Suppr超能文献

基于团体的社交技能训练 SOSTA-FRA 对高功能自闭症谱系障碍儿童和青少年的作用 - SOSTA-net 试验的随机、多中心对照研究方案。

The group-based social skills training SOSTA-FRA in children and adolescents with high functioning autism spectrum disorder--study protocol of the randomised, multi-centre controlled SOSTA--net trial.

机构信息

Department of Child and Adolescent Psychiatry, Psychosomatics and Psychotherapy, University of Frankfurt, 60528 Frankfurt, Germany.

出版信息

Trials. 2013 Jan 7;14:6. doi: 10.1186/1745-6215-14-6.

Abstract

BACKGROUND

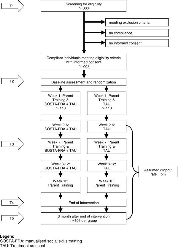
Group-based social skills training (SST) has repeatedly been recommended as treatment of choice in high-functioning autism spectrum disorder (HFASD). To date, no sufficiently powered randomised controlled trial has been performed to establish efficacy and safety of SST in children and adolescents with HFASD. In this randomised, multi-centre, controlled trial with 220 children and adolescents with HFASD it is hypothesized, that add-on group-based SST using the 12 weeks manualised SOSTA-FRA program will result in improved social responsiveness (measured by the parent rated social responsiveness scale, SRS) compared to treatment as usual (TAU). It is further expected, that parent and self reported anxiety and depressive symptoms will decline and pro-social behaviour will increase in the treatment group. A neurophysiological study in the Frankfurt HFASD subgroup will be performed pre- and post treatment to assess changes in neural function induced by SST versus TAU.

METHODS/DESIGN: The SOSTA - net trial is designed as a prospective, randomised, multi-centre, controlled trial with two parallel groups. The primary outcome is change in SRS score directly after the intervention and at 3 months follow-up. Several secondary outcome measures are also obtained. The target sample consists of 220 individuals with ASD, included at the six study centres.

DISCUSSION

This study is currently one of the largest trials on SST in children and adolescents with HFASD worldwide. Compared to recent randomised controlled studies, our study shows several advantages with regard to in- and exclusion criteria, study methods, and the therapeutic approach chosen, which can be easily implemented in non-university-based clinical settings.

TRIAL REGISTRATION

ISRCTN94863788--SOSTA--net: Group-based social skills training in children and adolescents with high functioning autism spectrum disorder.

摘要

背景

基于团体的社交技能训练(SST)已被反复推荐为高功能自闭症谱系障碍(HFASD)的首选治疗方法。迄今为止,尚未进行足够有力的随机对照试验来确定 SST 在 HFASD 儿童和青少年中的疗效和安全性。在这项针对 220 名 HFASD 儿童和青少年的随机、多中心、对照试验中,假设使用 12 周的 SOSTA-FRA 手册进行基于团体的 SST 附加治疗,将比常规治疗(TAU)更能提高社交反应(通过父母评定的社交反应量表,SRS)。进一步预计,治疗组的父母和自我报告的焦虑和抑郁症状将下降,亲社会行为将增加。法兰克福 HFASD 亚组将进行神经生理学研究,以评估 SST 与 TAU 治疗前后的神经功能变化。

方法/设计:SOSTA-net 试验设计为前瞻性、随机、多中心、对照试验,分为两组平行组。主要结局是干预后直接和 3 个月随访时 SRS 评分的变化。还获得了一些次要结局指标。目标样本由六个研究中心的 220 名 ASD 个体组成。

讨论

这项研究是目前全球范围内针对 HFASD 儿童和青少年 SST 的最大试验之一。与最近的随机对照研究相比,我们的研究在纳入和排除标准、研究方法和选择的治疗方法方面具有几个优势,这些优势在非大学临床环境中易于实施。

试验注册

ISRCTN94863788--SOSTA--net:儿童和青少年高功能自闭症谱系障碍的基于团体的社交技能训练。

https://cdn.ncbi.nlm.nih.gov/pmc/blobs/83b9/3561169/fb885c4f96ff/1745-6215-14-6-1.jpg

文献检索

告别复杂PubMed语法,用中文像聊天一样搜索,搜遍4000万医学文献。AI智能推荐,让科研检索更轻松。

立即免费搜索

文件翻译

保留排版,准确专业,支持PDF/Word/PPT等文件格式,支持 12+语言互译。

免费翻译文档

深度研究

AI帮你快速写综述,25分钟生成高质量综述,智能提取关键信息,辅助科研写作。

立即免费体验