Suppr超能文献

评价鼠伤寒沙门氏菌 TTSS-2 缺陷型 fur 突变体作为免疫功能低下小鼠安全活减毒疫苗候选株。

Evaluation of Salmonella enterica serovar Typhimurium TTSS-2 deficient fur mutant as safe live-attenuated vaccine candidate for immunocompromised mice.

机构信息

School of Biotechnology, KIIT University, Bhubaneswar, Odisha, India.

出版信息

PLoS One. 2012;7(12):e52043. doi: 10.1371/journal.pone.0052043. Epub 2012 Dec 17.

Abstract

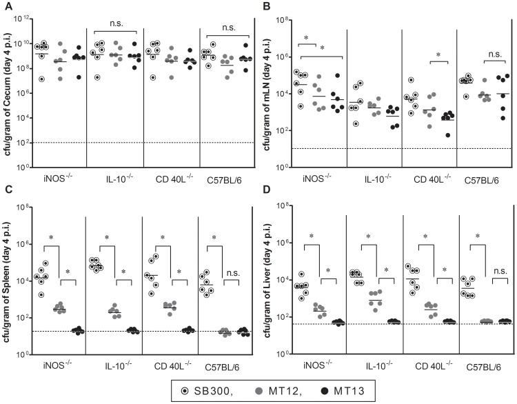
Salmonella enterica serovar Typhimurium has been extensively exploited as live attenuated vaccines (LAV) which generally confers better protection than killed or subunit vaccines. However, many LAV are limited by their inherent ability to access systemic organs in many of the vaccinated hosts, especially those which are immunocompromised. We evaluated the efficacy of a live-attenuated SPI2-deficient (ΔssaV) S. Typhimurium vaccine candidate (MT13) that additionally devoids the ferric uptake regulator (fur). We used specific pathogen free (SPF) streptomycin-pretreated mouse colitis model that included healthy C57BL/6 and immunocompromised iNos(-/-), IL10(-/-) and CD40L(-/-) in the background of C57BL/6 mice to assess the efficacy of developed vaccine candidate. In our study, the S. Typhimurium MT13 strain was established as a safe vaccine candidate to be administered in immunocompromised mice as it was found to be systemically attenuated without conferring significant pathological signs and growth defect within the host. In bacterial challenge experiment, the MT13-vaccinated C57BL/6 mice were protected from subsequent wild-type S. Typhimurium infection by inducing proficient mucosal immunity. The MT13 strain elicited efficient O-antigen specific mucosal secretory IgA associated protective response which was comparable with its parental ssaV mutant. Vaccination with MT13 also showed proficient T-cell activation in host mice; which has direct relation with pathogen clearance from host tissues. Collectively, these data implicate the possible application of SPI-2 deficient fur mutant (MT13) as a novel live attenuated vaccine strain with adept immunogenicity and improved safety, even in immunocompromised hosts. Further, this vaccine candidate can be employed to express heterologous antigens targeted against several other diseases, especially related to enterocolitic pathogens.

摘要

肠炎沙门氏菌血清型鼠伤寒已被广泛用作减毒活疫苗(LAV),其通常比灭活疫苗或亚单位疫苗提供更好的保护。然而,许多 LAV 受到其固有能力的限制,无法在许多接种宿主中进入全身器官,特别是那些免疫功能低下的宿主。我们评估了减毒 SPI2 缺陷(ΔssaV)鼠伤寒沙门氏菌疫苗候选物(MT13)的功效,该候选物还缺乏铁摄取调节剂(fur)。我们使用特定病原体自由(SPF)链霉素预处理的小鼠结肠炎模型,其中包括健康的 C57BL/6 和免疫功能低下的 iNos(-/-)、IL10(-/-)和 CD40L(-/-)在 C57BL/6 小鼠的背景下,评估了开发的疫苗候选物的功效。在我们的研究中,鼠伤寒沙门氏菌 MT13 菌株被确立为一种安全的疫苗候选物,可在免疫功能低下的小鼠中使用,因为它在不引起宿主内显著病理迹象和生长缺陷的情况下被系统减毒。在细菌攻毒实验中,MT13 疫苗接种的 C57BL/6 小鼠通过诱导有效的粘膜免疫免受随后的野生型鼠伤寒沙门氏菌感染的保护。MT13 株引起了有效的 O-抗原特异性粘膜分泌性 IgA 相关保护反应,与亲本 ssaV 突变体相当。MT13 疫苗接种还在宿主小鼠中显示出有效的 T 细胞激活;这与从宿主组织中清除病原体直接相关。总的来说,这些数据表明 SPI-2 缺陷 fur 突变体(MT13)作为一种新型的减毒活疫苗株具有良好的免疫原性和安全性,即使在免疫功能低下的宿主中也是如此。此外,该疫苗候选物可用于表达针对其他几种疾病的异源抗原,特别是与肠毒性病原体相关的疾病。

https://cdn.ncbi.nlm.nih.gov/pmc/blobs/c9b4/3524104/3e39a733552a/pone.0052043.g001.jpg

文献检索

告别复杂PubMed语法,用中文像聊天一样搜索,搜遍4000万医学文献。AI智能推荐,让科研检索更轻松。

立即免费搜索

文件翻译

保留排版,准确专业,支持PDF/Word/PPT等文件格式,支持 12+语言互译。

免费翻译文档

深度研究

AI帮你快速写综述,25分钟生成高质量综述,智能提取关键信息,辅助科研写作。

立即免费体验