Canadian Centre for Agri-Food Research in Health and Medicine, Winnipeg R2H2A6, Canada.
BMC Complement Altern Med. 2012 Aug 29;12:140. doi: 10.1186/1472-6882-12-140.
In ancient times, plants were recognized for their medicinal properties. Later, the arrival of synthetic drugs pushed it to the backstage. However, from being merely used for food, plants are now been widely explored for their therapeutic value. The current study explores the potential of skin and flesh extracts from a hard-necked Rocambole variety of purple garlic in preventing cardiomyocyte hypertrophy and cell death.
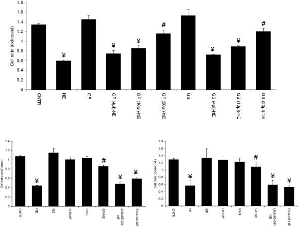
Norepinephrine (NE) was used to induce hypertrophy in adult rat cardiomyocytes pretreated with garlic skin and flesh extracts. Cell death was measured as ratio of rod to round shaped cardiomyocytes. Fluorescent probes were used to measure apoptosis and oxidative stress in cardiomyocytes treated with and without extracts and NE. Pharmacological blockade of nitric oxide (NO) and hydrogen sulfide (H₂S) were used to elucidate the mechanism of action of garlic extracts. Garlic extract samples were also tested for alliin and allicin concentrations.
Exposure of cardiomyocytes to NE induced an increase in cell size and cell death; this increase was significantly prevented upon treatment with garlic skin and flesh extracts. Norepinephrine increased apoptosis and oxidative stress in cardiomyocytes which was prevented upon pretreatment with skin and flesh extracts; NO, and H₂S blockers significantly inhibited this beneficial effect. Allicin and alliin concentration were significantly higher in garlic flesh extract when compared to the skin extract.
These results suggest that both skin and flesh garlic extracts are effective in preventing NE induced cardiomyocyte hypertrophy and cell death. Reduction in oxidative stress may also play an important role in the anti-hypertrophic and anti-apoptotic properties of garlic extracts. These beneficial effects may in part be mediated by NO and H₂S.
在古代,人们就认识到植物的药用特性。后来,合成药物的出现将其推向了幕后。然而,植物已不再仅仅用于食品,而是正在被广泛探索其治疗价值。本研究探讨了硬颈罗克曼紫色大蒜的皮和肉提取物预防心肌细胞肥大和细胞死亡的潜力。
用去甲肾上腺素(NE)诱导经大蒜皮和肉提取物预处理的成年大鼠心肌细胞肥大。通过杆状到圆形心肌细胞的比例来测量细胞死亡。荧光探针用于测量用和不用提取物和 NE 处理的心肌细胞中的细胞凋亡和氧化应激。一氧化氮(NO)和硫化氢(H₂S)的药理学阻断用于阐明大蒜提取物的作用机制。还测试了大蒜提取物样品中的蒜氨酸和大蒜素浓度。
NE 暴露于心肌细胞中会引起细胞大小增加和细胞死亡;用大蒜皮和肉提取物处理可显著预防这种增加。NE 增加了心肌细胞中的细胞凋亡和氧化应激,用皮和肉提取物预处理可预防这种作用;NO 和 H₂S 阻断剂显著抑制了这种有益作用。与皮肤提取物相比,大蒜肉提取物中的大蒜素和蒜氨酸浓度明显更高。
这些结果表明,大蒜的皮和肉提取物均能有效预防 NE 诱导的心肌细胞肥大和细胞死亡。减少氧化应激也可能在大蒜提取物的抗肥大和抗细胞凋亡特性中起重要作用。这些有益作用可能部分由 NO 和 H₂S 介导。