Suppr超能文献

首次发现并研究菲并喹啉类化合物作为新型抗病毒剂对烟草花叶病毒(TMV)的作用。

First discovery and stucture-activity relationship study of phenanthroquinolizidines as novel antiviral agents against tobacco mosaic virus (TMV).

机构信息

State Key Laboratory of Elemento-Organic Chemistry, Research Institute of Elemento-Organic Chemistry, Nankai University, Tianjin, China.

出版信息

PLoS One. 2012;7(12):e52933. doi: 10.1371/journal.pone.0052933. Epub 2012 Dec 28.

Abstract

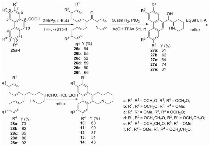
A series of phenanthroquinolizidine alkaloids 1-24 were prepared and first evaluated for their antiviral activity against tobacco mosaic virus (TMV). The bioassay results showed that most of these compounds exhibited good to excellent in vivo anti-TMV activity, of which compounds 1, 2, 15 and 16 displayed significantly higher activity than (R)-antofine and commercial Ningnanmycin at the same test condition. The substituents on the phenanthrene moiety play an important role for maintaining high in vivo antiviral activity. The introduction of 6-hydroxyl, which is proposed to interact with TMV RNA, did increased anti-TMV activity. The 14aR-configuration was confirmed to be the preferred antiviral configuration for phenanthroquinolizidine alkaloids. Introduction of hydroxy group at 15-position of phenanthroquinolizidine alkaloids increased activity for S-configuration but decreased activity for R-configuration. Present study provides fundamental support for development and optimization of phenanthroquinolizidine alkaloids as potential inhibitors of plant virus.

摘要

一系列菲并喹啉里西啶生物碱 1-24 被制备出来,并首次对其抗烟草花叶病毒 (TMV) 的活性进行了评估。生物测定结果表明,这些化合物大多数表现出良好到优异的体内抗 TMV 活性,其中化合物 1、2、15 和 16 在相同的测试条件下表现出比 (R)-antofine 和商业宁南霉素更高的活性。菲环部分上的取代基对维持高体内抗病毒活性起着重要作用。引入被认为与 TMV RNA 相互作用的 6-羟基,可增加抗 TMV 活性。14aR-构型被确认为菲并喹啉里西啶生物碱的首选抗病毒构型。在菲并喹啉里西啶生物碱的 15 位引入羟基可增加 S-构型的活性,但降低 R-构型的活性。本研究为开发和优化菲并喹啉里西啶生物碱作为潜在的植物病毒抑制剂提供了基础支持。

https://cdn.ncbi.nlm.nih.gov/pmc/blobs/7b13/3532156/e8802eb0b186/pone.0052933.g001.jpg

文献AI研究员

20分钟写一篇综述,助力文献阅读效率提升50倍。

立即体验

用中文搜PubMed

大模型驱动的PubMed中文搜索引擎

马上搜索

文档翻译

学术文献翻译模型,支持多种主流文档格式。

立即体验