• 文献检索
  • 文档翻译
  • 深度研究
  • 学术资讯
  • Suppr Zotero 插件Zotero 插件
  • 邀请有礼
  • 套餐&价格
  • 历史记录
应用&插件
Suppr Zotero 插件Zotero 插件浏览器插件Mac 客户端Windows 客户端微信小程序
定价
高级版会员购买积分包购买API积分包
服务
文献检索文档翻译深度研究API 文档MCP 服务
关于我们
关于 Suppr公司介绍联系我们用户协议隐私条款
关注我们

Suppr 超能文献

核心技术专利:CN118964589B侵权必究
粤ICP备2023148730 号-1Suppr @ 2026

文献检索

告别复杂PubMed语法,用中文像聊天一样搜索,搜遍4000万医学文献。AI智能推荐,让科研检索更轻松。

立即免费搜索

文件翻译

保留排版,准确专业,支持PDF/Word/PPT等文件格式,支持 12+语言互译。

免费翻译文档

深度研究

AI帮你快速写综述,25分钟生成高质量综述,智能提取关键信息,辅助科研写作。

立即免费体验

关于过冷分子玻璃形成液体在动力学阻滞时的遍历性:邻三联苯的情况。

On the ergodicity of supercooled molecular glass-forming liquids at the dynamical arrest: the o-terphenyl case.

作者信息

Mallamace Francesco, Corsaro Carmelo, Leone Nancy, Villari Valentina, Micali Norberto, Chen Sow-Hsin

机构信息

1] Dipartimento di Fisica e Scienze della Terra, Università di Messina I-98168, Messina, Italy [2] Department of Nuclear Science and Engineering, Massachusetts Institute of Technology, Cambridge MA 02139.

Dipartimento di Fisica e Scienze della Terra, Università di Messina I-98168, Messina, Italy.

出版信息

Sci Rep. 2014 Jan 17;4:3747. doi: 10.1038/srep03747.

DOI:10.1038/srep03747
PMID:24434872
原文链接:https://pmc.ncbi.nlm.nih.gov/articles/PMC3894564/
Abstract

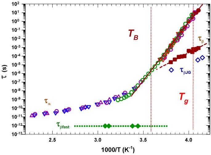
The dynamics of supercooled ortho-terphenyl has been studied using photon-correlation spectroscopy (PCS) in the depolarized scattering geometry. The obtained relaxation curves are analyzed according to the mode-coupling theory (MCT) for supercooled liquids. The main results are: i) the observation of the secondary Johari-Goldstein relaxation (β) that has its onset just at the dynamical crossover temperature TB (TM > TB > Tg); ii) the confirmation, of the suggestion of a recent statistical mechanical study, that such a molecular system remains ergodic also below the calorimetric glass-transition temperature Tg. Our experimental data give evidence that the time scales of the primary (α) and this secondary relaxations are correlated. Finally a comparison with recent PCS experiments in a colloidal system confirms the primary role of the dynamical crossover in the physics of the dynamical arrest.

摘要

利用光子相关光谱法(PCS)在去极化散射几何条件下研究了过冷邻三联苯的动力学。根据过冷液体的模式耦合理论(MCT)对所得的弛豫曲线进行了分析。主要结果如下:i)观察到二级乔哈里-戈尔茨坦弛豫(β),其起始点恰好在动力学交叉温度TB(TM > TB > Tg)处;ii)证实了最近一项统计力学研究的建议,即这样的分子体系在量热玻璃化转变温度Tg以下也保持遍历性。我们的实验数据表明一级(α)弛豫和二级弛豫的时间尺度是相关的。最后,与最近在胶体系统中进行的PCS实验的比较证实了动力学交叉在动力学阻滞物理过程中的主要作用。

https://cdn.ncbi.nlm.nih.gov/pmc/blobs/82f1/3894564/484859fb9688/srep03747-f3.jpg
https://cdn.ncbi.nlm.nih.gov/pmc/blobs/82f1/3894564/82191f27d737/srep03747-f1.jpg
https://cdn.ncbi.nlm.nih.gov/pmc/blobs/82f1/3894564/ae258c41f2cb/srep03747-f2.jpg
https://cdn.ncbi.nlm.nih.gov/pmc/blobs/82f1/3894564/484859fb9688/srep03747-f3.jpg
https://cdn.ncbi.nlm.nih.gov/pmc/blobs/82f1/3894564/82191f27d737/srep03747-f1.jpg
https://cdn.ncbi.nlm.nih.gov/pmc/blobs/82f1/3894564/ae258c41f2cb/srep03747-f2.jpg
https://cdn.ncbi.nlm.nih.gov/pmc/blobs/82f1/3894564/484859fb9688/srep03747-f3.jpg

相似文献

1
On the ergodicity of supercooled molecular glass-forming liquids at the dynamical arrest: the o-terphenyl case.关于过冷分子玻璃形成液体在动力学阻滞时的遍历性:邻三联苯的情况。
Sci Rep. 2014 Jan 17;4:3747. doi: 10.1038/srep03747.
2
Aging of the Johari-Goldstein relaxation in the glass-forming liquids sorbitol and xylitol.玻璃形成液体山梨醇和木糖醇中乔哈里-戈尔茨坦弛豫的老化
J Chem Phys. 2006 Jun 7;124(21):214503. doi: 10.1063/1.2197494.
3
Correlation between primary and secondary Johari-Goldstein relaxations in supercooled liquids: invariance to changes in thermodynamic conditions.过冷液体中主、次乔哈里-戈尔茨坦弛豫之间的相关性:对热力学条件变化的不变性。
J Chem Phys. 2008 Jan 28;128(4):044512. doi: 10.1063/1.2828496.
4
Investigation of the dynamical slowing down process in soft glassy colloidal suspensions: comparisons with supercooled liquids.软玻璃态胶体悬浮液中动力学减速过程的研究:与过冷液体的比较。
Soft Matter. 2014 May 14;10(18):3292-300. doi: 10.1039/c4sm00187g. Epub 2014 Mar 18.
5
Experimental evidence of mosaic structure in strongly supercooled molecular liquids.实验证据表明强过冷分子液体中的镶嵌结构。
Nat Commun. 2021 Mar 25;12(1):1867. doi: 10.1038/s41467-021-22154-8.
6
Molecular mobility of amorphous S-flurbiprofen: a dielectric relaxation spectroscopy approach.非晶态S-氟比洛芬的分子流动性:一种介电弛豫光谱方法。
Mol Pharm. 2014 Jan 6;11(1):112-30. doi: 10.1021/mp4002188. Epub 2013 Nov 22.
7
Dynamic Heterogeneities in Colloidal Supercooled Liquids: Experimental Tests of Inhomogeneous Mode Coupling Theory.胶体过冷液体中的动态非均匀性:非均匀模式耦合理论的实验测试
J Phys Chem B. 2019 Jun 20;123(24):5181-5188. doi: 10.1021/acs.jpcb.9b03419. Epub 2019 Jun 10.
8
Probing excitations and cooperatively rearranging regions in deeply supercooled liquids.探究深过冷液体中的激发和协同重排区域。
Nat Commun. 2023 May 5;14(1):2621. doi: 10.1038/s41467-023-37793-2.
9
Structural rearrangements governing Johari-Goldstein relaxations in metallic glasses.控制金属玻璃中乔哈里-戈尔茨坦弛豫的结构重排。
Sci Adv. 2017 Nov 17;3(11):e1701577. doi: 10.1126/sciadv.1701577. eCollection 2017 Nov.
10
Rotational relaxation in ortho-terphenyl: using atomistic simulations to bridge theory and experiment.邻三联苯中的旋转弛豫:用原子模拟方法连接理论与实验。
J Phys Chem B. 2013 Oct 24;117(42):12898-907. doi: 10.1021/jp402102w. Epub 2013 Jul 10.

引用本文的文献

1
Viscoelastic properties of biopolymer hydrogels determined by Brillouin spectroscopy: A probe of tissue micromechanics.通过布里渊光谱法测定生物聚合物水凝胶的粘弹性特性:一种组织微力学的探测方法。
Sci Adv. 2020 Oct 30;6(44). doi: 10.1126/sciadv.abc1937. Print 2020 Oct.
2
Proposal for universality in the viscosity of metallic liquids.金属液体粘度普遍性的提议。
Sci Rep. 2015 Sep 9;5:13837. doi: 10.1038/srep13837.

本文引用的文献

1
Multiscale materials modelling at the mesoscale.中尺度的多尺度材料建模。
Nat Mater. 2013 Sep;12(9):774-7. doi: 10.1038/nmat3746.
2
Modulated heterodyne light scattering set-up for measuring long relaxation time at small and wide angle.用于在小角度和广角下测量长弛豫时间的调制外差光散射装置。
Rev Sci Instrum. 2012 Aug;83(8):083102. doi: 10.1063/1.4739775.
3
The new insight into dynamic crossover in glass forming liquids from the apparent enthalpy analysis.从显焓分析看玻璃形成液体中的动态交叉新见解。
J Chem Phys. 2012 Aug 14;137(6):064501. doi: 10.1063/1.4739750.
4
Dynamic heterogeneity in the glass-like monoclinic phases of CBr(n)Cl(4-n), n = 0,1,2.CBr(n)Cl(4-n)(n = 0,1,2)玻璃态单斜相的动态多相性。
J Chem Phys. 2012 Aug 7;137(5):054506. doi: 10.1063/1.4739531.
5
Statistical mechanics of glass formation in molecular liquids with OTP as an example.分子液体中玻璃形成的统计力学:以 OTP 为例。
J Phys Chem B. 2011 Dec 8;115(48):14301-10. doi: 10.1021/jp205773c. Epub 2011 Oct 12.
6
The role of the dynamic crossover temperature and the arrest in glass-forming fluids.动态转变温度的作用以及玻璃形成流体中的阻滞现象。
Eur Phys J E Soft Matter. 2011 Sep;34(9):94. doi: 10.1140/epje/i2011-11094-7. Epub 2011 Sep 23.
7
A possible scenario for the fragile-to-strong dynamic crossover predicted by the extended mode-coupling theory for glass transition.由玻璃化转变的扩展模式耦合理论预测的从脆弱到强动态转变的一种可能情形。
J Phys Condens Matter. 2009 Dec 16;21(50):504101. doi: 10.1088/0953-8984/21/50/504101. Epub 2009 Nov 23.
8
Enthalpy space analysis of the evolution of the primary relaxation time in ultraslowing systems.超慢速体系中原初弛豫时间演化的焓空间分析。
J Chem Phys. 2011 Jan 14;134(2):024512. doi: 10.1063/1.3514589.
9
Comment on "Probing the equilibrium dynamics of colloidal hard spheres above the mode-coupling glass transition".对“探究模式耦合玻璃化转变以上胶体硬球的平衡动力学”的评论
Phys Rev Lett. 2010 Nov 5;105(19):199604; author reply 199605. doi: 10.1103/PhysRevLett.105.199604.
10
Evidence for critical-like behavior in ultraslowing glass-forming systems.超缓慢玻璃形成系统中类临界行为的证据。
Phys Rev E Stat Nonlin Soft Matter Phys. 2010 Sep;82(3 Pt 1):031501. doi: 10.1103/PhysRevE.82.031501. Epub 2010 Sep 10.