• 文献检索
  • 文档翻译
  • 深度研究
  • 学术资讯
  • Suppr Zotero 插件Zotero 插件
  • 邀请有礼
  • 套餐&价格
  • 历史记录
应用&插件
Suppr Zotero 插件Zotero 插件浏览器插件Mac 客户端Windows 客户端微信小程序
定价
高级版会员购买积分包购买API积分包
服务
文献检索文档翻译深度研究API 文档MCP 服务
关于我们
关于 Suppr公司介绍联系我们用户协议隐私条款
关注我们

Suppr 超能文献

核心技术专利:CN118964589B侵权必究
粤ICP备2023148730 号-1Suppr @ 2026

文献检索

告别复杂PubMed语法,用中文像聊天一样搜索,搜遍4000万医学文献。AI智能推荐,让科研检索更轻松。

立即免费搜索

文件翻译

保留排版,准确专业,支持PDF/Word/PPT等文件格式,支持 12+语言互译。

免费翻译文档

深度研究

AI帮你快速写综述,25分钟生成高质量综述,智能提取关键信息,辅助科研写作。

立即免费体验

惩罚敏感性调节负面反馈的处理,但不调节错误诱导学习。

Punishment sensitivity modulates the processing of negative feedback but not error-induced learning.

作者信息

Unger Kerstin, Heintz Sonja, Kray Jutta

机构信息

Department of Psychology, Development of Language, Learning, and Action, Saarland University Saarbruecken, Germany.

出版信息

Front Hum Neurosci. 2012 Jun 27;6:186. doi: 10.3389/fnhum.2012.00186. eCollection 2012.

DOI:10.3389/fnhum.2012.00186
PMID:22754518
原文链接:https://pmc.ncbi.nlm.nih.gov/articles/PMC3384291/
Abstract

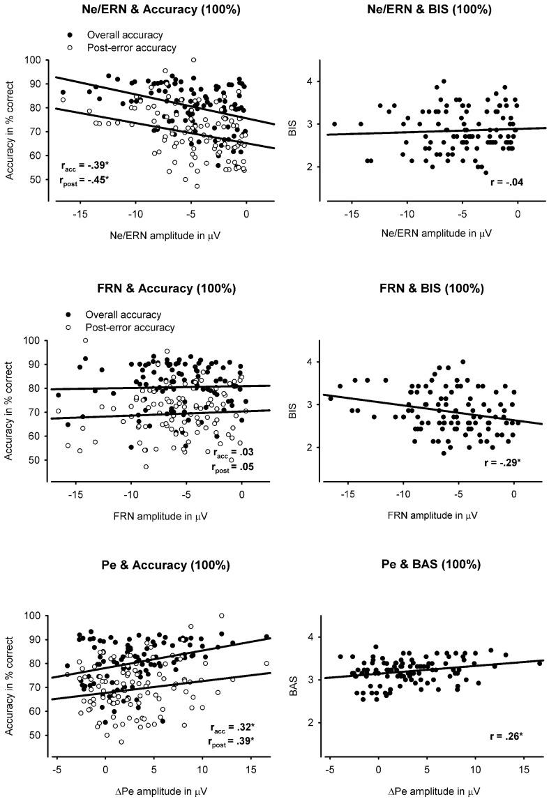
Accumulating evidence suggests that individual differences in punishment and reward sensitivity are associated with functional alterations in neural systems underlying error and feedback processing. In particular, individuals highly sensitive to punishment have been found to be characterized by larger mediofrontal error signals as reflected in the error negativity/error-related negativity (Ne/ERN) and the feedback-related negativity (FRN). By contrast, reward sensitivity has been shown to relate to the error positivity (Pe). Given that Ne/ERN, FRN, and Pe have been functionally linked to flexible behavioral adaptation, the aim of the present research was to examine how these electrophysiological reflections of error and feedback processing vary as a function of punishment and reward sensitivity during reinforcement learning. We applied a probabilistic learning task that involved three different conditions of feedback validity (100%, 80%, and 50%). In contrast to prior studies using response competition tasks, we did not find reliable correlations between punishment sensitivity and the Ne/ERN. Instead, higher punishment sensitivity predicted larger FRN amplitudes, irrespective of feedback validity. Moreover, higher reward sensitivity was associated with a larger Pe. However, only reward sensitivity was related to better overall learning performance and higher post-error accuracy, whereas highly punishment sensitive participants showed impaired learning performance, suggesting that larger negative feedback-related error signals were not beneficial for learning or even reflected maladaptive information processing in these individuals. Thus, although our findings indicate that individual differences in reward and punishment sensitivity are related to electrophysiological correlates of error and feedback processing, we found less evidence for influences of these personality characteristics on the relation between performance monitoring and feedback-based learning.

摘要

越来越多的证据表明,惩罚和奖励敏感性的个体差异与错误和反馈处理背后的神经系统功能改变有关。特别是,已发现对惩罚高度敏感的个体的特征是,在错误负波/错误相关负波(Ne/ERN)和反馈相关负波(FRN)中反映出更大的额中回错误信号。相比之下,奖励敏感性已被证明与错误正波(Pe)有关。鉴于Ne/ERN、FRN和Pe在功能上与灵活的行为适应相关,本研究的目的是考察在强化学习过程中,这些错误和反馈处理的电生理反映如何随惩罚和奖励敏感性而变化。我们应用了一个概率学习任务,该任务涉及三种不同的反馈有效性条件(100%、80%和50%)。与先前使用反应竞争任务的研究不同,我们没有发现惩罚敏感性与Ne/ERN之间存在可靠的相关性。相反,更高的惩罚敏感性预测了更大的FRN波幅,而与反馈有效性无关。此外,更高的奖励敏感性与更大的Pe相关。然而,只有奖励敏感性与更好的整体学习表现和更高的错误后准确性有关,而对惩罚高度敏感的参与者表现出学习表现受损,这表明更大的负反馈相关错误信号对学习没有益处,甚至反映了这些个体中适应不良的信息处理。因此,尽管我们的研究结果表明奖励和惩罚敏感性的个体差异与错误和反馈处理的电生理相关,但我们发现这些人格特征对绩效监测和基于反馈的学习之间关系的影响证据较少。

https://cdn.ncbi.nlm.nih.gov/pmc/blobs/93c4/3384291/8f38c7fbb29f/fnhum-06-00186-g0007.jpg
https://cdn.ncbi.nlm.nih.gov/pmc/blobs/93c4/3384291/d28d92d33d64/fnhum-06-00186-g0001.jpg
https://cdn.ncbi.nlm.nih.gov/pmc/blobs/93c4/3384291/263e23e3c5df/fnhum-06-00186-g0002.jpg
https://cdn.ncbi.nlm.nih.gov/pmc/blobs/93c4/3384291/5506cd9054c9/fnhum-06-00186-g0003.jpg
https://cdn.ncbi.nlm.nih.gov/pmc/blobs/93c4/3384291/d7bfa39c497d/fnhum-06-00186-g0004.jpg
https://cdn.ncbi.nlm.nih.gov/pmc/blobs/93c4/3384291/7cc95a60febe/fnhum-06-00186-g0005.jpg
https://cdn.ncbi.nlm.nih.gov/pmc/blobs/93c4/3384291/2b7eeac52b03/fnhum-06-00186-g0006.jpg
https://cdn.ncbi.nlm.nih.gov/pmc/blobs/93c4/3384291/8f38c7fbb29f/fnhum-06-00186-g0007.jpg
https://cdn.ncbi.nlm.nih.gov/pmc/blobs/93c4/3384291/d28d92d33d64/fnhum-06-00186-g0001.jpg
https://cdn.ncbi.nlm.nih.gov/pmc/blobs/93c4/3384291/263e23e3c5df/fnhum-06-00186-g0002.jpg
https://cdn.ncbi.nlm.nih.gov/pmc/blobs/93c4/3384291/5506cd9054c9/fnhum-06-00186-g0003.jpg
https://cdn.ncbi.nlm.nih.gov/pmc/blobs/93c4/3384291/d7bfa39c497d/fnhum-06-00186-g0004.jpg
https://cdn.ncbi.nlm.nih.gov/pmc/blobs/93c4/3384291/7cc95a60febe/fnhum-06-00186-g0005.jpg
https://cdn.ncbi.nlm.nih.gov/pmc/blobs/93c4/3384291/2b7eeac52b03/fnhum-06-00186-g0006.jpg
https://cdn.ncbi.nlm.nih.gov/pmc/blobs/93c4/3384291/8f38c7fbb29f/fnhum-06-00186-g0007.jpg

相似文献

1
Punishment sensitivity modulates the processing of negative feedback but not error-induced learning.惩罚敏感性调节负面反馈的处理,但不调节错误诱导学习。
Front Hum Neurosci. 2012 Jun 27;6:186. doi: 10.3389/fnhum.2012.00186. eCollection 2012.
2
Event-related components of the punishment and reward sensitivity.与惩罚和奖励敏感性相关的事件相关成分。
Clin Neurophysiol. 2010 Jan;121(1):60-76. doi: 10.1016/j.clinph.2009.10.004. Epub 2009 Nov 8.
3
Better or worse than expected? Aging, learning, and the ERN.比预期更好还是更糟?衰老、学习与错误相关负波。
Neuropsychologia. 2008 Jan 31;46(2):521-39. doi: 10.1016/j.neuropsychologia.2007.09.001. Epub 2007 Sep 7.
4
Error-related ERP components and individual differences in punishment and reward sensitivity.与错误相关的事件相关电位成分以及惩罚和奖励敏感性的个体差异。
Brain Res. 2006 Jul 26;1101(1):92-101. doi: 10.1016/j.brainres.2006.05.004. Epub 2006 Jun 19.
5
Impact of reward and punishment motivation on behavior monitoring as indexed by the error-related negativity.奖励和惩罚动机对错误相关负性波(ERN)所反映的行为监测的影响。
Int J Psychophysiol. 2011 Sep;81(3):324-31. doi: 10.1016/j.ijpsycho.2011.07.020. Epub 2011 Aug 17.
6
Learning processes underlying avoidance of negative outcomes.避免负面结果背后的学习过程。
Psychophysiology. 2017 Apr;54(4):578-590. doi: 10.1111/psyp.12822. Epub 2017 Feb 8.
7
Event-related potentials reflect impaired temporal interval learning following haloperidol administration.事件相关电位反映了氟哌啶醇给药后时间间隔学习受损。
Psychopharmacology (Berl). 2017 Sep;234(17):2545-2562. doi: 10.1007/s00213-017-4645-2. Epub 2017 Jun 10.
8
The impact of stress on feedback and error processing during behavioral adaptation.压力对行为适应过程中反馈与错误处理的影响。
Neuropsychologia. 2015 May;71:181-90. doi: 10.1016/j.neuropsychologia.2015.04.004. Epub 2015 Apr 7.
9
Sensitivity to punishment and reward omission: evidence from error-related ERP components.对惩罚和奖励缺失的敏感性:来自错误相关ERP成分的证据。
Biol Psychol. 2008 Oct;79(2):185-92. doi: 10.1016/j.biopsycho.2008.04.010. Epub 2008 May 3.
10
"Trick or treat": the influence of incentives on developmental changes in feedback-based learning.“不给糖就捣蛋”:奖励对基于反馈的学习发展变化的影响。
Front Psychol. 2014 Sep 9;5:968. doi: 10.3389/fpsyg.2014.00968. eCollection 2014.

引用本文的文献

1
Post-error Slowing Reflects the Joint Impact of Adaptive and Maladaptive Processes During Decision Making.错误后反应迟缓反映了决策过程中适应性和适应不良过程的共同影响。
Front Hum Neurosci. 2022 Jun 9;16:864590. doi: 10.3389/fnhum.2022.864590. eCollection 2022.
2
Neural Signatures of Performance Feedback in the Paced Auditory Serial Addition Task (PASAT): An ERP Study.定速听觉连续加法任务(PASAT)中绩效反馈的神经特征:一项事件相关电位研究
Front Hum Neurosci. 2021 Feb 18;15:630468. doi: 10.3389/fnhum.2021.630468. eCollection 2021.
3
The relationships among aberrant salience, reward motivation, and reward sensitivity.

本文引用的文献

1
On Using Analysis Of Covariance In Repeated Measures Designs.重复测量设计中协方差分析的应用
Multivariate Behav Res. 1981 Jan 1;16(1):105-23. doi: 10.1207/s15327906mbr1601_6.
2
Event-related brain potentials following incorrect feedback in a time-estimation task: evidence for a "generic" neural system for error detection.在时间估计任务中出现错误反馈后的事件相关脑电位:错误检测的“通用”神经系统证据。
J Cogn Neurosci. 1997 Nov;9(6):788-98. doi: 10.1162/jocn.1997.9.6.788.
3
Larger Error Signals in Major Depression are Associated with Better Avoidance Learning.
异常突显、奖励动机和奖励敏感性之间的关系。
Int J Methods Psychiatr Res. 2018 Dec;27(4):e1615. doi: 10.1002/mpr.1615. Epub 2018 Apr 24.
4
Feedback valence affects auditory perceptual learning independently of feedback probability.反馈效价独立于反馈概率影响听觉感知学习。
PLoS One. 2015 May 6;10(5):e0126412. doi: 10.1371/journal.pone.0126412. eCollection 2015.
5
Factors mediating performance monitoring in humans-from context to personality.介导人类绩效监测的因素——从情境到个性。
Front Hum Neurosci. 2013 Jan 31;7:23. doi: 10.3389/fnhum.2013.00023. eCollection 2013.
重度抑郁症中较大的错误信号与更好的回避学习有关。
Front Psychol. 2011 Nov 9;2:331. doi: 10.3389/fpsyg.2011.00331. eCollection 2011.
4
Worse than feared? Failure induction modulates the electrophysiological signature of error monitoring during subsequent learning.更糟?失败诱发调节后续学习期间错误监控的电生理特征。
Cogn Affect Behav Neurosci. 2012 Mar;12(1):34-51. doi: 10.3758/s13415-011-0061-y.
5
Neural responses to negative feedback are related to negative emotionality in healthy adults.健康成年人对负反馈的神经反应与负性情绪有关。
Soc Cogn Affect Neurosci. 2012 Oct;7(7):794-803. doi: 10.1093/scan/nsr054. Epub 2011 Sep 14.
6
Age, sex and individual differences in punishment sensitivity: factors influencing the feedback-related negativity.年龄、性别和个体差异对惩罚敏感性的影响:影响反馈相关负波的因素。
Psychophysiology. 2011 Nov;48(11):1481-1489. doi: 10.1111/j.1469-8986.2011.01229.x. Epub 2011 Jun 28.
7
The integration of negative affect, pain and cognitive control in the cingulate cortex.扣带皮层中负性情绪、疼痛和认知控制的整合。
Nat Rev Neurosci. 2011 Mar;12(3):154-67. doi: 10.1038/nrn2994.
8
Absorbed in the task: Personality measures predict engagement during task performance as tracked by error negativity and asymmetrical frontal activity.专注于任务:人格测量可以预测任务表现期间的投入程度,这可以通过错误负波和不对称额部活动来跟踪。
Cogn Affect Behav Neurosci. 2010 Dec;10(4):441-53. doi: 10.3758/CABN.10.4.441.
9
Frontocingulate dysfunction in depression: toward biomarkers of treatment response.抑郁患者额眶部皮质功能障碍:寻找治疗反应的生物标志物。
Neuropsychopharmacology. 2011 Jan;36(1):183-206. doi: 10.1038/npp.2010.166. Epub 2010 Sep 22.
10
Social stress reactivity alters reward and punishment learning.社会压力反应改变了奖惩学习。
Soc Cogn Affect Neurosci. 2011 Jun;6(3):311-20. doi: 10.1093/scan/nsq041. Epub 2010 May 7.