• 文献检索
  • 文档翻译
  • 深度研究
  • 学术资讯
  • Suppr Zotero 插件Zotero 插件
  • 邀请有礼
  • 套餐&价格
  • 历史记录
应用&插件
Suppr Zotero 插件Zotero 插件浏览器插件Mac 客户端Windows 客户端微信小程序
定价
高级版会员购买积分包购买API积分包
服务
文献检索文档翻译深度研究API 文档MCP 服务
关于我们
关于 Suppr公司介绍联系我们用户协议隐私条款
关注我们

Suppr 超能文献

核心技术专利:CN118964589B侵权必究
粤ICP备2023148730 号-1Suppr @ 2026

文献检索

告别复杂PubMed语法,用中文像聊天一样搜索,搜遍4000万医学文献。AI智能推荐,让科研检索更轻松。

立即免费搜索

文件翻译

保留排版,准确专业,支持PDF/Word/PPT等文件格式,支持 12+语言互译。

免费翻译文档

深度研究

AI帮你快速写综述,25分钟生成高质量综述,智能提取关键信息,辅助科研写作。

立即免费体验

一种抑制媒介传播疾病的减少与替代策略:来自随机空间模型的见解

A reduce and replace strategy for suppressing vector-borne diseases: insights from a stochastic, spatial model.

作者信息

Okamoto Kenichi W, Robert Michael A, Lloyd Alun L, Gould Fred

机构信息

Department of Entomology, North Carolina State University, Raleigh, North Carolina, United States of America.

Department of Mathematics and Biomathematics Graduate Program, North Carolina State University, Raleigh, North Carolina, United States of America.

出版信息

PLoS One. 2013 Dec 20;8(12):e81860. doi: 10.1371/journal.pone.0081860. eCollection 2013.

DOI:10.1371/journal.pone.0081860
PMID:24376506
原文链接:https://pmc.ncbi.nlm.nih.gov/articles/PMC3869666/
Abstract

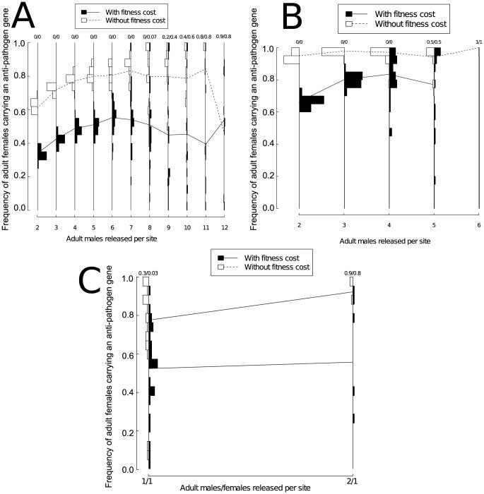
Two basic strategies have been proposed for using transgenic Aedes aegypti mosquitoes to decrease dengue virus transmission: population reduction and population replacement. Here we model releases of a strain of Ae. aegypti carrying both a gene causing conditional adult female mortality and a gene blocking virus transmission into a wild population to assess whether such releases could reduce the number of competent vectors. We find this "reduce and replace" strategy can decrease the frequency of competent vectors below 50% two years after releases end. Therefore, this combined approach appears preferable to releasing a strain carrying only a female-killing gene, which is likely to merely result in temporary population suppression. However, the fixation of anti-pathogen genes in the population is unlikely. Genetic drift at small population sizes and the spatially heterogeneous nature of the population recovery after releases end prevent complete replacement of the competent vector population. Furthermore, releasing more individuals can be counter-productive in the face of immigration by wild-type mosquitoes, as greater population reduction amplifies the impact wild-type migrants have on the long-term frequency of the anti-pathogen gene. We expect the results presented here to give pause to expectations for driving an anti-pathogen construct to fixation by relying on releasing individuals carrying this two-gene construct. Nevertheless, in some dengue-endemic environments, a spatially heterogeneous decrease in competent vectors may still facilitate decreasing disease incidence.

摘要

利用转基因埃及伊蚊来减少登革热病毒传播已提出两种基本策略

种群减少和种群替代。在此,我们对携带一种导致成年雌蚊有条件死亡的基因以及一种阻断病毒传播的基因的埃及伊蚊品系释放到野生种群中的情况进行建模,以评估这种释放是否能减少易感病媒的数量。我们发现,这种“减少并替代”策略在释放结束两年后可将易感病媒的频率降低至50%以下。因此,相较于仅释放携带杀雌基因的品系(这可能只会导致种群暂时受到抑制),这种联合方法似乎更可取。然而,抗病原体基因在种群中固定下来的可能性不大。小种群规模下的遗传漂变以及释放结束后种群恢复的空间异质性,使得无法完全替代易感病媒种群。此外,面对野生型蚊子的迁入,释放更多个体可能会适得其反,因为更大程度的种群减少会放大野生型迁入者对抗病原体基因长期频率的影响。我们预计这里给出的结果会让人对依靠释放携带这种双基因构建体的个体来使抗病原体构建体固定下来的期望有所迟疑。尽管如此,在一些登革热流行的环境中,易感病媒在空间上的异质性减少仍可能有助于降低疾病发病率。

https://cdn.ncbi.nlm.nih.gov/pmc/blobs/c94d/3869666/f9f0ac785605/pone.0081860.g007.jpg
https://cdn.ncbi.nlm.nih.gov/pmc/blobs/c94d/3869666/4cec5a3ec204/pone.0081860.g001.jpg
https://cdn.ncbi.nlm.nih.gov/pmc/blobs/c94d/3869666/b0488a910b54/pone.0081860.g002.jpg
https://cdn.ncbi.nlm.nih.gov/pmc/blobs/c94d/3869666/5abbe58307a2/pone.0081860.g003.jpg
https://cdn.ncbi.nlm.nih.gov/pmc/blobs/c94d/3869666/272e6e0f9d29/pone.0081860.g004.jpg
https://cdn.ncbi.nlm.nih.gov/pmc/blobs/c94d/3869666/88b227dfcb93/pone.0081860.g005.jpg
https://cdn.ncbi.nlm.nih.gov/pmc/blobs/c94d/3869666/fa37b590c790/pone.0081860.g006.jpg
https://cdn.ncbi.nlm.nih.gov/pmc/blobs/c94d/3869666/f9f0ac785605/pone.0081860.g007.jpg
https://cdn.ncbi.nlm.nih.gov/pmc/blobs/c94d/3869666/4cec5a3ec204/pone.0081860.g001.jpg
https://cdn.ncbi.nlm.nih.gov/pmc/blobs/c94d/3869666/b0488a910b54/pone.0081860.g002.jpg
https://cdn.ncbi.nlm.nih.gov/pmc/blobs/c94d/3869666/5abbe58307a2/pone.0081860.g003.jpg
https://cdn.ncbi.nlm.nih.gov/pmc/blobs/c94d/3869666/272e6e0f9d29/pone.0081860.g004.jpg
https://cdn.ncbi.nlm.nih.gov/pmc/blobs/c94d/3869666/88b227dfcb93/pone.0081860.g005.jpg
https://cdn.ncbi.nlm.nih.gov/pmc/blobs/c94d/3869666/fa37b590c790/pone.0081860.g006.jpg
https://cdn.ncbi.nlm.nih.gov/pmc/blobs/c94d/3869666/f9f0ac785605/pone.0081860.g007.jpg

相似文献

1
A reduce and replace strategy for suppressing vector-borne diseases: insights from a stochastic, spatial model.一种抑制媒介传播疾病的减少与替代策略:来自随机空间模型的见解
PLoS One. 2013 Dec 20;8(12):e81860. doi: 10.1371/journal.pone.0081860. eCollection 2013.
2
Feasible introgression of an anti-pathogen transgene into an urban mosquito population without using gene-drive.在不使用基因驱动的情况下,将抗病原体转基因成功导入城市蚊虫种群。
PLoS Negl Trop Dis. 2014 Jul 3;8(7):e2827. doi: 10.1371/journal.pntd.0002827. eCollection 2014 Jul.
3
A reduce and replace strategy for suppressing vector-borne diseases: insights from a deterministic model.减少和替代策略以抑制媒介传播疾病:来自确定性模型的见解。
PLoS One. 2013 Sep 4;8(9):e73233. doi: 10.1371/journal.pone.0073233. eCollection 2013.
4
Changes in the genetic structure of Aedes aegypti (Diptera: Culicidae) populations in Queensland, Australia, across two seasons: implications for potential mosquito releases.昆士兰州,澳大利亚,伊蚊(双翅目:蚊科)种群遗传结构在两个季节的变化:对潜在蚊子释放的影响。
J Med Entomol. 2011 Sep;48(5):999-1007. doi: 10.1603/me10264.
5
Wolbachia Reduces the Transmission Potential of Dengue-Infected Aedes aegypti.沃尔巴克氏体降低登革热感染埃及伊蚊的传播潜力。
PLoS Negl Trop Dis. 2015 Jun 26;9(6):e0003894. doi: 10.1371/journal.pntd.0003894. eCollection 2015.
6
The spatial and temporal scales of local dengue virus transmission in natural settings: a retrospective analysis.自然环境中局部登革热病毒传播的时空尺度:回顾性分析。
Parasit Vectors. 2018 Feb 2;11(1):79. doi: 10.1186/s13071-018-2662-6.
7
Genetic elimination of dengue vector mosquitoes.遗传消除登革热媒介蚊。
Proc Natl Acad Sci U S A. 2011 Mar 22;108(12):4772-5. doi: 10.1073/pnas.1019295108. Epub 2011 Mar 7.
8
Comparison of vector competence of Aedes mediovittatus and Aedes aegypti for dengue virus: implications for dengue control in the Caribbean.中脉伊蚊和埃及伊蚊对登革病毒的媒介能力比较:对加勒比地区登革热防控的启示
PLoS Negl Trop Dis. 2015 Feb 6;9(2):e0003462. doi: 10.1371/journal.pntd.0003462. eCollection 2015 Feb.
9
Vector competence of Aedes albopictus and Aedes aegypti (Diptera: Culicidae) for the DEN2-FJ10 and DEN2-FJ11 strains of the dengue 2 virus in Fujian, China.中国福建白纹伊蚊和埃及伊蚊(双翅目:蚊科)对登革2型病毒DEN2-FJ10和DEN2-FJ11株的媒介能力
Acta Trop. 2016 Sep;161:86-90. doi: 10.1016/j.actatropica.2016.05.018. Epub 2016 May 31.
10
Population genetic structure of Aedes aegypti, the principal vector of dengue viruses.登革热病毒主要传播媒介埃及伊蚊的种群遗传结构。
Infect Genet Evol. 2011 Mar;11(2):253-61. doi: 10.1016/j.meegid.2010.11.020. Epub 2010 Dec 15.

引用本文的文献

1
A critical assessment of the detailed Aedes aegypti simulation model Skeeter Buster 2 using field experiments of indoor insecticidal control in Iquitos, Peru.使用秘鲁伊基托斯的室内杀虫剂控制现场实验对埃及伊蚊模拟模型 Skeeter Buster 2 进行详细的批判性评估。
PLoS Negl Trop Dis. 2022 Dec 22;16(12):e0010863. doi: 10.1371/journal.pntd.0010863. eCollection 2022 Dec.
2
Testing non-autonomous antimalarial gene drive effectors using self-eliminating drivers in the African mosquito vector Anopheles gambiae.利用非洲疟蚊传播媒介冈比亚按蚊中的自我消除驱动子来测试非自主抗疟基因驱动效应器。
PLoS Genet. 2022 Jun 2;18(6):e1010244. doi: 10.1371/journal.pgen.1010244. eCollection 2022 Jun.
3

本文引用的文献

1
Gene-drive into insect populations with age and spatial structure: a theoretical assessment.具有年龄和空间结构的昆虫种群基因驱动:理论评估
Evol Appl. 2011 May;4(3):415-28. doi: 10.1111/j.1752-4571.2010.00153.x. Epub 2010 Sep 14.
2
Towards the genetic control of insect vectors: An overview.昆虫媒介的基因控制概述
Entomol Res. 2007 Dec;37(4):213-220. doi: 10.1111/j.1748-5967.2007.00117.x.
3
A reduce and replace strategy for suppressing vector-borne diseases: insights from a deterministic model.减少和替代策略以抑制媒介传播疾病:来自确定性模型的见解。
Gene Drive Dynamics in Natural Populations: The Importance of Density Dependence, Space, and Sex.
自然种群中的基因驱动动态:密度依赖性、空间和性别的重要性。
Annu Rev Ecol Evol Syst. 2020 Nov;51(1):505-531. doi: 10.1146/annurev-ecolsys-031120-101013. Epub 2020 Aug 28.
4
Increasing Effectiveness of Genetically Modifying Mosquito Populations: Risk Assessment of Releasing Blood-Fed Females.提高基因改造蚊子种群的有效性:释放吸血雌蚊的风险评估。
Am J Trop Med Hyg. 2021 Mar 29;104(5):1895-1906. doi: 10.4269/ajtmh.19-0729.
5
Quantifying the efficacy of genetic shifting in control of mosquito-borne diseases.量化基因转移在控制蚊媒疾病方面的效果。
Evol Appl. 2019 Jun 14;12(8):1552-1568. doi: 10.1111/eva.12802. eCollection 2019 Sep.
6
and Models to Study Mosquito-Borne Flavivirus Neuropathogenesis, Prevention, and Treatment.并建立模型来研究蚊媒黄病毒的神经发病机制、预防和治疗。
Front Cell Infect Microbiol. 2019 Jul 9;9:223. doi: 10.3389/fcimb.2019.00223. eCollection 2019.
7
Identification of microRNAs expressed in the midgut of Aedes albopictus during dengue infection.鉴定登革热感染白纹伊蚊中肠内表达的 microRNAs。
Parasit Vectors. 2017 Feb 3;10(1):63. doi: 10.1186/s13071-017-1966-2.
8
Integrating Transgenic Vector Manipulation with Clinical Interventions to Manage Vector-Borne Diseases.整合转基因载体操作与临床干预措施以控制媒介传播疾病。
PLoS Comput Biol. 2016 Mar 10;12(3):e1004695. doi: 10.1371/journal.pcbi.1004695. eCollection 2016 Mar.
9
Control of Mosquito-Borne Infectious Diseases: Sex and Gene Drive.蚊媒传染病的控制:性别与基因驱动
Trends Parasitol. 2016 Mar;32(3):219-229. doi: 10.1016/j.pt.2015.12.003. Epub 2016 Feb 17.
10
A critical assessment of vector control for dengue prevention.对登革热预防中病媒控制的批判性评估。
PLoS Negl Trop Dis. 2015 May 7;9(5):e0003655. doi: 10.1371/journal.pntd.0003655. eCollection 2015 May.
PLoS One. 2013 Sep 4;8(9):e73233. doi: 10.1371/journal.pone.0073233. eCollection 2013.
4
The global distribution and burden of dengue.登革热的全球分布和负担。
Nature. 2013 Apr 25;496(7446):504-7. doi: 10.1038/nature12060. Epub 2013 Apr 7.
5
Population genetic structure of Aedes (Stegomyia) aegypti (L.) at a micro-spatial scale in Thailand: implications for a dengue suppression strategy.在泰国微空间尺度上登革热传播媒介埃及伊蚊(Stegomyia aegypti)(L.)的种群遗传结构:对登革热抑制策略的启示。
PLoS Negl Trop Dis. 2013;7(1):e1913. doi: 10.1371/journal.pntd.0001913. Epub 2013 Jan 10.
6
Assessing the feasibility of controlling Aedes aegypti with transgenic methods: a model-based evaluation.评估转基因方法控制埃及伊蚊的可行性:基于模型的评估。
PLoS One. 2012;7(12):e52235. doi: 10.1371/journal.pone.0052235. Epub 2012 Dec 21.
7
Open field release of genetically engineered sterile male Aedes aegypti in Malaysia.在马来西亚释放经过基因改造的不育雄性埃及伊蚊的野外释放。
PLoS One. 2012;7(8):e42771. doi: 10.1371/journal.pone.0042771. Epub 2012 Aug 27.
8
Successful suppression of a field mosquito population by sustained release of engineered male mosquitoes.通过持续释放基因工程雄蚊成功抑制野外蚊虫种群。
Nat Biotechnol. 2012 Sep;30(9):828-30. doi: 10.1038/nbt.2350.
9
Flight performance and teneral energy reserves of two genetically-modified and one wild-type strain of the yellow fever mosquito Aedes aegypti.两种转基因和一种野生型埃及伊蚊品系的飞行性能和羽化初期能量储备
Vector Borne Zoonotic Dis. 2012 Dec;12(12):1053-8. doi: 10.1089/vbz.2012.0994. Epub 2012 Jul 26.
10
Modelling the spread of Wolbachia in spatially heterogeneous environments.在空间异质环境中模拟 Wolbachia 的传播。
J R Soc Interface. 2012 Nov 7;9(76):3045-54. doi: 10.1098/rsif.2012.0253. Epub 2012 Jun 6.