• 文献检索
  • 文档翻译
  • 深度研究
  • 学术资讯
  • Suppr Zotero 插件Zotero 插件
  • 邀请有礼
  • 套餐&价格
  • 历史记录
应用&插件
Suppr Zotero 插件Zotero 插件浏览器插件Mac 客户端Windows 客户端微信小程序
定价
高级版会员购买积分包购买API积分包
服务
文献检索文档翻译深度研究API 文档MCP 服务
关于我们
关于 Suppr公司介绍联系我们用户协议隐私条款
关注我们

Suppr 超能文献

核心技术专利:CN118964589B侵权必究
粤ICP备2023148730 号-1Suppr @ 2026

文献检索

告别复杂PubMed语法,用中文像聊天一样搜索,搜遍4000万医学文献。AI智能推荐,让科研检索更轻松。

立即免费搜索

文件翻译

保留排版,准确专业,支持PDF/Word/PPT等文件格式,支持 12+语言互译。

免费翻译文档

深度研究

AI帮你快速写综述,25分钟生成高质量综述,智能提取关键信息,辅助科研写作。

立即免费体验

肾脏病学研究中的竞争风险建模:腹膜透析的一个实例

Modelling competing risks in nephrology research: an example in peritoneal dialysis.

作者信息

Teixeira Laetitia, Rodrigues Anabela, Carvalho Maria J, Cabrita António, Mendonça Denisa

出版信息

BMC Nephrol. 2013 May 24;14:110. doi: 10.1186/1471-2369-14-110.

DOI:10.1186/1471-2369-14-110
PMID:23705871
原文链接:https://pmc.ncbi.nlm.nih.gov/articles/PMC3664602/
Abstract

BACKGROUND

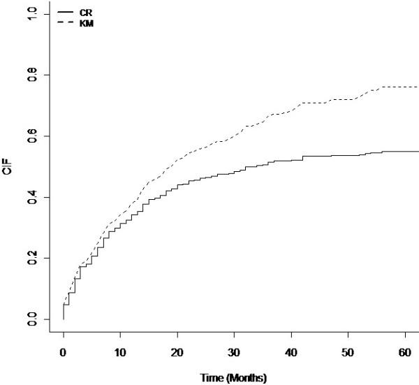
Modelling competing risks is an essential issue in Nephrology Research. In peritoneal dialysis studies, sometimes inappropriate methods (i.e. Kaplan-Meier method) have been used to estimate probabilities for an event of interest in the presence of competing risks. In this situation a competing risk analysis should be preferable. The objectives of this study are to describe the bias resulting from the application of standard survival analysis to estimate peritonitis-free patient survival and to provide alternative statistical approaches taking competing risks into account.

METHODS

The sample comprises patients included in a university hospital peritoneal dialysis program between October 1985 and June 2011 (n = 449). Cumulative incidence function and competing risk regression models based on cause-specific and subdistribution hazards were discussed.

RESULTS

The probability of occurrence of the first peritonitis is wrongly overestimated using Kaplan-Meier method. The cause-specific hazard model showed that factors associated with shorter time to first peritonitis were age (≥55 years) and previous treatment (haemodialysis). Taking competing risks into account in the subdistribution hazard model, age remained significant while gender (female) but not previous treatment was identified as a factor associated with a higher probability of first peritonitis event.

CONCLUSIONS

In the presence of competing risks outcomes, Kaplan-Meier estimates are biased as they overestimated the probability of the occurrence of an event of interest. Methods which take competing risks into account provide unbiased estimates of cumulative incidence for each specific outcome experienced by patients. Multivariable regression models such as those based on cause-specific hazard and on subdistribution hazard should be used in this competing risk setting.

摘要

背景

对竞争风险进行建模是肾脏病学研究中的一个重要问题。在腹膜透析研究中,有时会使用不恰当的方法(如Kaplan-Meier法)来估计在存在竞争风险的情况下感兴趣事件的概率。在这种情况下,进行竞争风险分析可能更可取。本研究的目的是描述应用标准生存分析来估计无腹膜炎患者生存率所导致的偏差,并提供考虑竞争风险的替代统计方法。

方法

样本包括1985年10月至2011年6月期间纳入某大学医院腹膜透析项目的患者(n = 449)。讨论了基于特定病因和亚分布风险的累积发病率函数和竞争风险回归模型。

结果

使用Kaplan-Meier法会错误地高估首次发生腹膜炎的概率。特定病因风险模型显示,与首次发生腹膜炎时间较短相关的因素是年龄(≥55岁)和既往治疗(血液透析)。在亚分布风险模型中考虑竞争风险后,年龄仍然具有显著性,而性别(女性)而非既往治疗被确定为与首次发生腹膜炎事件概率较高相关的因素。

结论

在存在竞争风险结局的情况下,Kaplan-Meier估计存在偏差,因为它们高估了感兴趣事件发生的概率。考虑竞争风险的方法可为患者经历的每个特定结局提供无偏的累积发病率估计。在这种竞争风险情况下,应使用多变量回归模型,如基于特定病因风险和亚分布风险的模型。

https://cdn.ncbi.nlm.nih.gov/pmc/blobs/144b/3664602/bfe12c6f86b9/1471-2369-14-110-3.jpg
https://cdn.ncbi.nlm.nih.gov/pmc/blobs/144b/3664602/1cc16d388333/1471-2369-14-110-1.jpg
https://cdn.ncbi.nlm.nih.gov/pmc/blobs/144b/3664602/079961d83abb/1471-2369-14-110-2.jpg
https://cdn.ncbi.nlm.nih.gov/pmc/blobs/144b/3664602/bfe12c6f86b9/1471-2369-14-110-3.jpg
https://cdn.ncbi.nlm.nih.gov/pmc/blobs/144b/3664602/1cc16d388333/1471-2369-14-110-1.jpg
https://cdn.ncbi.nlm.nih.gov/pmc/blobs/144b/3664602/079961d83abb/1471-2369-14-110-2.jpg
https://cdn.ncbi.nlm.nih.gov/pmc/blobs/144b/3664602/bfe12c6f86b9/1471-2369-14-110-3.jpg

相似文献

1
Modelling competing risks in nephrology research: an example in peritoneal dialysis.肾脏病学研究中的竞争风险建模:腹膜透析的一个实例
BMC Nephrol. 2013 May 24;14:110. doi: 10.1186/1471-2369-14-110.
2
Peritonitis-free survival in peritoneal dialysis: an update taking competing risks into account.腹膜透析患者的腹膜炎无进展生存率:考虑竞争风险的更新。
Nephrol Dial Transplant. 2010 Jul;25(7):2315-22. doi: 10.1093/ndt/gfq003. Epub 2010 Jan 25.
3
Overestimation of the probability of death on peritoneal dialysis by the Kaplan-Meier method: advantages of a competing risks approach.Kaplan-Meier 法高估腹膜透析患者死亡率:竞争风险分析的优势。
BMC Nephrol. 2012 May 30;13:31. doi: 10.1186/1471-2369-13-31.
4
Geographic and educational factors and risk of the first peritonitis episode in Brazilian Peritoneal Dialysis study (BRAZPD) patients.巴西腹膜透析研究(BRAZPD)患者首次腹膜炎发作的地理和教育因素及风险。
Clin J Am Soc Nephrol. 2011 Aug;6(8):1944-51. doi: 10.2215/CJN.11431210. Epub 2011 Jul 7.
5
Membrane transport status does not predict peritonitis risk in patients on peritoneal dialysis.腹膜转运状态不能预测腹膜透析患者发生腹膜炎的风险。
Nephrology (Carlton). 2018 Jul;23(7):633-639. doi: 10.1111/nep.13063.
6
Transplant as a competing risk in the analysis of dialysis patients.移植作为透析患者分析中的竞争风险。
Nephrol Dial Transplant. 2017 Apr 1;32(suppl_2):ii53-ii59. doi: 10.1093/ndt/gfx012.
7
Icodextrin Is Associated with a Lower Mortality Rate in Peritoneal Dialysis Patients.艾考糊精可降低腹膜透析患者的死亡率。
Perit Dial Int. 2019 May-Jun;39(3):252-260. doi: 10.3747/pdi.2018.00217. Epub 2019 Mar 9.
8
Improved patient/technique survival and peritonitis rates in patients treated with automated peritoneal dialysis when compared to continuous ambulatory peritoneal dialysis in a Mexican PD center.在墨西哥一家腹膜透析中心,与持续性非卧床腹膜透析相比,接受自动化腹膜透析治疗的患者其患者/技术生存率及腹膜炎发生率得到改善。
Kidney Int Suppl. 2008 Apr(108):S76-80. doi: 10.1038/sj.ki.5002606.
9
Compared with younger peritoneal dialysis patients, elderly patients have similar peritonitis-free survival and lower risk of technique failure, but higher risk of peritonitis-related mortality.与年轻的腹膜透析患者相比,老年患者具有相似的腹膜炎无生存率和较低的技术失败风险,但腹膜炎相关死亡率较高。
Perit Dial Int. 2011 Nov-Dec;31(6):663-71. doi: 10.3747/pdi.2010.00209. Epub 2011 May 31.
10
Epidemiology and outcomes of peritonitis in children on peritoneal dialysis in Australasia.澳大拉西亚地区腹膜透析儿童腹膜炎的流行病学和结局。
Pediatr Nephrol. 2010 Sep;25(9):1739-45. doi: 10.1007/s00467-010-1510-5.

引用本文的文献

1
Prediction of major adverse cardiac, cerebrovascular events in patients with diabetes after acute coronary syndrome.预测急性冠脉综合征后糖尿病患者的主要不良心脑血管事件。
Diab Vasc Dis Res. 2020 Jan-Feb;17(1):1479164119892137. doi: 10.1177/1479164119892137. Epub 2019 Dec 16.
2
Estimating risk of encapsulating peritoneal sclerosis accounting for the competing risk of death.估算死亡竞争风险下包裹性腹膜硬化症的风险。
Nephrol Dial Transplant. 2019 Sep 1;34(9):1585-1591. doi: 10.1093/ndt/gfz034.
3
Risk factors associated with outcomes of peritoneal dialysis in Taiwan: An analysis using a competing risk model.

本文引用的文献

1
Overestimation of the probability of death on peritoneal dialysis by the Kaplan-Meier method: advantages of a competing risks approach.Kaplan-Meier 法高估腹膜透析患者死亡率:竞争风险分析的优势。
BMC Nephrol. 2012 May 30;13:31. doi: 10.1186/1471-2369-13-31.
2
Competing risks in epidemiology: possibilities and pitfalls.流行病学中的竞争风险:可能性与陷阱。
Int J Epidemiol. 2012 Jun;41(3):861-70. doi: 10.1093/ije/dyr213. Epub 2012 Jan 9.
3
Competing risks and the clinical community: irrelevance or ignorance?竞争风险与临床界:无关紧要还是一无所知?
台湾腹膜透析结局的相关危险因素:一项使用竞争风险模型的分析。
Medicine (Baltimore). 2019 Feb;98(6):e14385. doi: 10.1097/MD.0000000000014385.
4
Duration of veno-arterial extracorporeal life support (VA ECMO) and outcome: an analysis of the Extracorporeal Life Support Organization (ELSO) registry.体外生命支持组织(ELSO)登记处对静脉-动脉体外膜肺氧合(VA ECMO)持续时间与预后的分析。
Crit Care. 2017 Mar 6;21(1):45. doi: 10.1186/s13054-017-1633-1.
5
Fine and Gray competing risk regression model to study the cause-specific under-five child mortality in Bangladesh.采用Fine和Gray竞争风险回归模型研究孟加拉国5岁以下儿童特定病因死亡率。
BMC Int Health Hum Rights. 2017 Jan 28;17(1):3. doi: 10.1186/s12914-017-0112-8.
6
Technique failure in Korean incident peritoneal dialysis patients: a national population-based study.韩国腹膜透析患者的技术失败:一项基于全国人口的研究。
Kidney Res Clin Pract. 2016 Dec;35(4):245-251. doi: 10.1016/j.krcp.2016.08.002. Epub 2016 Aug 15.
7
Age-dependent association between sex and renal cell carcinoma mortality: a population-based analysis.性别与肾细胞癌死亡率之间的年龄依赖性关联:一项基于人群的分析。
Sci Rep. 2015 Mar 17;5:9160. doi: 10.1038/srep09160.
8
Epidemiological study of chronic kidney disease progression: a large-scale population-based cohort study.慢性肾脏病进展的流行病学研究:一项基于大规模人群的队列研究。
Medicine (Baltimore). 2015 Jan;94(4):e475. doi: 10.1097/MD.0000000000000475.
9
Serum sclerostin is an independent predictor of mortality in hemodialysis patients.血清硬化素是血液透析患者死亡率的独立预测指标。
BMC Nephrol. 2014 Dec 2;15:190. doi: 10.1186/1471-2369-15-190.
10
Characteristics and survival of patients with end stage renal disease and spina bifida in the United States renal data system.美国肾脏数据系统中终末期肾病合并脊柱裂患者的特征与生存率
J Urol. 2015 Feb;193(2):558-64. doi: 10.1016/j.juro.2014.08.092. Epub 2014 Aug 25.
Stat Med. 2012 May 20;31(11-12):1089-97. doi: 10.1002/sim.4384. Epub 2011 Sep 23.
4
Peritoneal dialysis-associated peritonitis rates and outcomes in a national cohort are not improving in the post-millennium (2000-2007).在千年之交后(2000-2007 年),全国队列中腹膜透析相关性腹膜炎的发生率和结局并未改善。
Perit Dial Int. 2011 Nov-Dec;31(6):639-50. doi: 10.3747/pdi.2010.00185. Epub 2011 Jul 31.
5
Experiences with assisted peritoneal dialysis in China.中国辅助性腹膜透析的经验。
Perit Dial Int. 2012 Jan-Feb;32(1):94-101. doi: 10.3747/pdi.2010.00213. Epub 2011 May 31.
6
The analysis of competing events like cause-specific mortality--beware of the Kaplan-Meier method.竞争事件分析,如死因特异性死亡率——警惕 Kaplan-Meier 法。
Nephrol Dial Transplant. 2011 Jan;26(1):56-61. doi: 10.1093/ndt/gfq661. Epub 2010 Nov 8.
7
Methods of competing risks analysis of end-stage renal disease and mortality among people with diabetes.方法:糖尿病患者终末期肾病和死亡率的竞争风险分析。
BMC Med Res Methodol. 2010 Oct 21;10:97. doi: 10.1186/1471-2288-10-97.
8
Comparison of outcomes on continuous ambulatory peritoneal dialysis versus automated peritoneal dialysis: results from a USA database.连续流动式腹膜透析与自动化腹膜透析的疗效比较:来自美国数据库的结果。
Perit Dial Int. 2011 Nov-Dec;31(6):679-84. doi: 10.3747/pdi.2010.00004. Epub 2010 Sep 9.
9
Evaluating health outcomes in the presence of competing risks: a review of statistical methods and clinical applications.在存在竞争风险的情况下评估健康结局:统计方法和临床应用的综述。
Med Care. 2010 Jun;48(6 Suppl):S96-105. doi: 10.1097/MLR.0b013e3181d99107.
10
Impact of the bag exchange procedure on risk of peritonitis.换袋程序对腹膜炎风险的影响。
Perit Dial Int. 2010 Jul-Aug;30(4):440-7. doi: 10.3747/pdi.2009.00117. Epub 2010 Apr 8.