Suppr超能文献

莱茵衣藻发酵途径中存在着调控基因表达的不同机制。

Distinct mechanisms regulating gene expression coexist within the fermentative pathways in Chlamydomonas reinhardtii.

作者信息

Swirsky Whitney Larisa Angela, Novi Giacomo, Perata Pierdomenico, Loreti Elena

机构信息

Department of Crop Plant Biology, University of Pisa, Via Mariscoglio 34, 56124 Pisa, Italy.

出版信息

ScientificWorldJournal. 2012;2012:565047. doi: 10.1100/2012/565047. Epub 2012 Jun 18.

Abstract

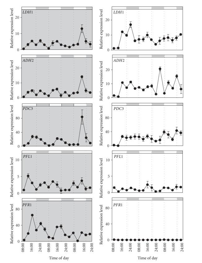
Under dark anoxia, the unicellular green algae Chlamydomonas reinhardtii may produce hydrogen by means of its hydrogenase enzymes, in particular HYD1, using reductants derived from the degradation of intercellular carbon stores. Other enzymes belonging to the fermentative pathways compete for the same reductants. A complete understanding of the mechanisms determining the activation of one pathway rather than another will help us engineer Chlamydomonas for fermentative metabolite production, including hydrogen. We examined the expression pattern of the fermentative genes PDC3, LDH1, ADH2, PFL1, and PFR1 in response to day-night cycles, continuous light, continuous darkness, and low or high oxygen availability, which are all conditions that vary on a regular basis in Chlamydomonas' natural environment. We found that all genes except PFL1 show daily fluctuations in expression, and that PFR1 differentiated itself from the others in that it is clearly responsive to low oxygen, where as PDC3, LDH1, and ADH2 are primarily under diurnal regulation. Our results provide evidence that there exist at least three different regulatory mechanisms within the fermentative pathways and suggest that the fermentative pathways are not redundant but rather that availability of a variety of pathways allows for a differential metabolic response to different environmental conditions.

摘要

在黑暗缺氧条件下,单细胞绿藻莱茵衣藻可通过其氢化酶,特别是HYD1,利用细胞内碳储存降解产生的还原剂来产生氢气。属于发酵途径的其他酶会竞争相同的还原剂。全面了解决定一种途径而非另一种途径激活的机制,将有助于我们对莱茵衣藻进行基因工程改造,以生产包括氢气在内的发酵代谢产物。我们研究了发酵基因PDC3、LDH1、ADH2、PFL1和PFR1在昼夜循环、持续光照、持续黑暗以及低氧或高氧条件下的表达模式,这些都是莱茵衣藻自然环境中定期变化的条件。我们发现,除PFL1外,所有基因的表达都呈现出每日波动,并且PFR1与其他基因不同,它对低氧有明显反应,而PDC3、LDH1和ADH2主要受昼夜调节。我们的结果提供了证据,表明发酵途径中至少存在三种不同的调节机制,并表明发酵途径并非多余,而是多种途径的存在使得对不同环境条件有不同的代谢反应。

https://cdn.ncbi.nlm.nih.gov/pmc/blobs/43cb/3385630/90d6ced4c7cb/TSWJ2012-565047.001.jpg

文献检索

告别复杂PubMed语法,用中文像聊天一样搜索,搜遍4000万医学文献。AI智能推荐,让科研检索更轻松。

立即免费搜索

文件翻译

保留排版,准确专业,支持PDF/Word/PPT等文件格式,支持 12+语言互译。

免费翻译文档

深度研究

AI帮你快速写综述,25分钟生成高质量综述,智能提取关键信息,辅助科研写作。

立即免费体验