Department of Eating and Weight Disorders, Villa Garda Hospital, Via Montebaldo, Garda (VR) 89I-37016, Italy.
Nutrients. 2013 Dec 16;5(12):5140-60. doi: 10.3390/nu5125140.
Eating disorders are health problems that are particularly prevalent in adolescents and young adults. They are associated with considerable physical health and psychosocial morbidity, and increased risk of mortality. We set out to conduct a systematic review to determine their effect on physical fitness in the general population and on sport performance in athletes.
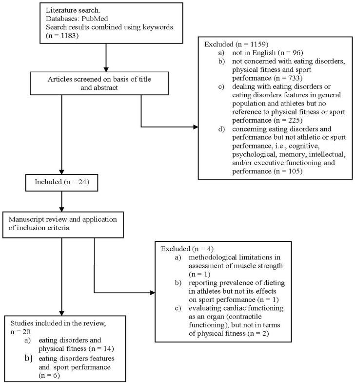
METHODS/DESIGN: A systematic review of the relevant peer-reviewed literature was performed. For inclusion, articles retrieved from PubMed had to be published in English between 1977 and 2013. Wherever possible, methods and reporting adhere to the guidelines outlined in the PRISMA statement. Some additional studies were retrieved from among those cited in the reference lists of included studies and from non-electronic databases. Literature searches, study selection, method and quality appraisal were performed independently by two authors, and data was synthesized using a narrative approach.
Of the 1183 articles retrieved, twenty-nine studies met the inclusion criteria and were consequently analysed. The available data indicate that eating disorders have a negative effect on physical fitness and sport performance by causing low energy availability, excessive loss of fat and lean mass, dehydration, and electrolyte disturbance.
Although the paucity of the available data mean that findings to date should be interpreted with caution, the information collated in this review has several practical implications. First, eating disorders have a negative effect on both physical fitness and sport performance. Second athletics coaches should be targeted for education about the risk factors of eating disorders, as deterioration in sport performance in athletes, particularly if they are underweight or show other signs of an eating disorder, may indicate the need for medical intervention. However, future studies are needed, especially to assess the direct effect of eating disorders on sport performance.
饮食失调是一种在青少年和年轻人中尤为普遍的健康问题。它们与相当大的身体健康和心理社会发病率以及死亡率增加有关。我们着手进行系统评价,以确定它们对一般人群的身体健康和运动员的运动表现的影响。
方法/设计:对相关同行评议文献进行了系统评价。从 PubMed 检索到的文章必须在 1977 年至 2013 年期间以英文发表。只要有可能,方法和报告都遵守 PRISMA 声明中概述的准则。从纳入研究的参考文献中以及非电子数据库中检索到一些额外的研究。文献检索、研究选择、方法和质量评估由两位作者独立进行,数据采用叙述性方法综合。
在检索到的 1183 篇文章中,有 29 篇研究符合纳入标准并进行了分析。现有数据表明,饮食失调会通过导致能量供应不足、过度减少脂肪和瘦肉质量、脱水和电解质紊乱,对身体健康和运动表现产生负面影响。
尽管现有数据的缺乏意味着迄今为止的发现应谨慎解释,但本综述中收集的信息具有几个实际意义。首先,饮食失调对身体健康和运动表现都有负面影响。其次,应针对田径教练进行教育,了解饮食失调的危险因素,因为运动员的运动表现恶化,特别是如果他们体重过轻或出现其他饮食失调迹象,可能表明需要医疗干预。然而,需要进行未来的研究,特别是评估饮食失调对运动表现的直接影响。