Suppr超能文献

观察者评估的困倦度与实际道路驾驶:一项探索性研究。

Observer rated sleepiness and real road driving: an explorative study.

机构信息

Swedish Road and Transport Research Institute, Linköping, Sweden.

出版信息

PLoS One. 2013 May 28;8(5):e64782. doi: 10.1371/journal.pone.0064782. Print 2013.

Abstract

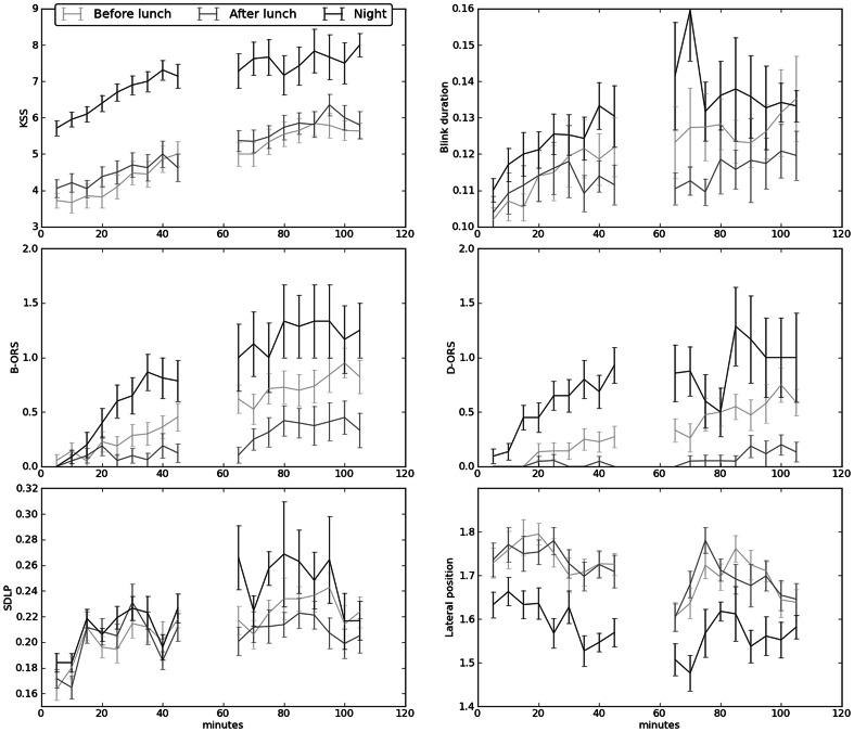
The aim of the present study was to explore if observer rated sleepiness (ORS) is a feasible method for quantification of driver sleepiness in field studies. Two measures of ORS were used: (1) one for behavioural signs based on facial expression, body gestures and body movements labelled B-ORS, and (2) one based on driving performance e.g. if swerving and other indicators of impaired driving occurs, labelled D-ORS. A limited number of observers sitting in the back of an experimental vehicle on a motorway about 2 hours repeatedly 3 times per day (before lunch, after lunch, at night) observed 24 participant's sleepiness level with help of the two observer scales. At the same time the participant reported subjective sleepiness (KSS), EOG was recorded (for calculation of blink duration) and several driving measure were taken and synchronized with the reporting. Based on mixed model Anova and correlation analysis the result showed that observer ratings of sleepiness based on drivers' impaired performance and behavioural signs are sensitive to extend the general pattern of time awake, circadian phase and time of driving. The detailed analysis of the subjective sleepiness and ORS showed weak correspondence on an individual level. Only 16% of the changes in KSS were predicted by the observer. The correlation between the observer ratings based on performance (D-ORS) and behavioural signs (B-ORS) are high (r = .588), and the B-ORS shows a moderately strong association (r = .360) with blink duration. Both ORS measures show an association (r>0.45) with KSS, whereas the association with driving performance is weak. The results show that the ORS-method detects the expected general variations in sleepy driving in field studies, however, sudden changes in driver sleepiness on a detailed level as 5 minutes is usually not detected; this holds true both when taking into account driving behaviour or driver behavioural signs.

摘要

本研究旨在探讨观察者评定的困倦(ORS)是否是一种可行的方法,可用于现场研究中量化驾驶员困倦。使用了两种 ORS 测量方法:(1)一种基于面部表情、身体姿势和身体动作的行为迹象的测量方法,标记为 B-ORS;(2)一种基于驾驶表现的测量方法,例如是否出现转向和其他驾驶障碍迹象,标记为 D-ORS。在高速公路上的实验车辆的后座上,有数量有限的观察者在一天中(午餐前、午餐后和晚上)分 3 次、每次 3 次,使用这两种观察者量表观察 24 名参与者的困倦程度。与此同时,参与者报告主观困倦程度(KSS),记录眼动电图(用于计算眨眼持续时间),并采取了几项驾驶测量,并与报告同步。基于混合模型方差分析和相关分析,结果表明,基于驾驶员表现受损和行为迹象的观察者困倦评分对扩展清醒时间、昼夜节律相位和驾驶时间的总体模式是敏感的。对主观困倦和 ORS 的详细分析表明,在个体水平上,两者的相关性较弱。只有 16%的 KSS 变化可以由观察者预测。基于表现的观察者评分(D-ORS)和基于行为迹象的观察者评分(B-ORS)之间的相关性较高(r=0.588),B-ORS 与眨眼持续时间呈中度强关联(r=0.360)。这两种 ORS 测量方法都与 KSS 呈正相关(r>0.45),而与驾驶表现的相关性较弱。结果表明,ORS 方法在现场研究中检测到困倦驾驶的预期总体变化,但通常无法检测到驾驶员困倦程度的突然变化(5 分钟);这在考虑到驾驶行为或驾驶员行为迹象时都是如此。

https://cdn.ncbi.nlm.nih.gov/pmc/blobs/2ea3/3665781/e17b75201054/pone.0064782.g001.jpg

文献AI研究员

20分钟写一篇综述,助力文献阅读效率提升50倍。

立即体验

用中文搜PubMed

大模型驱动的PubMed中文搜索引擎

马上搜索

文档翻译

学术文献翻译模型,支持多种主流文档格式。

立即体验