Suppr超能文献

金催化的含环丙叉基 1,5-烯炔的对映选择性扩环环化反应。

Gold-catalyzed enantioselective ring-expanding cycloisomerization of cyclopropylidene bearing 1,5-enynes.

机构信息

Department of Chemistry, University of North Carolina at Chapel Hill , Chapel Hill, North Carolina 27599-3290, United States.

出版信息

Org Lett. 2014 Apr 18;16(8):2272-5. doi: 10.1021/ol5007955. Epub 2014 Mar 31.

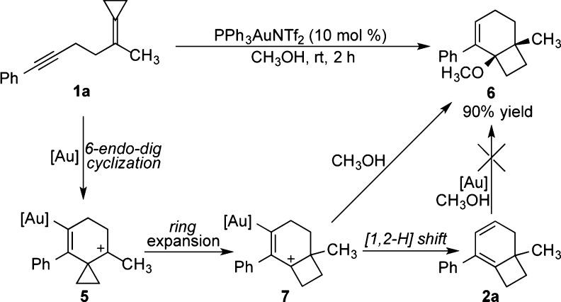
Abstract

An enantioselective ring-expanding cycloisomerization of 1,5-enynes bearing a cyclopropylidene moiety has been developed. This methodology provides a new approach to bicyclo[4.2.0]octanes, a structural motif present in many biologically active natural products.

摘要

一种含有环丙基部分的 1,5-烯炔的对映选择性环扩张环化反应已经被开发出来。这种方法为双环[4.2.0]辛烷提供了一种新的合成途径,双环[4.2.0]辛烷是许多生物活性天然产物中存在的结构基序。

https://cdn.ncbi.nlm.nih.gov/pmc/blobs/a82b/3998771/9e63008561b3/ol-2014-007955_0001.jpg

文献检索

告别复杂PubMed语法,用中文像聊天一样搜索,搜遍4000万医学文献。AI智能推荐,让科研检索更轻松。

立即免费搜索

文件翻译

保留排版,准确专业,支持PDF/Word/PPT等文件格式,支持 12+语言互译。

免费翻译文档

深度研究

AI帮你快速写综述,25分钟生成高质量综述,智能提取关键信息,辅助科研写作。

立即免费体验