• 文献检索
  • 文档翻译
  • 深度研究
  • 学术资讯
  • Suppr Zotero 插件Zotero 插件
  • 邀请有礼
  • 套餐&价格
  • 历史记录
应用&插件
Suppr Zotero 插件Zotero 插件浏览器插件Mac 客户端Windows 客户端微信小程序
定价
高级版会员购买积分包购买API积分包
服务
文献检索文档翻译深度研究API 文档MCP 服务
关于我们
关于 Suppr公司介绍联系我们用户协议隐私条款
关注我们

Suppr 超能文献

核心技术专利:CN118964589B侵权必究
粤ICP备2023148730 号-1Suppr @ 2026

文献检索

告别复杂PubMed语法,用中文像聊天一样搜索,搜遍4000万医学文献。AI智能推荐,让科研检索更轻松。

立即免费搜索

文件翻译

保留排版,准确专业,支持PDF/Word/PPT等文件格式,支持 12+语言互译。

免费翻译文档

深度研究

AI帮你快速写综述,25分钟生成高质量综述,智能提取关键信息,辅助科研写作。

立即免费体验

大蒜素的抗菌活性及其对 U2OS 人骨肉瘤细胞的作用。

Antibacterial Activity of Elephant Garlic and Its Effect against U2OS Human Osteosarcoma Cells.

机构信息

Beijing Key Laboratory of Forest Food Processing and Safety, Beijing Forestry University, Beijing 100083, China.

出版信息

Iran J Basic Med Sci. 2013 Oct;16(10):1088-94.

PMID:24379966
原文链接:https://pmc.ncbi.nlm.nih.gov/articles/PMC3874095/
Abstract

OBJECTIVE(S): The present study was designed to investigate the antibacterial function and pharmacological effect of elephant garlic (Allium ampeloprasum var. ampeloprasum) on U2OS human osteosarcoma cells.

MATERIALS AND METHODS

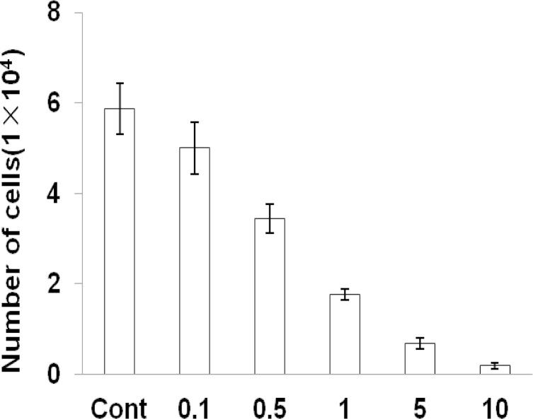
Seven kinds of bacteria were reconstituted, inoculated and tested in this research to evaluate elephant garlic antibacterial activity. By the means of FACS analysis, cell proliferation assay, confocal laser scanning microscopy and Transwell migration assays, the effect of elephant garlic against U2OS human osteosarcoma cells was unveiled. Rerults: The antimicrobial activity of elephant garlic was stronger than ampicillin when used against Escherichia coli, Bacillus subtilis, Bacillus thuringiensis, Staphylococcus actinomycetes, and gray actinomycetes. Even at a very low concentration (12.5%), elephant garlic still had an antibacterial effect on common bacteria E. coli and S. aureus. The G0/G1 ratio of elephant garlic treated group cells increased while S phase decreased. Elephant garlic extract inhibited the growth of human osteosarcoma cells, U2OS, through preventing the transition from G1 phase to S phase. It reduced osteosarcoma cell, U2OS, invasion ability and significantly increased the proportion of apoptosis. It significantly affected the cytoskeleton generation.

CONCLUSION

Elephant garlic exhibits antibacterial property and has an inhibitory effect on osteosarcoma cells (U2OS) proliferation and cell activity, suggesting the mechanism of its anticancer effects on U2OS human osteosarcoma cells.

摘要

目的

本研究旨在探讨大蒜(Allium ampeloprasum var. ampeloprasum)对 U2OS 人骨肉瘤细胞的抗菌功能和药理作用。

材料和方法

本研究中重新配制、接种和测试了 7 种细菌,以评估大蒜的抗菌活性。通过流式细胞术分析、细胞增殖试验、共聚焦激光扫描显微镜和 Transwell 迁移试验,揭示了大蒜对 U2OS 人骨肉瘤细胞的作用。结果:与氨苄西林相比,大蒜对大肠杆菌、枯草芽孢杆菌、苏云金芽孢杆菌、放线菌 actinomycetes 和灰色放线菌的抗菌活性更强。即使在非常低的浓度(12.5%)下,大蒜对常见细菌大肠杆菌和金黄色葡萄球菌仍具有抗菌作用。大蒜处理组细胞的 G0/G1 比值增加,而 S 期减少。大蒜提取物通过阻止 G1 期向 S 期的转化,抑制人骨肉瘤细胞 U2OS 的生长。它降低了骨肉瘤细胞 U2OS 的侵袭能力,并显著增加了细胞凋亡的比例。它显著影响了细胞骨架的生成。

结论

大蒜具有抗菌特性,并对骨肉瘤细胞(U2OS)的增殖和细胞活性具有抑制作用,提示其对 U2OS 人骨肉瘤细胞的抗癌作用机制。

https://cdn.ncbi.nlm.nih.gov/pmc/blobs/1382/3874095/5d74e111f514/ijbms-16-1088-g006.jpg
https://cdn.ncbi.nlm.nih.gov/pmc/blobs/1382/3874095/970767dc1ba3/ijbms-16-1088-g001.jpg
https://cdn.ncbi.nlm.nih.gov/pmc/blobs/1382/3874095/1cde7e2ecb1c/ijbms-16-1088-g002.jpg
https://cdn.ncbi.nlm.nih.gov/pmc/blobs/1382/3874095/d19d74cf926e/ijbms-16-1088-g003.jpg
https://cdn.ncbi.nlm.nih.gov/pmc/blobs/1382/3874095/16c601f0be71/ijbms-16-1088-g004.jpg
https://cdn.ncbi.nlm.nih.gov/pmc/blobs/1382/3874095/14cbad1790f8/ijbms-16-1088-g005.jpg
https://cdn.ncbi.nlm.nih.gov/pmc/blobs/1382/3874095/5d74e111f514/ijbms-16-1088-g006.jpg
https://cdn.ncbi.nlm.nih.gov/pmc/blobs/1382/3874095/970767dc1ba3/ijbms-16-1088-g001.jpg
https://cdn.ncbi.nlm.nih.gov/pmc/blobs/1382/3874095/1cde7e2ecb1c/ijbms-16-1088-g002.jpg
https://cdn.ncbi.nlm.nih.gov/pmc/blobs/1382/3874095/d19d74cf926e/ijbms-16-1088-g003.jpg
https://cdn.ncbi.nlm.nih.gov/pmc/blobs/1382/3874095/16c601f0be71/ijbms-16-1088-g004.jpg
https://cdn.ncbi.nlm.nih.gov/pmc/blobs/1382/3874095/14cbad1790f8/ijbms-16-1088-g005.jpg
https://cdn.ncbi.nlm.nih.gov/pmc/blobs/1382/3874095/5d74e111f514/ijbms-16-1088-g006.jpg

相似文献

1
Antibacterial Activity of Elephant Garlic and Its Effect against U2OS Human Osteosarcoma Cells.大蒜素的抗菌活性及其对 U2OS 人骨肉瘤细胞的作用。
Iran J Basic Med Sci. 2013 Oct;16(10):1088-94.
2
Study on anti-osteosarcoma activity of ethanol extract of Venenum bufonis in vitro.蟾酥乙醇提取物体外抗骨肉瘤活性研究
Afr J Tradit Complement Altern Med. 2013 Nov 2;11(1):73-7. eCollection 2014.
3
Changes in the Physicochemical Properties, Antioxidant Activity and Metabolite Analysis of Black Elephant Garlic ( L.) during Aging Period.黑蒜(L.)陈化期的物理化学性质、抗氧化活性及代谢产物分析变化
Foods. 2022 Dec 22;12(1):43. doi: 10.3390/foods12010043.
4
Inhibition of periostin gene expression via RNA interference suppressed the proliferation, apoptosis and invasion in U2OS cells.通过 RNA 干扰抑制骨膜蛋白基因表达可抑制 U2OS 细胞的增殖、凋亡和侵袭。
Chin Med J (Engl). 2010 Dec;123(24):3677-83.
5
Effect and Mechanism of Downregulation in Human Osteosarcoma Cells on the Biological Function of Co-cultured HUVEC.下调人骨肉瘤细胞对共培养 HUVEC 生物学功能的影响及其机制。
Balkan Med J. 2018 Mar 15;35(2):155-162. doi: 10.4274/balkanmedj.2017.0045. Epub 2018 Jan 24.
6
Traceability and authentication in agri-food production: A multivariate approach to the characterization ofthe Italian food excellence elephant garlic (Allium ampeloprasum L.), a vasoactive nutraceutical.农产品生产的可追溯性和认证:一种多元方法来描述意大利食品卓越的大蒜(葱属蒜),一种血管活性的营养保健品。
Food Chem. 2024 Jun 30;444:138684. doi: 10.1016/j.foodchem.2024.138684. Epub 2024 Feb 8.
7
Comparative studies of bioactive organosulphur compounds and antioxidant activities in garlic (Allium sativum L.), elephant garlic (Allium ampeloprasum L.) and onion (Allium cepa L.).大蒜(Allium sativum L.)、象蒜(Allium ampeloprasum L.)和洋葱(Allium cepa L.)中生物活性有机硫化合物及抗氧化活性的比较研究
Nat Prod Res. 2018 May;32(10):1193-1197. doi: 10.1080/14786419.2017.1323211. Epub 2017 May 5.
8
Potential Antibacterial Efficacy of Garlic Extract on , , and : An Study.大蒜提取物对[具体细菌名称1]、[具体细菌名称2]和[具体细菌名称3]的潜在抗菌功效:一项[研究类型]研究 。 你提供的原文中细菌名称和研究类型部分缺失具体信息,请补充完整以便我给出更准确的译文。
J Pharm Bioallied Sci. 2021 Jun;13(Suppl 1):S590-S594. doi: 10.4103/jpbs.JPBS_681_20. Epub 2021 Jun 5.
9
Development and Metabolite Profiling of Elephant Garlic Vinegar.象蒜醋的研制与代谢产物分析
J Microbiol Biotechnol. 2018 Jan 28;28(1):50-58. doi: 10.4014/jmb.1710.10002.
10
Leek or Garlic? A Chemical Evaluation of Elephant Garlic Volatiles.韭菜或大蒜?大蒜挥发性成分的化学评价。
Molecules. 2020 Apr 29;25(9):2082. doi: 10.3390/molecules25092082.

引用本文的文献

1
Selenium and Sulfur to Produce Allium Functional Crops.利用硒和硫培育葱属功能性作物。
Molecules. 2017 Mar 30;22(4):558. doi: 10.3390/molecules22040558.

本文引用的文献

1
Saffron Aqueous Extract Inhibits the Chemically-induced Gastric Cancer Progression in the Wistar Albino Rat.西红花水提物抑制 Wistar 白化大鼠化学诱导的胃癌进展。
Iran J Basic Med Sci. 2013 Jan;16(1):27-38.
2
Bioactivity of malva sylvestris L., a medicinal plant from iran.玛尔维莎草(Malva sylvestris L.)的生物活性,一种来自伊朗的药用植物。
Iran J Basic Med Sci. 2011 Nov;14(6):574-9.
3
Evaluation of the Effect of the 47 kDa Protein Isolated from Aged Garlic Extract on Dendritic Cells.评价从陈年大蒜提取物中分离出的 47kDa 蛋白对树突状细胞的作用。
Iran J Basic Med Sci. 2012 Mar;15(2):745-51.
4
Plant extracts, spices, and essential oils inactivate Escherichia coli O157:H7 and reduce formation of potentially carcinogenic heterocyclic amines in cooked beef patties.植物提取物、香料和精油可使大肠杆菌 O157:H7 失活,并减少烹饪牛肉饼中潜在致癌的杂环胺的形成。
J Agric Food Chem. 2012 Apr 11;60(14):3792-9. doi: 10.1021/jf204062p. Epub 2012 Mar 27.
5
Molecular mechanisms and targets of cancer chemoprevention by garlic-derived bioactive compound diallyl trisulfide.大蒜衍生生物活性化合物二烯丙基三硫化物的癌症化学预防分子机制与靶点
Indian J Exp Biol. 2011 Nov;49(11):805-16.
6
S-Allylcysteine inhibits tumour progression and the epithelial-mesenchymal transition in a mouse xenograft model of oral cancer.S-烯丙半胱氨酸抑制口腔癌小鼠异种移植模型中的肿瘤进展和上皮-间充质转化。
Br J Nutr. 2012 Jul 14;108(1):28-38. doi: 10.1017/S0007114511005307. Epub 2011 Oct 20.
7
The ROCK signaling and breast cancer metastasis.ROCK 信号通路与乳腺癌转移
Mol Biol Rep. 2011 Feb;38(2):1363-6. doi: 10.1007/s11033-010-0238-4. Epub 2010 Jul 3.
8
Antimicrobial activity of elephant garlic oil against Vibrio cholerae in vitro and in a food model.象蒜油对霍乱弧菌的体外抗菌活性及在食品模型中的抗菌活性
Biosci Biotechnol Biochem. 2009 Jul;73(7):1623-7. doi: 10.1271/bbb.90128. Epub 2009 Jul 7.
9
Diallyl sulfide content and antimicrobial activity against food-borne pathogenic bacteria of chives (Allium schoenoprasum).韭菜(细香葱)中烯丙基硫醚含量及其对食源性病原体的抗菌活性
Biosci Biotechnol Biochem. 2008 Nov;72(11):2987-91. doi: 10.1271/bbb.80482. Epub 2008 Nov 7.
10
Critical role of notch signaling in osteosarcoma invasion and metastasis.Notch信号通路在骨肉瘤侵袭和转移中的关键作用
Clin Cancer Res. 2008 May 15;14(10):2962-9. doi: 10.1158/1078-0432.CCR-07-1992.