度贫血组(女性Hb = 11.0 - 11.9 g/dl;男性Hb = 11.0 - 12.9 g/dl),29例(10.1%)属于重度贫血组(女性和男性Hb<11.0 g/dl)。贫血对于淋巴结转移的发生(p = 0.005)以及局部复发(p = 0.001)具有显著意义。未发现与初始T状态有显著相关性(p = 0.183)。

结论

我们的数据表明,Hb低于11 g/dl会导致预后不良并可作为预后不良的一个指标。因此,治疗前纠正Hb可能会显著改善预后,但需要进一步研究,包括针对肿瘤性贫血进行输血/应用促红细胞生成素,且不考虑术中失血情况,以确定它们在提高生存率方面的作用。

https://cdn.ncbi.nlm.nih.gov/pmc/blobs/c68f/3199902/3ca6b2b8b5f3/1758-3284-3-35-1.jpg

文献检索

告别复杂PubMed语法,用中文像聊天一样搜索,搜遍4000万医学文献。AI智能推荐,让科研检索更轻松。

立即免费搜索

文件翻译

保留排版,准确专业,支持PDF/Word/PPT等文件格式,支持 12+语言互译。

免费翻译文档

深度研究

AI帮你快速写综述,25分钟生成高质量综述,智能提取关键信息,辅助科研写作。

立即免费体验