Suppr超能文献

五十载联氮化合物研究。从实验室猎奇到广谱生物医学进展。

Fifty years of diazeniumdiolate research. From laboratory curiosity to broad-spectrum biomedical advances.

机构信息

Laboratory of Comparative Carcinogenesis, National Cancer Institute at Frederick, Maryland 21702, United States.

出版信息

ACS Chem Biol. 2011 Nov 18;6(11):1147-55. doi: 10.1021/cb200274r. Epub 2011 Sep 30.

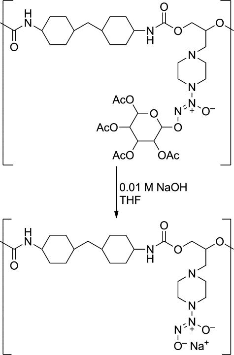
Abstract

Here I show that a "pure" research project, seemingly totally lacking in practical application when it was first published, can years later spark a whole new scientific field with the potential to revolutionize clinical practice. A 1961 publication describing adducts of nitric oxide (NO) with certain nucleophiles attracted little notice at the time, but later work showing that the adducts could be hydrolyzed to regenerate the NO in bioactive form has provided the foundation for a host of biomedical applications. Crucial to the discovery of widely used tools for studying NO's chemical biology as well as for the design of a variety of promising therapeutic advances has been the increasingly detailed understanding of the physicochemical properties of these "diazeniumdiolates" (also known as NONOates).

摘要

在这里,我展示了一个“纯粹”的研究项目,它在首次发表时似乎完全没有实际应用,但多年后却引发了一个全新的科学领域,有可能彻底改变临床实践。1961 年发表的一篇描述一氧化氮 (NO) 与某些亲核试剂加合物的论文在当时并没有引起太多关注,但后来的研究表明,这些加合物可以水解,以生物活性形式再生 NO,为许多生物医学应用提供了基础。广泛用于研究 NO 化学生物学的工具的发现,以及各种有前途的治疗进展的设计,都离不开对这些“二氮烯二醇”(也称为 NONOates)的物理化学性质的日益详细的理解。

https://cdn.ncbi.nlm.nih.gov/pmc/blobs/780b/3220281/8d1a505d6adb/cb-2011-00274r_0001.jpg

文献检索

告别复杂PubMed语法,用中文像聊天一样搜索,搜遍4000万医学文献。AI智能推荐,让科研检索更轻松。

立即免费搜索

文件翻译

保留排版,准确专业,支持PDF/Word/PPT等文件格式,支持 12+语言互译。

免费翻译文档

深度研究

AI帮你快速写综述,25分钟生成高质量综述,智能提取关键信息,辅助科研写作。

立即免费体验