Suppr超能文献

miR-145 的下调促进肺腺癌细胞生长形成脑转移。

Downregulation of miR-145 contributes to lung adenocarcinoma cell growth to form brain metastases.

机构信息

Biorepository, State Key Laboratory of Biotherapy, West China Hospital, Sichuan University, Chengdu, Sichuan 610041, P.R. China.

出版信息

Oncol Rep. 2013 Nov;30(5):2027-34. doi: 10.3892/or.2013.2728. Epub 2013 Sep 10.

Abstract

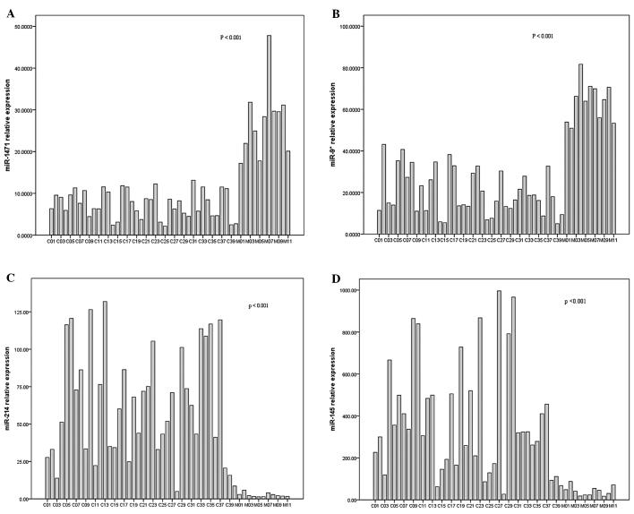
The development of metastases involves the dissociation of cells from the primary tumor, penetrating the basement membrane, invasion and exiting from the vasculature to seed, and finally colonizing in distant tissues. The formation of brain metastasis (BM) in lung adenocarcinoma remains poorly understood. We examined the differential microRNA (miRNA) expression profiles of 5 primary and 3 brain metastatic lung adenocarcinoma samples by Agilent miRNA Microarrays. Five upregulated miRNAs (miRs-9*, -1471, 718, 3656, 720) and 3 downregulated miRNAs (miRs-214, -145 and -23a) were detected. The 4 most significantly deregulated miRNAs (miR-145, miR-214, miR-9* and miR-1471) were validated in the additional 43 samples (35 primary and 8 brain metastatic lung adenocarcinoma samples) using TaqMan quantitative PCR. By functional assay, we found that the expression of miR-145 can regulate the ability of proliferation of A549 and SPC-A1 cells in vitro, but is not related to lymph node metastasis, migration and invasion. These results suggest that miR-145 may have a cell type-specific function and play important roles in the process of BM from lung adenocarcinoma.

摘要

转移的发展涉及细胞从原发性肿瘤解离,穿透基底膜,入侵并从脉管系统逸出播种,最后在远处组织中定植。肺腺癌脑转移(BM)的形成仍知之甚少。我们通过 Agilent miRNA Microarrays 检查了 5 个原发性和 3 个脑转移性肺腺癌样本的差异 microRNA(miRNA)表达谱。检测到 5 个上调的 miRNAs(miR-9*、-1471、718、3656、720)和 3 个下调的 miRNAs(miR-214、-145 和 -23a)。在另外 43 个样本(35 个原发性和 8 个脑转移性肺腺癌样本)中使用 TaqMan 定量 PCR 验证了 4 个最显着失调的 miRNAs(miR-145、miR-214、miR-9*和 miR-1471)。通过功能测定,我们发现 miR-145 的表达可以调节 A549 和 SPC-A1 细胞在体外的增殖能力,但与淋巴结转移、迁移和侵袭无关。这些结果表明,miR-145 可能具有细胞类型特异性功能,并在肺腺癌 BM 过程中发挥重要作用。

https://cdn.ncbi.nlm.nih.gov/pmc/blobs/26c8/3820619/fffe3b935e4b/OR-30-05-2027-g00.jpg

文献AI研究员

20分钟写一篇综述,助力文献阅读效率提升50倍。

立即体验

用中文搜PubMed

大模型驱动的PubMed中文搜索引擎

马上搜索

文档翻译

学术文献翻译模型,支持多种主流文档格式。

立即体验