Suppr超能文献

用 BMI、皮褶厚度和双能 X 射线吸收法测量体脂与成年男性心血管疾病和糖尿病风险标志物的关系。

Adiposity measurements by BMI, skinfolds and dual energy X-ray absorptiometry in relation to risk markers for cardiovascular disease and diabetes in adult males.

机构信息

Division of Diabetes, Endocrinology and Metabolic Medicine, Department of Medicine, Faculty of Medicine, Imperial College London, St Mary's Campus, Norfolk Place, London W2 1PG, UK.

National Heart & Lung Institute, Imperial College London, Dovehouse Street, London SW3 6LY, UK.

出版信息

Dis Markers. 2013;35(6):753-64. doi: 10.1155/2013/763907. Epub 2013 Nov 18.

Abstract

BACKGROUND

Choice of adiposity measure may be important in the evaluation of relationships between adiposity and risk markers for cardiovascular disease and diabetes.

AIM

We explored the strengths of risk marker associations with BMI, a simple measure of adiposity, and with measures provided by skinfold thicknesses and dual energy X-ray absorptiometry (DXA).

SUBJECTS AND METHODS

We evaluated in three subgroups of white males (n = 156-349), participating in a health screening program, the strengths of relationship between measures of total and regional adiposity and risk markers relating to blood pressure, lipids and lipoproteins, insulin sensitivity, and subclinical inflammation.

RESULTS

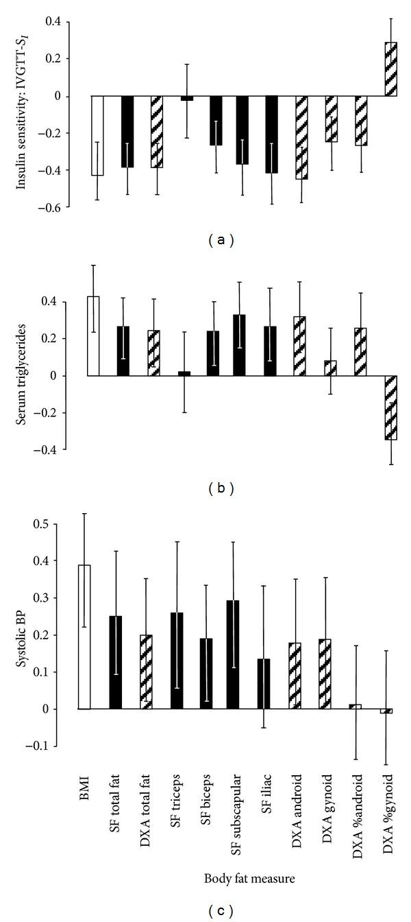
Independent of age, smoking, alcohol intake, and exercise, the strongest correlations with adiposity measures were seen with serum triglyceride concentrations and indices of insulin sensitivity, with strengths of association showing little difference between BMI and skinfold and DXA measures of total and percent body fat (R = 0.20-0.46, P < 0.01). Significant but weaker associations with adiposity were seen for serum HDL cholesterol and only relatively inconsistent associations with adiposity for total and LDL cholesterol and indices of subclinical inflammation.

CONCLUSIONS

BMI can account for variation in risk markers in white males as well as more sophisticated measures derived from skinfold thickness measurements or DXA scanning.

摘要

背景

在评估肥胖与心血管疾病和糖尿病风险标志物之间的关系时,选择肥胖衡量指标可能很重要。

目的

我们探讨了 BMI(一种简单的肥胖衡量指标)与皮褶厚度和双能 X 射线吸收法(DXA)提供的指标与风险标志物之间关联的强度。

受试者和方法

我们在参加健康筛查计划的三组白人男性(n = 156-349)中评估了总脂肪和局部脂肪与与血压、血脂和脂蛋白、胰岛素敏感性和亚临床炎症相关的风险标志物之间的关系强度。

结果

独立于年龄、吸烟、饮酒和运动,血清甘油三酯浓度和胰岛素敏感性指数与肥胖衡量指标的相关性最强,BMI 与皮褶和 DXA 总脂肪和体脂百分比测量值之间的关联强度差异不大(R = 0.20-0.46,P < 0.01)。血清高密度脂蛋白胆固醇与肥胖存在显著但较弱的关联,而总胆固醇和 LDL 胆固醇以及亚临床炎症指数与肥胖的关联相对不一致。

结论

BMI 可以解释白人男性的风险标志物的变化,与皮褶厚度测量或 DXA 扫描得出的更复杂的指标一样。

https://cdn.ncbi.nlm.nih.gov/pmc/blobs/2e0e/3850614/2411e214bf28/DM35-06-763907.001.jpg

文献AI研究员

20分钟写一篇综述,助力文献阅读效率提升50倍。

立即体验

用中文搜PubMed

大模型驱动的PubMed中文搜索引擎

马上搜索

文档翻译

学术文献翻译模型,支持多种主流文档格式。

立即体验