• 文献检索
  • 文档翻译
  • 深度研究
  • 学术资讯
  • Suppr Zotero 插件Zotero 插件
  • 邀请有礼
  • 套餐&价格
  • 历史记录
应用&插件
Suppr Zotero 插件Zotero 插件浏览器插件Mac 客户端Windows 客户端微信小程序
定价
高级版会员购买积分包购买API积分包
服务
文献检索文档翻译深度研究API 文档MCP 服务
关于我们
关于 Suppr公司介绍联系我们用户协议隐私条款
关注我们

Suppr 超能文献

核心技术专利:CN118964589B侵权必究
粤ICP备2023148730 号-1Suppr @ 2026

文献检索

告别复杂PubMed语法,用中文像聊天一样搜索,搜遍4000万医学文献。AI智能推荐,让科研检索更轻松。

立即免费搜索

文件翻译

保留排版,准确专业,支持PDF/Word/PPT等文件格式,支持 12+语言互译。

免费翻译文档

深度研究

AI帮你快速写综述,25分钟生成高质量综述,智能提取关键信息,辅助科研写作。

立即免费体验

在 3T 场强下应用敏感度编码加速组织相位图成像。

Acceleration of tissue phase mapping with sensitivity encoding at 3T.

机构信息

Department of Internal Medicine II, University Hospital of Ulm, Ulm Germany.

出版信息

J Cardiovasc Magn Reson. 2011 Oct 12;13(1):59. doi: 10.1186/1532-429X-13-59.

DOI:10.1186/1532-429X-13-59
PMID:21992267
原文链接:https://pmc.ncbi.nlm.nih.gov/articles/PMC3217863/
Abstract

BACKGROUND

The objective of this study was to investigate the impact of sensitivity encoding on the quantitative assessment of cardiac motion in black blood cine tissue phase mapping (TPM) sequences. Up to now whole volume coverage of the heart is still limited by the long acquisition times. Therefore, a significant increase in imaging speed without deterioration of quantitative motion information is indispensable.

METHODS

20 volunteers were enrolled in this study. Each volunteer underwent myocardial short-axis TPM scans with different SENSE acceleration factors. The influence of SENSE acceleration on the measured motion curves was investigated.

RESULTS

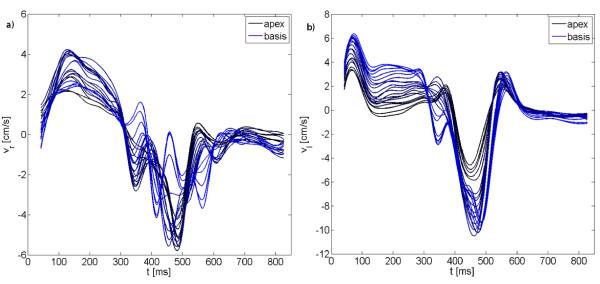
It is demonstrated that all TPM sequences with SENSE acceleration have only minimum influence on the motion curves. Even with a SENSE factor of four, the decrease in the amplitude of the motion curve was less than 3%. No significant difference was observed for the global correlation coefficient and deviation between the motion curves obtained by the reproducibility and the SENSE accelerated measurements.

CONCLUSIONS

It is feasible to accelerate myocardial TPM measurements with SENSE factors up to 4 without losing substantial information of the motion pattern.

摘要

背景

本研究旨在探讨敏感度编码对黑血 Cine 组织相位图(TPM)序列中心脏运动定量评估的影响。到目前为止,心脏的全容积覆盖仍然受到采集时间长的限制。因此,在不降低定量运动信息质量的情况下,显著提高成像速度是必不可少的。

方法

本研究纳入了 20 名志愿者。每位志愿者均进行了不同 SENSE 加速因子的心肌短轴 TPM 扫描。研究了 SENSE 加速对测量运动曲线的影响。

结果

结果表明,所有具有 SENSE 加速的 TPM 序列对运动曲线只有最小的影响。即使 SENSE 因子为四,运动曲线的幅度下降也小于 3%。通过可重复性和 SENSE 加速测量获得的运动曲线的全局相关系数和偏差没有显著差异。

结论

使用高达 4 的 SENSE 因子加速心肌 TPM 测量而不丢失运动模式的实质性信息是可行的。

https://cdn.ncbi.nlm.nih.gov/pmc/blobs/fd86/3217863/787920eb84ac/1532-429X-13-59-8.jpg
https://cdn.ncbi.nlm.nih.gov/pmc/blobs/fd86/3217863/134470803c71/1532-429X-13-59-1.jpg
https://cdn.ncbi.nlm.nih.gov/pmc/blobs/fd86/3217863/28a8e652a455/1532-429X-13-59-2.jpg
https://cdn.ncbi.nlm.nih.gov/pmc/blobs/fd86/3217863/6995ce2a821c/1532-429X-13-59-3.jpg
https://cdn.ncbi.nlm.nih.gov/pmc/blobs/fd86/3217863/2ff837679519/1532-429X-13-59-4.jpg
https://cdn.ncbi.nlm.nih.gov/pmc/blobs/fd86/3217863/d16d6e7a2a7c/1532-429X-13-59-5.jpg
https://cdn.ncbi.nlm.nih.gov/pmc/blobs/fd86/3217863/aff25e9b99d5/1532-429X-13-59-6.jpg
https://cdn.ncbi.nlm.nih.gov/pmc/blobs/fd86/3217863/bb3d4b9d862d/1532-429X-13-59-7.jpg
https://cdn.ncbi.nlm.nih.gov/pmc/blobs/fd86/3217863/787920eb84ac/1532-429X-13-59-8.jpg
https://cdn.ncbi.nlm.nih.gov/pmc/blobs/fd86/3217863/134470803c71/1532-429X-13-59-1.jpg
https://cdn.ncbi.nlm.nih.gov/pmc/blobs/fd86/3217863/28a8e652a455/1532-429X-13-59-2.jpg
https://cdn.ncbi.nlm.nih.gov/pmc/blobs/fd86/3217863/6995ce2a821c/1532-429X-13-59-3.jpg
https://cdn.ncbi.nlm.nih.gov/pmc/blobs/fd86/3217863/2ff837679519/1532-429X-13-59-4.jpg
https://cdn.ncbi.nlm.nih.gov/pmc/blobs/fd86/3217863/d16d6e7a2a7c/1532-429X-13-59-5.jpg
https://cdn.ncbi.nlm.nih.gov/pmc/blobs/fd86/3217863/aff25e9b99d5/1532-429X-13-59-6.jpg
https://cdn.ncbi.nlm.nih.gov/pmc/blobs/fd86/3217863/bb3d4b9d862d/1532-429X-13-59-7.jpg
https://cdn.ncbi.nlm.nih.gov/pmc/blobs/fd86/3217863/787920eb84ac/1532-429X-13-59-8.jpg

相似文献

1
Acceleration of tissue phase mapping with sensitivity encoding at 3T.在 3T 场强下应用敏感度编码加速组织相位图成像。
J Cardiovasc Magn Reson. 2011 Oct 12;13(1):59. doi: 10.1186/1532-429X-13-59.
2
Acceleration of tissue phase mapping by k-t BLAST: a detailed analysis of the influence of k-t-BLAST for the quantification of myocardial motion at 3T.k-t BLAST 加速组织相位图:3T 下心肌运动定量分析中 k-t-BLAST 影响的详细分析。
J Cardiovasc Magn Reson. 2011 Jan 11;13(1):5. doi: 10.1186/1532-429X-13-5.
3
Accelerated two-dimensional cine DENSE cardiovascular magnetic resonance using compressed sensing and parallel imaging.使用压缩感知和平行成像的加速二维电影 DENSE 心血管磁共振成像
J Cardiovasc Magn Reson. 2016 Jun 14;18(1):38. doi: 10.1186/s12968-016-0253-2.
4
Comparison of two single-breath-held 3-D acquisitions with multi-breath-held 2-D cine steady-state free precession MRI acquisition in children with single ventricles.单心室患儿中单次屏气三维采集与多次屏气二维电影稳态自由进动磁共振成像采集的比较。
Pediatr Radiol. 2016 May;46(5):637-45. doi: 10.1007/s00247-015-3531-5. Epub 2016 Feb 22.
5
Reproducibility and observer variability of tissue phase mapping for the quantification of regional myocardial velocities.用于定量分析局部心肌速度的组织相位映射的可重复性和观察者变异性。
Int J Cardiovasc Imaging. 2016 Aug;32(8):1227-34. doi: 10.1007/s10554-016-0894-0. Epub 2016 Apr 26.
6
Highly accelerated cardiac MRI using iterative SENSE reconstruction: initial clinical experience.使用迭代敏感性编码(SENSE)重建的高度加速心脏磁共振成像:初步临床经验。
Int J Cardiovasc Imaging. 2016 Jun;32(6):955-63. doi: 10.1007/s10554-016-0859-3. Epub 2016 Feb 19.
7
Rapid breath-hold assessment of myocardial velocities using spiral UNFOLD-ed SENSE tissue phase mapping.使用螺旋展开式灵敏度编码(SENSE)组织相位映射对心肌速度进行快速屏气评估。
J Magn Reson Imaging. 2016 Oct;44(4):1003-9. doi: 10.1002/jmri.25218. Epub 2016 Feb 29.
8
Improved workflow for quantification of left ventricular volumes and mass using free-breathing motion corrected cine imaging.使用自由呼吸运动校正电影成像技术对左心室容积和质量进行量化的改进工作流程。
J Cardiovasc Magn Reson. 2016 Feb 25;18:10. doi: 10.1186/s12968-016-0231-8.
9
Sorted Golden-step phase encoding: an improved Golden-step imaging technique for cardiac and respiratory self-gated cine cardiovascular magnetic resonance imaging.有序黄金步频编码:一种改进的黄金步频成像技术,用于心脏和呼吸自门控电影心血管磁共振成像。
J Cardiovasc Magn Reson. 2019 Apr 18;21(1):23. doi: 10.1186/s12968-019-0533-8.
10
Feasibility of free-breathing, GRAPPA-based, real-time cardiac cine assessment of left-ventricular function in cardiovascular patients at 3T.在3T条件下对心血管患者进行自由呼吸、基于GRAPPA的左心室功能实时心脏电影评估的可行性。
Eur J Radiol. 2015 May;84(5):849-55. doi: 10.1016/j.ejrad.2015.02.016. Epub 2015 Feb 28.

引用本文的文献

1
Segmental biventricular analysis of myocardial function using high temporal and spatial resolution tissue phase mapping.使用高时间和空间分辨率组织相位映射对心肌功能进行节段性双心室分析。
MAGMA. 2018 Feb;31(1):61-73. doi: 10.1007/s10334-017-0661-9. Epub 2017 Nov 15.
2
Longitudinal myocardial peak velocities using high temporal resolution phase-contrast and simple averaging are comparable to tissue Doppler echocardiography.使用高时间分辨率相位对比和简单平均法获得的纵向心肌峰值速度与组织多普勒超声心动图相当。
MAGMA. 2014 Jun;27(3):211-8. doi: 10.1007/s10334-013-0405-4. Epub 2013 Sep 8.
3
Review of Journal of Cardiovascular Magnetic Resonance 2012.

本文引用的文献

1
SAR reduced black-blood cine TPM for increased temporal resolution at 3T.SAR 降低了黑血 cine TPM,提高了 3T 时的时间分辨率。
MAGMA. 2011 Jun;24(3):127-35. doi: 10.1007/s10334-010-0242-7. Epub 2011 Jan 19.
2
Acceleration of tissue phase mapping by k-t BLAST: a detailed analysis of the influence of k-t-BLAST for the quantification of myocardial motion at 3T.k-t BLAST 加速组织相位图:3T 下心肌运动定量分析中 k-t-BLAST 影响的详细分析。
J Cardiovasc Magn Reson. 2011 Jan 11;13(1):5. doi: 10.1186/1532-429X-13-5.
3
Longitudinally and circumferentially directed movements of the left ventricle studied by cardiovascular magnetic resonance phase contrast velocity mapping.
《心血管磁共振杂志》2012 年回顾。
J Cardiovasc Magn Reson. 2013 Sep 4;15(1):76. doi: 10.1186/1532-429X-15-76.
4
Review of Journal of Cardiovascular Magnetic Resonance 2011.《心血管磁共振杂志》 2011 年回顾。
J Cardiovasc Magn Reson. 2012 Nov 18;14(1):78. doi: 10.1186/1532-429X-14-78.
5
Volumetric motion quantification by 3D tissue phase mapped CMR.基于 3D 组织相位映射 CMR的容积运动定量分析。
J Cardiovasc Magn Reson. 2012 Oct 26;14(1):74. doi: 10.1186/1532-429X-14-74.
6
Combination of tagging and tissue phase mapping to accelerate myocardial motion measurements in three directions.结合标记和组织相位映射技术加速心肌运动的三维测量。
MAGMA. 2013 Apr;26(2):239-47. doi: 10.1007/s10334-012-0333-8. Epub 2012 Aug 5.
心血管磁共振相位对比速度图研究左心室的纵向和周向运动。
J Cardiovasc Magn Reson. 2010 Aug 17;12(1):48. doi: 10.1186/1532-429X-12-48.
4
Breathheld autocalibrated phase-contrast imaging.屏气自动校准相位对比成像。
J Magn Reson Imaging. 2010 Apr;31(4):1004-14. doi: 10.1002/jmri.22127.
5
k-t PCA: temporally constrained k-t BLAST reconstruction using principal component analysis.k-t主成分分析:使用主成分分析的时间约束k-t快速线性迭代收缩阈值算法重建
Magn Reson Med. 2009 Sep;62(3):706-16. doi: 10.1002/mrm.22052.
6
Accelerated phase-contrast MR imaging: comparison of k-t BLAST with SENSE and Doppler ultrasound for velocity and flow measurements in the aorta.加速相位对比磁共振成像:k-t BLAST与敏感性编码技术及多普勒超声在主动脉速度和血流测量中的比较
J Magn Reson Imaging. 2009 Apr;29(4):817-24. doi: 10.1002/jmri.21706.
7
Comprehensive segmentation of cine cardiac MR images.心脏电影磁共振图像的全面分割
Med Image Comput Comput Assist Interv. 2008;11(Pt 1):178-85. doi: 10.1007/978-3-540-85988-8_22.
8
Highly k-t-space-accelerated phase-contrast MRI.高k空间加速相位对比磁共振成像
Magn Reson Med. 2008 Nov;60(5):1169-77. doi: 10.1002/mrm.21764.
9
Accelerated CMR using zonal, parallel and prior knowledge driven imaging methods.使用区域、并行和先验知识驱动成像方法的加速心脏磁共振成像
J Cardiovasc Magn Reson. 2008 Jun 5;10(1):29. doi: 10.1186/1532-429X-10-29.
10
Three-directional myocardial phase-contrast tissue velocity MR imaging with navigator-echo gating: in vivo and in vitro study.采用导航回波门控的三向心肌相位对比组织速度磁共振成像:体内和体外研究
Radiology. 2008 Mar;246(3):917-25. doi: 10.1148/radiol.2463062155. Epub 2008 Jan 25.