Suppr超能文献

在中国兰州,经过三年的时间间隔,住院急性胃肠炎患儿中人肠道孤儿病毒谱的变化。

Changes in human parechovirus profiles in hospitalized children with acute gastroenteritis after a three-year interval in Lanzhou, China.

机构信息

Graduate School of Peking Union Medical College, Beijing, China.

出版信息

PLoS One. 2013 Jul 3;8(7):e68321. doi: 10.1371/journal.pone.0068321. Print 2013.

Abstract

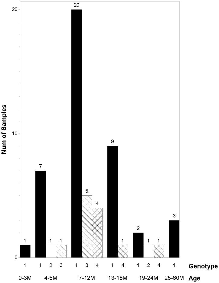
The changing profile of infection over time for Human Parechoviruses (HPeVs) is not well known and no detailed study has been reported to date in China. This investigation on HPeV infection in hospitalized children in Lanzhou, China revealed variations in epidemiological characteristics after a three-year interval. To assess the changes that had occurred, epidemiological and clinical characteristics of HPeVs were characterized and compared with previously reported data by our group. A comparable positivity rate (25.3%, 73/289) was revealed after the three-year interval with the majority of the infected children (95.9%, 70/73) being younger than two years of age. While a temporal change in the seasonal distribution was noted in the current study, HPeVs were more frequently detected during July to November compared to September to December in the previous study. Changes in HPeV genotypes patterns, a temporal change in the prevalence of HPeV1, a younger susceptible age to HPeV3 compared with HPeV1 and a tendency of older children to be infected with HPeV4 are in contrast to our previous report. HPeV2, a rarely reported genotype, was identified for the first time in China. In addition, an exclusive trinucleotide (GAT) insertion in the HPeV4 nucleotide sequence was identified. However, the profiles of co-infection with other enteric related viruses were similar to our previous findings. In summary, these data suggest temporal variation in the seasonal distribution of HPeV and changing patterns of HPeV genotypes over time in the study region.

摘要

人类肠道病毒(HPeVs)的感染模式随时间的变化尚不清楚,迄今为止,中国尚未有详细的研究报告。本研究调查了中国兰州住院儿童的 HPeV 感染情况,揭示了三年间隔后流行病学特征的变化。为了评估这些变化,我们对 HPeV 感染的流行病学和临床特征进行了特征描述,并与我们小组之前报告的数据进行了比较。三年间隔后,HPeV 的阳性率(25.3%,73/289)相当,大多数感染儿童(95.9%,70/73)年龄小于两岁。虽然目前的研究注意到季节性分布有时间变化,但与之前的研究相比,HPeVs 在当前研究中更频繁地在 7 月至 11 月检测到,而不是在 9 月至 12 月。HPeV 基因型模式的变化、HPeV1 流行率的时间变化、与 HPeV1 相比,HPeV3 的易感年龄更小以及 HPeV4 感染倾向于年龄较大的儿童,这些都与我们之前的报告不同。HPeV2 是一种罕见报道的基因型,这是在中国首次发现。此外,还在 HPeV4 核苷酸序列中发现了一个独特的三核苷酸(GAT)插入。然而,与其他肠道相关病毒的共同感染谱与我们之前的发现相似。总之,这些数据表明,研究区域的 HPeV 季节性分布有时间变化,HPeV 基因型模式随时间变化。

https://cdn.ncbi.nlm.nih.gov/pmc/blobs/8a9f/3700866/b692d9a51ee6/pone.0068321.g001.jpg

文献AI研究员

20分钟写一篇综述,助力文献阅读效率提升50倍。

立即体验

用中文搜PubMed

大模型驱动的PubMed中文搜索引擎

马上搜索

文档翻译

学术文献翻译模型,支持多种主流文档格式。

立即体验