Suppr超能文献

肿瘤相关巨噬细胞破坏T细胞功能,并与透明细胞肾细胞癌患者生存率降低相关。

Tumor-associated macrophages subvert T-cell function and correlate with reduced survival in clear cell renal cell carcinoma.

作者信息

Dannenmann Stefanie Regine, Thielicke Julia, Stöckli Martina, Matter Claudia, von Boehmer Lotta, Cecconi Virginia, Hermanns Thomas, Hefermehl Lukas, Schraml Peter, Moch Holger, Knuth Alexander, van den Broek Maries

机构信息

Department of Oncology; University Hospital Zurich; Zurich, Switzerland.

出版信息

Oncoimmunology. 2013 Mar 1;2(3):e23562. doi: 10.4161/onci.23562.

Abstract

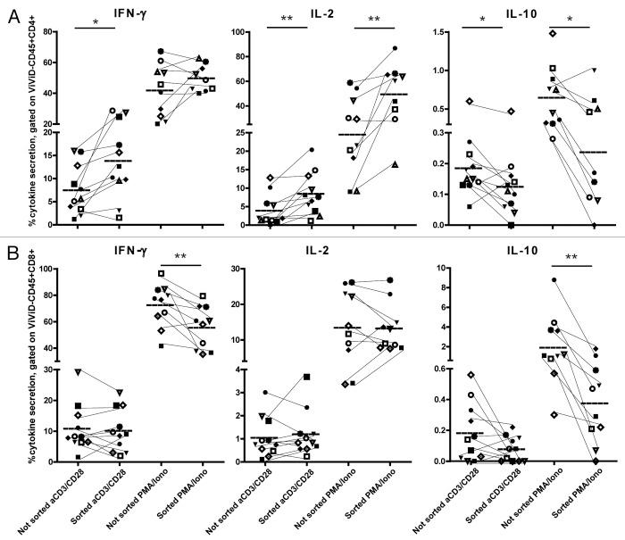
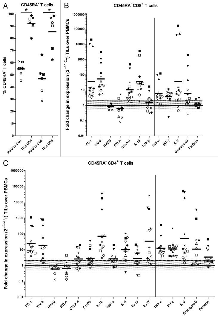
Although malignant cells can be recognized and controlled by the immune system, in patients with clinically apparent cancer immunosurveillance has failed. To better understand local immunoregulatory processes that impact on cancer progression, we correlated intratumoral immunological profiles with the survival of patients affected by primary clear cell renal cell carcinoma (ccRCC). A retrospective analysis of 54 primary ccRCC samples for 31 different immune response-related transcripts, revealed a negative correlation of CD68 (a marker of tumor-associated macrophages, TAMs) and FOXP3 (a marker of regulatory T cells, Tregs) with survival. The subsequent analysis of 12 TAM-related transcripts revealed an association between the genes coding for CD163, interferon regulatory factor 4 (IRF4) and fibronectin 1 (FN1), all of which have been linked to the M2 TAM phenotype, with reduced survival and increased tumor stage, whereas the opposite was the case for the M1-associated gene coding for inducible nitric oxide synthetase (iNOS). The M2 signature of (CD68) TAMs was found to correlate with CD163 expression, as determined in prospectively collected fresh ccRCC tissue samples. Upon co-culture with autologous tumor cells, CD11b cells isolated from paired blood samples expressed CD163 and other M2-associated proteins, suggesting that the malignant cells promote the accumulation of M2 TAMs. Furthermore, the tumor-associated milieu as well as isolated TAMs induced the skewing of autologous, blood-derived CD4 T cells toward a more immunosuppressive phenotype, as shown by decreased production of effector cytokines, increased production of interleukin-10 (IL-10) and enhanced expression of the co-inhibitory molecules programmed death 1 (PD-1) and T-cell immunoglobulin mucin 3 (TIM-3). Taken together, our data suggest that ccRCC progressively attracts macrophages and induces their skewing into M2 TAMs, in turn subverting tumor-infiltrating T cells such that immunoregulatory functions are increased at the expense of effector functions.

摘要

尽管恶性细胞能够被免疫系统识别和控制,但在患有临床明显癌症的患者中,免疫监视功能已经失效。为了更好地理解影响癌症进展的局部免疫调节过程,我们将原发性透明细胞肾细胞癌(ccRCC)患者的肿瘤内免疫谱与生存率进行了关联分析。对54份原发性ccRCC样本进行31种不同免疫反应相关转录本的回顾性分析发现,CD68(肿瘤相关巨噬细胞,即TAMs的标志物)和FOXP3(调节性T细胞,即Tregs的标志物)与生存率呈负相关。随后对12种与TAM相关的转录本进行分析发现,编码CD163、干扰素调节因子4(IRF4)和纤连蛋白1(FN1)的基因之间存在关联,所有这些基因都与M2型TAM表型相关,它们与生存率降低和肿瘤分期增加有关,而编码诱导型一氧化氮合酶(iNOS)的M1相关基因则情况相反。在预期收集的新鲜ccRCC组织样本中,发现(CD68)TAMs的M2特征与CD163表达相关。与自体肿瘤细胞共培养时,从配对血液样本中分离出的CD11b细胞表达CD163和其他与M2相关的蛋白,这表明恶性细胞促进了M2型TAMs的积累。此外,肿瘤相关微环境以及分离出的TAMs诱导自体血液来源的CD4 T细胞向更具免疫抑制性的表型倾斜,表现为效应细胞因子产生减少、白细胞介素-10(IL-10)产生增加以及共抑制分子程序性死亡1(PD-1)和T细胞免疫球蛋白粘蛋白3(TIM-3)表达增强。综上所述,我们的数据表明,ccRCC逐渐吸引巨噬细胞并诱导其向M2型TAMs转变,进而颠覆肿瘤浸润性T细胞,使得免疫调节功能增强而效应功能受损。

https://cdn.ncbi.nlm.nih.gov/pmc/blobs/ac3c/3655740/2646dfbee24e/onci-2-e23562-g1.jpg

文献检索

告别复杂PubMed语法,用中文像聊天一样搜索,搜遍4000万医学文献。AI智能推荐,让科研检索更轻松。

立即免费搜索

文件翻译

保留排版,准确专业,支持PDF/Word/PPT等文件格式,支持 12+语言互译。

免费翻译文档

深度研究

AI帮你快速写综述,25分钟生成高质量综述,智能提取关键信息,辅助科研写作。

立即免费体验