Suppr超能文献

注意缺陷多动障碍(ADHD)男性和女性成人中多动症状持续存在,仍然是该障碍高度鉴别特征:病例对照研究。

Hyperactivity persists in male and female adults with ADHD and remains a highly discriminative feature of the disorder: a case-control study.

机构信息

Developmental Biopsychiatry Research Program, McLean Hospital, 115 Mill Street, Belmont, MA 02478, USA.

出版信息

BMC Psychiatry. 2012 Nov 7;12:190. doi: 10.1186/1471-244X-12-190.

Abstract

BACKGROUND

Symptoms of hyperactivity are believed to fade with age leaving ADHD adults mostly inattentive and impulsive. Our aim was to test this assertion using objective measures of hyperactivity, impulsivity and inattention.

METHOD

Participants were 40 subjects with ADHD (23M/17F; 35±10 yrs) and 60 healthy adults (28M/32F; 29±9 yrs) blindly assessed using Wender-Reimherr interview ratings, Structured Clinical Interview for DSM-IV Disorders and DSM-IV criteria. Infrared motion capture systems tracked head and leg movements during performance of a No-4's cognitive control task. Subjects also completed the Conners' CPT-II.

RESULTS

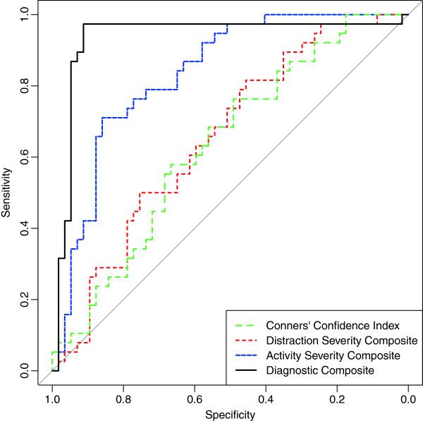
ADHD and controls differed significantly in activity and attention. Effect sizes for activity measures (d' = 0.7-1.6) were, on average, two-fold larger than differences in attention or impulsivity, correlated more strongly with executive function ratings and were more discriminatory (ROC area = 0.83 for activity composite, 0.65 for No-4's distraction composite, 0.63 for Conners' CPT-II confidence index, 0.96 for the combined activity and attention diagnostic index). This finding was true for subjects with the predominantly inattentive subtype as well as subjects with combined or predominantly hyperactive/impulsive subtype. Males and females with ADHD were equally active. The superior accuracy of activity measures was confirmed using Random Forest and predictive modeling techniques.

CONCLUSIONS

Objectively measured hyperactivity persists in adults with ADHD and is a more discriminative feature of the disorder than computerized measures of inattention or impulsivity. This finding supports the hypothesis that a deficient ability to sit still remains a defining feature of the disorder in adults when it is measured objectively.

摘要

背景

人们认为多动症状会随着年龄的增长而逐渐消失,导致 ADHD 成年人大多表现为注意力不集中和冲动。我们的目的是使用多动、冲动和注意力不集中的客观测量来检验这一说法。

方法

40 名 ADHD 患者(23 名男性/17 名女性;35±10 岁)和 60 名健康成年人(28 名男性/32 名女性;29±9 岁)参与了这项研究,他们通过 Wender-Reimherr 访谈评分、DSM-IV 障碍的结构临床访谈和 DSM-IV 标准进行了盲法评估。红外运动捕捉系统在执行 No-4 认知控制任务时跟踪头部和腿部运动。参与者还完成了 Conners' CPT-II。

结果

ADHD 患者和对照组在活动和注意力方面存在显著差异。活动测量的效应大小(d'=0.7-1.6)平均是注意力或冲动差异的两倍,与执行功能评分的相关性更强,且具有更高的区分度(活动综合指标的 ROC 面积为 0.83,No-4 分心综合指标为 0.65,Conners' CPT-II 信心指数为 0.63,活动和注意力综合诊断指数为 0.96)。这一发现适用于以注意力不集中为主的亚型、以多动/冲动为主的混合亚型以及以多动/冲动为主的亚型的患者。ADHD 男性和女性的活动水平相当。随机森林和预测建模技术进一步证实了活动测量的准确性。

结论

客观测量的多动症状在成年 ADHD 患者中仍然存在,与计算机化的注意力不集中或冲动测量相比,是该疾病更具区分度的特征。这一发现支持了这样一种假设,即当以客观方式测量时,坐立不安的能力缺陷仍然是该疾病在成人中的一个定义特征。

https://cdn.ncbi.nlm.nih.gov/pmc/blobs/7b8f/3560176/49f53b376df0/1471-244X-12-190-1.jpg

文献AI研究员

20分钟写一篇综述,助力文献阅读效率提升50倍。

立即体验

用中文搜PubMed

大模型驱动的PubMed中文搜索引擎

马上搜索

文档翻译

学术文献翻译模型,支持多种主流文档格式。

立即体验