Suppr超能文献

基于脑电图的全麻状态下“清醒”与“麻醉”的自动分类:格兰杰因果关系的应用。

EEG-based automatic classification of 'awake' versus 'anesthetized' state in general anesthesia using Granger causality.

机构信息

Department of Electrical and Computer Engineering, KIOS Research Centre, University of Cyprus, Nicosia, Cyprus.

出版信息

PLoS One. 2012;7(3):e33869. doi: 10.1371/journal.pone.0033869. Epub 2012 Mar 22.

Abstract

BACKGROUND

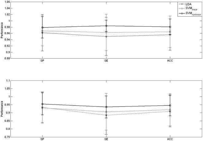
General anesthesia is a reversible state of unconsciousness and depression of reflexes to afferent stimuli induced by administration of a "cocktail" of chemical agents. The multi-component nature of general anesthesia complicates the identification of the precise mechanisms by which anesthetics disrupt consciousness. Devices that monitor the depth of anesthesia are an important aide for the anesthetist. This paper investigates the use of effective connectivity measures from human electrical brain activity as a means of discriminating between 'awake' and 'anesthetized' state during induction and recovery of consciousness under general anesthesia.

METHODOLOGY/PRINCIPAL FINDINGS: Granger Causality (GC), a linear measure of effective connectivity, is utilized in automated classification of 'awake' versus 'anesthetized' state using Linear Discriminant Analysis and Support Vector Machines (with linear and non-linear kernel). Based on our investigations, the most characteristic change of GC observed between the two states is the sharp increase of GC from frontal to posterior regions when the subject was anesthetized, and reversal at recovery of consciousness. Features derived from the GC estimates resulted in classification of 'awake' and 'anesthetized' states in 21 patients with maximum average accuracies of 0.98 and 0.95, during loss and recovery of consciousness respectively. The differences in linear and non-linear classification are not statistically significant, implying that GC features are linearly separable, eliminating the need for a complex and computationally expensive non-linear classifier. In addition, the observed GC patterns are particularly interesting in terms of a physiological interpretation of the disruption of consciousness by anesthetics. Bidirectional interaction or strong unidirectional interaction in the presence of a common input as captured by GC are most likely related to mechanisms of information flow in cortical circuits.

CONCLUSIONS/SIGNIFICANCE: GC-based features could be utilized effectively in a device for monitoring depth of anesthesia during surgery.

摘要

背景

全身麻醉是一种可逆的无意识状态和反射抑制状态,通过给予化学药物“鸡尾酒”来诱导。全身麻醉的多成分性质使确定麻醉剂破坏意识的确切机制变得复杂。监测麻醉深度的设备是麻醉师的重要辅助工具。本文研究了使用来自人类电脑活动的有效连通性测量作为在全身麻醉诱导和恢复意识期间区分“清醒”和“麻醉”状态的一种手段。

方法/主要发现:格兰杰因果关系(GC)是一种线性有效连通性度量,用于使用线性判别分析和支持向量机(线性和非线性核)自动分类“清醒”与“麻醉”状态。基于我们的研究,在两个状态之间观察到的 GC 的最典型变化是当受试者被麻醉时,从额区到后区的 GC 急剧增加,而在恢复意识时则逆转。从 GC 估计中得出的特征导致在 21 名患者中对“清醒”和“麻醉”状态进行分类,在意识丧失和恢复期间的最大平均准确率分别为 0.98 和 0.95。线性和非线性分类之间的差异没有统计学意义,这意味着 GC 特征是线性可分离的,不需要复杂且计算成本高的非线性分类器。此外,观察到的 GC 模式在解释麻醉剂对意识的破坏方面具有特别有趣的生理意义。在存在共同输入的情况下,双向相互作用或强单向相互作用,如 GC 所捕捉到的,很可能与皮质回路中的信息流机制有关。

结论/意义:基于 GC 的特征可有效地用于监测手术期间麻醉深度的设备。

https://cdn.ncbi.nlm.nih.gov/pmc/blobs/37d3/3310868/2fc0d11e1bf2/pone.0033869.g001.jpg

相似文献

1
EEG-based automatic classification of 'awake' versus 'anesthetized' state in general anesthesia using Granger causality.
PLoS One. 2012;7(3):e33869. doi: 10.1371/journal.pone.0033869. Epub 2012 Mar 22.
2
Entropy measures for discrimination of 'awake' Vs 'anaesthetized' state in recovery from general anesthesia.
Annu Int Conf IEEE Eng Med Biol Soc. 2011;2011:2598-601. doi: 10.1109/IEMBS.2011.6090717.
3
Neural network-based classification of anesthesia/awareness using Granger causality features.
Clin EEG Neurosci. 2014 Apr;45(2):77-88. doi: 10.1177/1550059413486271. Epub 2013 Jul 1.
4
Detrended fluctuation analysis of EEG as a measure of depth of anesthesia.
IEEE Trans Biomed Eng. 2007 May;54(5):840-6. doi: 10.1109/TBME.2007.893453.
5
Recovery of consciousness and cognition after general anesthesia in humans.
Elife. 2021 May 10;10:e59525. doi: 10.7554/eLife.59525.
6
Machine learning for a combined electroencephalographic anesthesia index to detect awareness under anesthesia.
PLoS One. 2020 Aug 26;15(8):e0238249. doi: 10.1371/journal.pone.0238249. eCollection 2020.
8
BOLD temporal variability differentiates wakefulness from anesthesia-induced unconsciousness.
J Neurophysiol. 2018 Mar 1;119(3):834-848. doi: 10.1152/jn.00714.2017. Epub 2017 Dec 6.
9
Comparison of the qCON and qNOX indices for the assessment of unconsciousness level and noxious stimulation response during surgery.
J Clin Monit Comput. 2017 Dec;31(6):1273-1281. doi: 10.1007/s10877-016-9948-z. Epub 2016 Oct 20.
10
Pharmacologically informed machine learning approach for identifying pathological states of unconsciousness via resting-state fMRI.
Neuroimage. 2020 Feb 1;206:116316. doi: 10.1016/j.neuroimage.2019.116316. Epub 2019 Oct 29.

引用本文的文献

1
Accurate Machine Learning-based Monitoring of Anesthesia Depth with EEG Recording.
Neurosci Bull. 2025 Mar;41(3):449-460. doi: 10.1007/s12264-024-01297-w. Epub 2024 Sep 17.
2
Consciousness and complexity: a consilience of evidence.
Neurosci Conscious. 2021 Aug 30;2021(2):niab023. doi: 10.1093/nc/niab023. eCollection 2021.
3
The applied principles of EEG analysis methods in neuroscience and clinical neurology.
Mil Med Res. 2023 Dec 19;10(1):67. doi: 10.1186/s40779-023-00502-7.
4
The nature of consciousness in anaesthesia.
BJA Open. 2023 Sep 26;8:100224. doi: 10.1016/j.bjao.2023.100224. eCollection 2023 Dec.
5
Separation of responsive and unresponsive patients under clinical conditions: comparison of symbolic transfer entropy and permutation entropy.
J Clin Monit Comput. 2024 Feb;38(1):187-196. doi: 10.1007/s10877-023-01046-w. Epub 2023 Jul 12.
6
Assessing rheoencephalography dynamics through analysis of the interactions among brain and cardiac networks during general anesthesia.
Front Netw Physiol. 2022 Aug 29;2:912733. doi: 10.3389/fnetp.2022.912733. eCollection 2022.
8
Paradoxical markers of conscious levels: Effects of propofol on patients in disorders of consciousness.
Front Hum Neurosci. 2022 Oct 6;16:992649. doi: 10.3389/fnhum.2022.992649. eCollection 2022.
9
Selective corticocortical connectivity suppression during propofol-induced anesthesia in healthy volunteers.
Cogn Neurodyn. 2022 Oct;16(5):1029-1043. doi: 10.1007/s11571-021-09775-x. Epub 2022 Jan 26.
10
Brain and brain-heart Granger causality during wakefulness and sleep.
Front Neurosci. 2022 Sep 15;16:927111. doi: 10.3389/fnins.2022.927111. eCollection 2022.

本文引用的文献

1
Behaviour of Granger causality under filtering: theoretical invariance and practical application.
J Neurosci Methods. 2011 Oct 15;201(2):404-19. doi: 10.1016/j.jneumeth.2011.08.010. Epub 2011 Aug 12.
2
Testing the involvement of baroreflex during general anesthesia through Granger causality approach.
Comput Biol Med. 2012 Mar;42(3):306-12. doi: 10.1016/j.compbiomed.2011.03.005. Epub 2011 Mar 31.
3
Granger causality relationships between local field potentials in an animal model of temporal lobe epilepsy.
J Neurosci Methods. 2010 May 30;189(1):121-9. doi: 10.1016/j.jneumeth.2010.03.007. Epub 2010 Mar 19.
4
Wiener-Granger causality: a well established methodology.
Neuroimage. 2011 Sep 15;58(2):323-9. doi: 10.1016/j.neuroimage.2010.02.059. Epub 2010 Mar 2.
5
Breakdown in cortical effective connectivity during midazolam-induced loss of consciousness.
Proc Natl Acad Sci U S A. 2010 Feb 9;107(6):2681-6. doi: 10.1073/pnas.0913008107. Epub 2010 Jan 25.
6
Anaesthesia monitoring by recurrence quantification analysis of EEG data.
PLoS One. 2010 Jan 26;5(1):e8876. doi: 10.1371/journal.pone.0008876.
7
The effect of filtering on Granger causality based multivariate causality measures.
Neuroimage. 2010 Apr 1;50(2):577-88. doi: 10.1016/j.neuroimage.2009.12.050. Epub 2009 Dec 21.
8
A MATLAB toolbox for Granger causal connectivity analysis.
J Neurosci Methods. 2010 Feb 15;186(2):262-73. doi: 10.1016/j.jneumeth.2009.11.020. Epub 2009 Dec 2.
9
Practical use of the raw electroencephalogram waveform during general anesthesia: the art and science.
Anesth Analg. 2009 Aug;109(2):539-50. doi: 10.1213/ane.0b013e3181a9fc38.
10
The directionality and functional organization of frontoparietal connectivity during consciousness and anesthesia in humans.
Conscious Cogn. 2009 Dec;18(4):1069-78. doi: 10.1016/j.concog.2009.04.004. Epub 2009 May 13.

文献AI研究员

20分钟写一篇综述,助力文献阅读效率提升50倍。

立即体验

用中文搜PubMed

大模型驱动的PubMed中文搜索引擎

马上搜索

文档翻译

学术文献翻译模型,支持多种主流文档格式。

立即体验