• 文献检索
  • 文档翻译
  • 深度研究
  • 学术资讯
  • Suppr Zotero 插件Zotero 插件
  • 邀请有礼
  • 套餐&价格
  • 历史记录
应用&插件
Suppr Zotero 插件Zotero 插件浏览器插件Mac 客户端Windows 客户端微信小程序
定价
高级版会员购买积分包购买API积分包
服务
文献检索文档翻译深度研究API 文档MCP 服务
关于我们
关于 Suppr公司介绍联系我们用户协议隐私条款
关注我们

Suppr 超能文献

核心技术专利:CN118964589B侵权必究
粤ICP备2023148730 号-1Suppr @ 2026

文献检索

告别复杂PubMed语法,用中文像聊天一样搜索,搜遍4000万医学文献。AI智能推荐,让科研检索更轻松。

立即免费搜索

文件翻译

保留排版,准确专业,支持PDF/Word/PPT等文件格式,支持 12+语言互译。

免费翻译文档

深度研究

AI帮你快速写综述,25分钟生成高质量综述,智能提取关键信息,辅助科研写作。

立即免费体验

从受枸杞污染的非洲芒果商业样品中分离出具有潜在抗癌化学预防活性的吡咯生物碱。

Pyrrole alkaloids with potential cancer chemopreventive activity isolated from a goji berry-contaminated commercial sample of African mango.

机构信息

Division of Medicinal Chemistry and Pharmacognosy, College of Pharmacy, The Ohio State University , 500 West 12th Avenue, Columbus, Ohio 43210, United States.

出版信息

J Agric Food Chem. 2014 Jun 4;62(22):5054-60. doi: 10.1021/jf500802x. Epub 2014 May 27.

DOI:10.1021/jf500802x
PMID:24792835
原文链接:https://pmc.ncbi.nlm.nih.gov/articles/PMC4047925/
Abstract

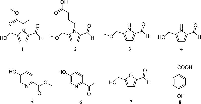
Bioassay-guided fractionation of a commercial sample of African mango (Irvingia gabonensis) that was later shown to be contaminated with goji berry (Lycium sp.) led to the isolation of a new pyrrole alkaloid, methyl 2-[2-formyl-5-(hydroxymethyl)-1H-pyrrol-1-yl]propanoate, 1, along with seven known compounds, 2-8. The structures of the isolated compounds were established by analysis of their spectroscopic data. The new compound 1g showed hydroxyl radical-scavenging activity with an ED50 value of 16.7 μM, whereas 4-[formyl-5-(methoxymethyl)-1H-pyrrol-1-yl]butanoic acid (2) was active in both the hydroxyl radical-scavenging (ED50 11.9 μM) and quinone reductase-induction [CD (concentration required to double QR activity) 2.4 μM)] assays used. The isolated compounds were shown to be absent in a taxonomically authenticated African mango sample but present in three separate authentic samples of goji berry (Lycium barbarum) using LC-MS and (1)H NMR fingerprinting analysis, including one sample that previously showed inhibitory activity in vivo in a rat esophageal cancer model induced with N-nitrosomethylbenzylamine. Additionally, microscopic features characteristic of goji berry were observed in the commercial African mango sample.

摘要

生物测定指导下对商业非洲芒果(Irvingia gabonensis)样品进行分离,结果表明该样品受到枸杞(Lycium sp.)污染,随后分离得到一种新的吡咯生物碱,甲基 2-[2-甲酰基-5-(羟甲基)-1H-吡咯-1-基]丙酸盐 1,以及另外 7 种已知化合物 2-8。通过分析其光谱数据确定了分离化合物的结构。新化合物 1g 显示出羟自由基清除活性,ED50 值为 16.7 μM,而 4-[甲酰基-5-(甲氧基甲基)-1H-吡咯-1-基]丁酸(2)在羟自由基清除(ED50 为 11.9 μM)和醌还原酶诱导(CD(使 QR 活性加倍所需的浓度)为 2.4 μM)测定中均具有活性。利用 LC-MS 和(1)H NMR 指纹分析发现,分离得到的化合物在经过分类学鉴定的非洲芒果样品中不存在,但在三种不同的正宗枸杞(Lycium barbarum)样品中存在,其中一个样品之前在 N-亚硝基甲基苄胺诱导的大鼠食管癌模型中显示出体内抑制活性。此外,在商业非洲芒果样品中观察到与枸杞特征一致的微观特征。

https://cdn.ncbi.nlm.nih.gov/pmc/blobs/6b15/4047925/4aca76a4a1ac/jf-2014-00802x_0006.jpg
https://cdn.ncbi.nlm.nih.gov/pmc/blobs/6b15/4047925/a3f57aa006b6/jf-2014-00802x_0002.jpg
https://cdn.ncbi.nlm.nih.gov/pmc/blobs/6b15/4047925/2ba0f50c6789/jf-2014-00802x_0003.jpg
https://cdn.ncbi.nlm.nih.gov/pmc/blobs/6b15/4047925/93c3984c6deb/jf-2014-00802x_0004.jpg
https://cdn.ncbi.nlm.nih.gov/pmc/blobs/6b15/4047925/d0aef0c0b0c5/jf-2014-00802x_0005.jpg
https://cdn.ncbi.nlm.nih.gov/pmc/blobs/6b15/4047925/4aca76a4a1ac/jf-2014-00802x_0006.jpg
https://cdn.ncbi.nlm.nih.gov/pmc/blobs/6b15/4047925/a3f57aa006b6/jf-2014-00802x_0002.jpg
https://cdn.ncbi.nlm.nih.gov/pmc/blobs/6b15/4047925/2ba0f50c6789/jf-2014-00802x_0003.jpg
https://cdn.ncbi.nlm.nih.gov/pmc/blobs/6b15/4047925/93c3984c6deb/jf-2014-00802x_0004.jpg
https://cdn.ncbi.nlm.nih.gov/pmc/blobs/6b15/4047925/d0aef0c0b0c5/jf-2014-00802x_0005.jpg
https://cdn.ncbi.nlm.nih.gov/pmc/blobs/6b15/4047925/4aca76a4a1ac/jf-2014-00802x_0006.jpg

相似文献

1
Pyrrole alkaloids with potential cancer chemopreventive activity isolated from a goji berry-contaminated commercial sample of African mango.从受枸杞污染的非洲芒果商业样品中分离出具有潜在抗癌化学预防活性的吡咯生物碱。
J Agric Food Chem. 2014 Jun 4;62(22):5054-60. doi: 10.1021/jf500802x. Epub 2014 May 27.
2
Identification of new pyrrole alkaloids from the fruits of Lycium chinense.从宁夏枸杞果实中鉴定新的吡咯生物碱。
Arch Pharm Res. 2016 Mar;39(3):321-7. doi: 10.1007/s12272-015-0695-3. Epub 2015 Dec 17.
3
[Alkaloids from fruit of Lycium chinense var. potaninii].[宁夏枸杞变种黑果枸杞果实中的生物碱]
Zhongguo Zhong Yao Za Zhi. 2023 Mar;48(6):1546-1552. doi: 10.19540/j.cnki.cjcmm.20221114.201.
4
Macrophage activating activity of pyrrole alkaloids from Morus alba fruits.桑椹中吡咯生物碱对巨噬细胞的激活作用。
J Ethnopharmacol. 2013 Jan 9;145(1):393-6. doi: 10.1016/j.jep.2012.11.007. Epub 2012 Nov 16.
5
Chemical profiling of spermidines in goji berry by strong cation exchange solid-phase extraction (SCX-SPE) combined with ultrahigh-performance liquid chromatography-quadrupole time-of-flight mass spectrometry (UPLC-Q-TOF/MS/MS).采用强阳离子交换固相萃取(SCX-SPE)结合超高效液相色谱-四极杆飞行时间质谱(UPLC-Q-TOF/MS/MS)对枸杞中的亚精胺进行化学剖析。
J Chromatogr B Analyt Technol Biomed Life Sci. 2020 Jan 15;1137:121923. doi: 10.1016/j.jchromb.2019.121923. Epub 2019 Dec 5.
6
Pyrrole alkaloids from the fruits of Morus alba.来自桑科植物桑果实中的吡咯生物碱。
Bioorg Med Chem Lett. 2014 Dec 15;24(24):5656-5659. doi: 10.1016/j.bmcl.2014.10.073. Epub 2014 Oct 29.
7
NMR-based identification of the phenolic profile of fruits of Lycium barbarum (goji berries). Isolation and structural determination of a novel N-feruloyl tyramine dimer as the most abundant antioxidant polyphenol of goji berries.基于核磁共振技术鉴定枸杞(枸杞浆果)果实中的酚类成分。分离并确定一种新型N-阿魏酰酪胺二聚体的结构,该二聚体是枸杞浆果中含量最丰富的抗氧化多酚。
Food Chem. 2016 Mar 1;194:1254-9. doi: 10.1016/j.foodchem.2015.08.129. Epub 2015 Aug 31.
8
Residual determination of pyrethrins in (goji) by GC-MS/MS and a dietary risk assessment of Chinese goji consumption.GC-MS/MS 法测定枸杞中拟除虫菊酯的残留量及食用枸杞的膳食风险评估
Food Addit Contam Part A Chem Anal Control Expo Risk Assess. 2020 Mar;37(3):478-487. doi: 10.1080/19440049.2019.1707295. Epub 2020 Jan 9.
9
Discrimination of and Based on Metabolite Analysis and Hepatoprotective Activity.基于代谢物分析和保肝活性的 和 的鉴别。
Molecules. 2020 Dec 10;25(24):5835. doi: 10.3390/molecules25245835.
10
Comparative evaluation of the antioxidant effects of the natural vitamin C analog 2-O-β-D-glucopyranosyl-L-ascorbic acid isolated from Goji berry fruit.比较评价从枸杞果中分离得到的天然维生素 C 类似物 2-O-β-D-吡喃葡萄糖基-L-抗坏血酸的抗氧化作用。
Arch Pharm Res. 2011 May;34(5):801-10. doi: 10.1007/s12272-011-0514-4. Epub 2011 Jun 9.

引用本文的文献

1
Quantum Mechanical Spectral Analysis and Aldose Reductase Inhibition Evaluation of Synthetic New Pyrrolopyrazinones.新型合成吡咯并吡嗪酮的量子力学光谱分析及醛糖还原酶抑制活性评估
ACS Omega. 2025 Mar 26;10(13):13185-13192. doi: 10.1021/acsomega.4c10696. eCollection 2025 Apr 8.
2
Pyrrole-2-carboxaldehydes: Origins and Physiological Activities.吡咯-2-甲醛:起源与生理活性。
Molecules. 2023 Mar 13;28(6):2599. doi: 10.3390/molecules28062599.
3
Chemical Authentication of Botanical Ingredients: A Review of Commercial Herbal Products.

本文引用的文献

1
Sphenostylisins A-K: bioactive modified isoflavonoid constituents of the root bark of Sphenostylis marginata ssp. erecta.Sphenostylisins A-K:Sphenostylis marginata ssp. erecta 根皮的生物活性修饰异黄酮成分。
J Org Chem. 2013 Oct 18;78(20):10166-77. doi: 10.1021/jo401573h. Epub 2013 Oct 3.
2
A systematic review of anti-obesity medicinal plants - an update.抗肥胖药用植物的系统评价——最新进展
J Diabetes Metab Disord. 2013 Jun 19;12(1):28. doi: 10.1186/2251-6581-12-28.
3
Ultra high-performance liquid chromatography with high-resolution mass spectrometry analysis of African mango (Irvingia gabonensis) seeds, extract, and related dietary supplements.
植物成分的化学鉴定:市售草药产品综述
Front Pharmacol. 2021 Apr 15;12:666850. doi: 10.3389/fphar.2021.666850. eCollection 2021.
4
Phenolic Acid Derivatives, Flavonoids and Other Bioactive Compounds from the Leaves of (Thunb.) Makino (Liliaceae).来自麦冬(百合科)叶片的酚酸衍生物、黄酮类化合物及其他生物活性化合物。
Plants (Basel). 2021 Feb 7;10(2):320. doi: 10.3390/plants10020320.
5
Bioassay-Guided Isolation of Antioxidant and Cytoprotective Constituents from a Maqui Berry (Aristotelia chilensis) Dietary Supplement Ingredient As Markers for Qualitative and Quantitative Analysis.生物测定法指导下从智利酒果(Aristotelia chilensis)膳食补充剂成分中分离抗氧化和细胞保护成分作为定性和定量分析的标志物
J Agric Food Chem. 2017 Oct 4;65(39):8634-8642. doi: 10.1021/acs.jafc.7b03261. Epub 2017 Sep 26.
6
Systematic Review of Chemical Constituents in the Genus Lycium (Solanaceae).茄科枸杞属植物化学成分的系统综述。
Molecules. 2017 Jun 8;22(6):911. doi: 10.3390/molecules22060911.
超高效液相色谱-高分辨质谱法分析非洲芒果(Irvingia gabonensis)种子、提取物及相关膳食补充剂。
J Agric Food Chem. 2012 Sep 5;60(35):8703-9. doi: 10.1021/jf302703u. Epub 2012 Aug 23.
4
Cyclohexene, diketopiperazine, lactone and phenol derivatives from the sea fan-derived fungi Nigrospora sp. PSU-F11 and PSU-F12.海扇来源真菌 Nigrospora sp. PSU-F11 和 PSU-F12 中的环己烯、二酮哌嗪、内酯和酚类衍生物。
Arch Pharm Res. 2010 Mar;33(3):375-80. doi: 10.1007/s12272-010-0305-3. Epub 2010 Mar 30.
5
Multiple berry types prevent N-nitrosomethylbenzylamine-induced esophageal cancer in rats.多种浆果可预防 N-亚硝基甲基苄胺诱导的大鼠食管癌。
Pharm Res. 2010 Jun;27(6):1138-45. doi: 10.1007/s11095-010-0102-1. Epub 2010 Mar 16.
6
Goji (Lycium barbarum and L. chinense): Phytochemistry, pharmacology and safety in the perspective of traditional uses and recent popularity.枸杞(宁夏枸杞和中华枸杞):从传统用途和近期流行角度看其植物化学、药理学和安全性。
Planta Med. 2010 Jan;76(1):7-19. doi: 10.1055/s-0029-1186218. Epub 2009 Oct 20.
7
Lignans and other constituents of the fruits of Euterpe oleracea (Acai) with antioxidant and cytoprotective activities.羽叶金虎尾(阿萨伊)果实中的木脂素及其他成分具有抗氧化和细胞保护活性。
J Agric Food Chem. 2008 Sep 10;56(17):7759-64. doi: 10.1021/jf801792n. Epub 2008 Jul 26.
8
The use of a Cissus quadrangularis/Irvingia gabonensis combination in the management of weight loss: a double-blind placebo-controlled study.在体重减轻管理中使用四角金虎尾/加蓬腰果树组合:一项双盲安慰剂对照研究。
Lipids Health Dis. 2008 Mar 31;7:12. doi: 10.1186/1476-511X-7-12.
9
Application of SCAR (sequence characterized amplified region) analysis to authenticate Lycium barbarum (wolfberry) and its adulterants.应用SCAR(序列特征性扩增区域)分析鉴别枸杞及其掺假品。
Biotechnol Appl Biochem. 2008 Sep;51(Pt 1):15-21. doi: 10.1042/BA20070096.
10
Antimicrobial activity of the methanolic extract, fractions and compounds from the stem bark of Irvingia gabonensis (Ixonanthaceae).加蓬油桃木(粘木科)茎皮甲醇提取物、馏分及化合物的抗菌活性
J Ethnopharmacol. 2007 Oct 8;114(1):54-60. doi: 10.1016/j.jep.2007.07.025. Epub 2007 Aug 1.