Department of Public Health, Academic Medical Center, University of Amsterdam, Amsterdam, The Netherlands.
Diabetes Care. 2013 Apr;36(4):965-71. doi: 10.2337/dc12-1243. Epub 2012 Nov 19.
Moderately elevated iron stores below the levels commonly associated with hemochromatosis have been implicated in the etiology of diabetes. Studies suggest that iron status (measured by serum ferritin) differs significantly according to sex, but inconsistent findings have been reported. Our aim is to test the association between serum ferritin and the prevalence of type 2 diabetes and fasting glucose concentrations in a population-based, multiethnic, cross-sectional study including men and women of African Surinamese, South Asian Surinamese, and ethnic Dutch origin.
We analyzed data on 508 ethnic Dutch, 597 African Surinamese, and 339 South Asian Surinamese aged 35-60 years. Type 2 diabetes was defined as a fasting plasma glucose level ≥7.0 mmol/L or a self-reported diagnosis.
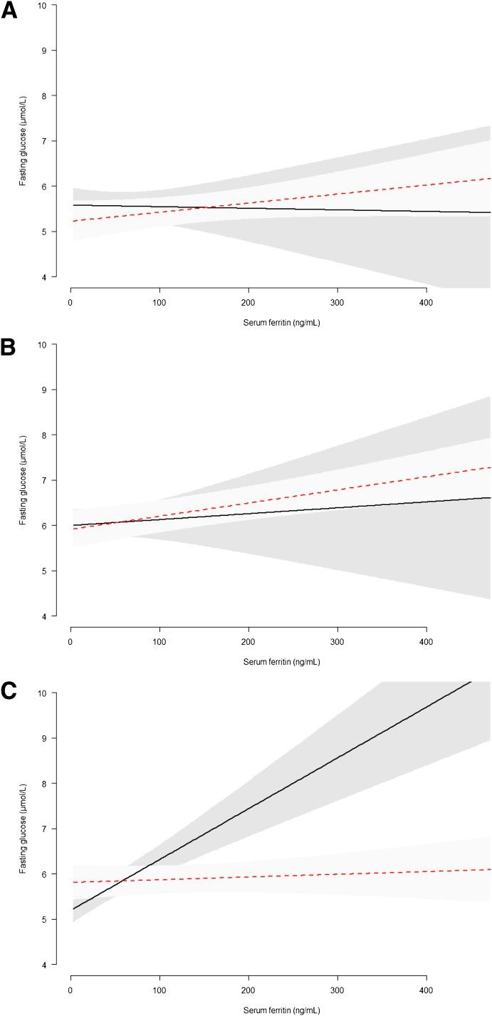
Serum ferritin was positively associated with type 2 diabetes and fasting glucose, but differences in the associations according to sex were observed. Serum ferritin concentration was positively associated with type 2 diabetes among women in all ethnic groups (odds ratio [OR] ethnic Dutch: 1.07 [95% CI 1.01-1.13]; OR South Asian Surinamese: 1.05 [1.00-1.10]; OR African Surinamese: 1.05 [1.01-1.10]), but not among men. Serum ferritin was also more strongly associated with fasting glucose in women than in men. Moreover, the magnitude of sex differences in the association between serum ferritin and fasting glucose, but not type 2 diabetes, was more pronounced in the African Surinamese group than in the other ethnic groups (P for interaction ≤0.0001).
We found a positive association between serum ferritin and type 2 diabetes and fasting glucose in our multiethnic population, which appeared stronger among women than men. Further evaluation of the variation in sex differences between ethnic groups is warranted, particularly among the African Surinamese, to understand the mechanisms behind these sex differences.
铁储存量适度升高,超出通常与血色病相关的水平,已被认为与糖尿病的病因有关。研究表明,铁的状态(通过血清铁蛋白测量)因性别而有显著差异,但报告的结果并不一致。我们的目的是在一个基于人群的、多民族的、横断面研究中,检测血清铁蛋白与 2 型糖尿病的患病率以及空腹血糖浓度之间的关联,该研究纳入了来自非洲苏里南裔、南亚苏里南裔和荷兰裔的男性和女性。
我们分析了 508 名荷兰裔、597 名非洲苏里南裔和 339 名南亚苏里南裔年龄在 35-60 岁之间的人群数据。2 型糖尿病的定义为空腹血浆葡萄糖水平≥7.0mmol/L 或自我报告的诊断。
血清铁蛋白与 2 型糖尿病和空腹血糖呈正相关,但观察到性别相关的差异。在所有族裔的女性中,血清铁蛋白浓度与 2 型糖尿病呈正相关(荷兰裔的比值比 [OR]:1.07 [95%CI 1.01-1.13];南亚苏里南裔的 OR:1.05 [1.00-1.10];非洲苏里南裔的 OR:1.05 [1.01-1.10]),但在男性中并非如此。血清铁蛋白与空腹血糖的相关性在女性中也比男性更强。此外,血清铁蛋白与空腹血糖之间的关联在女性中的性别差异程度大于男性,而这种差异在非洲苏里南裔人群中比在其他族裔人群中更为显著(P 交互作用值≤0.0001)。
在我们的多民族人群中,我们发现血清铁蛋白与 2 型糖尿病和空腹血糖之间呈正相关,这种相关性在女性中比男性更强。需要进一步评估不同族裔之间性别差异的变化,特别是在非洲苏里南裔人群中,以了解这些性别差异背后的机制。