• 文献检索
  • 文档翻译
  • 深度研究
  • 学术资讯
  • Suppr Zotero 插件Zotero 插件
  • 邀请有礼
  • 套餐&价格
  • 历史记录
应用&插件
Suppr Zotero 插件Zotero 插件浏览器插件Mac 客户端Windows 客户端微信小程序
定价
高级版会员购买积分包购买API积分包
服务
文献检索文档翻译深度研究API 文档MCP 服务
关于我们
关于 Suppr公司介绍联系我们用户协议隐私条款
关注我们

Suppr 超能文献

核心技术专利:CN118964589B侵权必究
粤ICP备2023148730 号-1Suppr @ 2026

文献检索

告别复杂PubMed语法,用中文像聊天一样搜索,搜遍4000万医学文献。AI智能推荐,让科研检索更轻松。

立即免费搜索

文件翻译

保留排版,准确专业,支持PDF/Word/PPT等文件格式,支持 12+语言互译。

免费翻译文档

深度研究

AI帮你快速写综述,25分钟生成高质量综述,智能提取关键信息,辅助科研写作。

立即免费体验

在估计常见二元结局的相对风险时,稳健泊松模型与对数二项模型对异常值的稳健性比较:一项模拟研究。

Comparison of robustness to outliers between robust poisson models and log-binomial models when estimating relative risks for common binary outcomes: a simulation study.

作者信息

Chen Wansu, Shi Jiaxiao, Qian Lei, Azen Stanley P

机构信息

Kaiser Permanente Southern California, Department of Research and Evaluation, Pasadena, CA, USA.

出版信息

BMC Med Res Methodol. 2014 Jun 26;14:82. doi: 10.1186/1471-2288-14-82.

DOI:10.1186/1471-2288-14-82
PMID:24965498
原文链接:https://pmc.ncbi.nlm.nih.gov/articles/PMC4079617/
Abstract

BACKGROUND

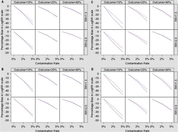
To estimate relative risks or risk ratios for common binary outcomes, the most popular model-based methods are the robust (also known as modified) Poisson and the log-binomial regression. Of the two methods, it is believed that the log-binomial regression yields more efficient estimators because it is maximum likelihood based, while the robust Poisson model may be less affected by outliers. Evidence to support the robustness of robust Poisson models in comparison with log-binomial models is very limited.

METHODS

In this study a simulation was conducted to evaluate the performance of the two methods in several scenarios where outliers existed.

RESULTS

The findings indicate that for data coming from a population where the relationship between the outcome and the covariate was in a simple form (e.g. log-linear), the two models yielded comparable biases and mean square errors. However, if the true relationship contained a higher order term, the robust Poisson models consistently outperformed the log-binomial models even when the level of contamination is low.

CONCLUSIONS

The robust Poisson models are more robust (or less sensitive) to outliers compared to the log-binomial models when estimating relative risks or risk ratios for common binary outcomes. Users should be aware of the limitations when choosing appropriate models to estimate relative risks or risk ratios.

摘要

背景

为了估计常见二元结局的相对风险或风险比,最常用的基于模型的方法是稳健(也称为修正)泊松回归和对数二项回归。在这两种方法中,人们认为对数二项回归能产生更有效的估计量,因为它基于最大似然估计,而稳健泊松模型可能受异常值的影响较小。与对数二项模型相比,支持稳健泊松模型稳健性的证据非常有限。

方法

在本研究中,进行了一项模拟,以评估这两种方法在存在异常值的几种情况下的性能。

结果

研究结果表明,对于来自结局与协变量之间关系呈简单形式(例如对数线性)总体的数据,这两种模型产生的偏差和均方误差相当。然而,如果真实关系包含高阶项,即使污染水平较低,稳健泊松模型也始终优于对数二项模型。

结论

在估计常见二元结局的相对风险或风险比时,与对数二项模型相比,稳健泊松模型对异常值更具稳健性(或敏感性更低)。在选择合适的模型来估计相对风险或风险比时,使用者应注意其局限性。

https://cdn.ncbi.nlm.nih.gov/pmc/blobs/7a63/4079617/28711fb75864/1471-2288-14-82-1.jpg
https://cdn.ncbi.nlm.nih.gov/pmc/blobs/7a63/4079617/28711fb75864/1471-2288-14-82-1.jpg
https://cdn.ncbi.nlm.nih.gov/pmc/blobs/7a63/4079617/28711fb75864/1471-2288-14-82-1.jpg

相似文献

1
Comparison of robustness to outliers between robust poisson models and log-binomial models when estimating relative risks for common binary outcomes: a simulation study.在估计常见二元结局的相对风险时,稳健泊松模型与对数二项模型对异常值的稳健性比较:一项模拟研究。
BMC Med Res Methodol. 2014 Jun 26;14:82. doi: 10.1186/1471-2288-14-82.
2
A comparison of two methods for estimating prevalence ratios.两种估计患病率比方法的比较。
BMC Med Res Methodol. 2008 Feb 28;8:9. doi: 10.1186/1471-2288-8-9.
3
Comparing performance between log-binomial and robust Poisson regression models for estimating risk ratios under model misspecification.比较模型误设下对数二项式和稳健泊松回归模型估计风险比的性能。
BMC Med Res Methodol. 2018 Jun 22;18(1):63. doi: 10.1186/s12874-018-0519-5.
4
Logistic Regression: Limitations in the Estimation of Measures of Association with Binary Health Outcomes.Logistic Regression:在估计与二元健康结果相关的关联度量方面的局限性。
Acta Med Port. 2024 Oct 1;37(10):697-705. doi: 10.20344/amp.21435.
5
An Alternative Perspective on the Robust Poisson Method for Estimating Risk or Prevalence Ratios.稳健泊松回归法估计风险或患病率比的另一种视角。
Epidemiology. 2023 Jan 1;34(1):1-7. doi: 10.1097/EDE.0000000000001544. Epub 2022 Sep 20.
6
Accurate variance estimation for prevalence ratios.患病率比的准确方差估计。
Methods Inf Med. 2007;46(5):567-71. doi: 10.1160/me0416.
7
Performance of the modified Poisson regression approach for estimating relative risks from clustered prospective data.应用修正泊松回归方法估计聚类前瞻性数据中相对风险的性能。
Am J Epidemiol. 2011 Oct 15;174(8):984-92. doi: 10.1093/aje/kwr183. Epub 2011 Aug 12.
8
Performance of models for estimating absolute risk difference in multicenter trials with binary outcome.多中心二分类结局试验中绝对风险差异估计模型的性能
BMC Med Res Methodol. 2016 Aug 30;16(1):113. doi: 10.1186/s12874-016-0217-0.
9
Estimating relative risks in multicenter studies with a small number of centers - which methods to use? A simulation study.在中心数量较少的多中心研究中估计相对风险——应使用哪些方法?一项模拟研究。
Trials. 2017 Nov 2;18(1):512. doi: 10.1186/s13063-017-2248-1.
10
Alternatives for logistic regression in cross-sectional studies: an empirical comparison of models that directly estimate the prevalence ratio.横断面研究中逻辑回归的替代方法:直接估计患病率比的模型的实证比较。
BMC Med Res Methodol. 2003 Oct 20;3:21. doi: 10.1186/1471-2288-3-21.

引用本文的文献

1
Risk factors for Overweight/Obesity among people living with HIV on antiretroviral therapy: An ambidirectional cohort study at a tertiary health facility in Zambia.接受抗逆转录病毒治疗的艾滋病毒感染者超重/肥胖的风险因素:赞比亚一家三级医疗机构的双向队列研究。
PLoS One. 2025 Sep 8;20(9):e0330777. doi: 10.1371/journal.pone.0330777. eCollection 2025.
2
Association of oil spill cleanup-related hydrocarbon exposure with hypertension and blood pressure in the Gulf Long-term Follow-up Study.海湾长期随访研究中与溢油清理相关的碳氢化合物暴露与高血压和血压的关联
Sci Total Environ. 2025 Sep 1;993:180014. doi: 10.1016/j.scitotenv.2025.180014. Epub 2025 Jul 1.
3

本文引用的文献

1
Overestimation of risk ratios by odds ratios in trials and cohort studies: alternatives to logistic regression.在试验和队列研究中,比值比对比值比的风险比高估:逻辑回归的替代方法。
CMAJ. 2012 May 15;184(8):895-9. doi: 10.1503/cmaj.101715. Epub 2011 Dec 12.
2
A revised SAS macro for maximum likelihood estimation of prevalence ratios using the COPY method.一种使用COPY方法进行患病率比值最大似然估计的修订版SAS宏程序。
Occup Environ Med. 2009 Sep;66(9):639. doi: 10.1136/oem.2008.043018.
3
Approaches for estimating prevalence ratios.估计患病率比的方法。
Symptoms of Asthma Extracted Through Natural Language Processing and Their Associations With Acute Asthma Exacerbation in Adults With Mild Asthma.
通过自然语言处理提取的哮喘症状及其与轻度哮喘成人急性哮喘加重的关联
J Allergy Clin Immunol Pract. 2025 Jul;13(7):1719-1729.e7. doi: 10.1016/j.jaip.2025.04.031. Epub 2025 Apr 26.
4
Age of first digital device use and screen media use at age 15: A cross-sectional analysis of 384,591 participants from 55 countries.首次使用数字设备的年龄及15岁时的屏幕媒体使用情况:对来自55个国家的384,591名参与者的横断面分析。
Public Health Pract (Oxf). 2025 Feb 13;9:100596. doi: 10.1016/j.puhip.2025.100596. eCollection 2025 Jun.
5
Naloxone distribution amidst shifting drug use patterns: Insights from a needs-based syringe services program.纳洛酮在不断变化的药物使用模式中的分发:基于需求的注射器服务项目的见解
Drug Alcohol Depend. 2025 Apr 1;269:112591. doi: 10.1016/j.drugalcdep.2025.112591. Epub 2025 Feb 12.
6
Gender Discrimination and Medical Student Development.性别歧视与医学生发展
medRxiv. 2025 Feb 8:2025.02.06.25321787. doi: 10.1101/2025.02.06.25321787.
7
Buprenorphine and postpartum contraception utilization among people with opioid use disorder: a multi-state analysis.丁丙诺啡与阿片类物质使用障碍患者产后避孕措施的使用:一项多州分析
Addict Sci Clin Pract. 2025 Jan 6;20(1):1. doi: 10.1186/s13722-024-00530-1.
8
The impact of small food workshops management regulations on aflatoxin B in home-made peanut oil and the liver function of high-consumption area residents: an interrupted time series study in Guangzhou, China.《小型食品作坊管理规定对自制花生油中黄曲霉毒素B及高消费地区居民肝功能的影响:中国广州的一项中断时间序列研究》
Front Public Health. 2024 Dec 20;12:1484414. doi: 10.3389/fpubh.2024.1484414. eCollection 2024.
9
Estimating relative risks and risk differences in randomised controlled trials: a systematic review of current practice.随机对照试验中相对风险和风险差异的估计:当前实践的系统评价
Trials. 2025 Jan 2;26(1):1. doi: 10.1186/s13063-024-08690-w.
10
Non-adherence to antenatal iron supplementation and its determinants among pregnant women in 35 sub-saharan African countries: a generalized linear mixed-effects modeling with robust Poisson regression analysis.撒哈拉以南非洲35个国家孕妇产前铁补充剂的不依从性及其决定因素:采用稳健泊松回归分析的广义线性混合效应模型
BMC Pregnancy Childbirth. 2024 Dec 28;24(1):872. doi: 10.1186/s12884-024-07105-7.
Occup Environ Med. 2008 Jul;65(7):481, 501-6. doi: 10.1136/oem.2007.034777.
4
A comparison of two methods for estimating prevalence ratios.两种估计患病率比方法的比较。
BMC Med Res Methodol. 2008 Feb 28;8:9. doi: 10.1186/1471-2288-8-9.
5
Estimating relative risks for common outcome using PROC NLP.使用PROC NLP估计常见结局的相对风险。
Comput Methods Programs Biomed. 2008 May;90(2):179-86. doi: 10.1016/j.cmpb.2007.12.010. Epub 2008 Mar 4.
6
Parameter estimation and goodness-of-fit in log binomial regression.对数二项回归中的参数估计与拟合优度
Biom J. 2006 Feb;48(1):5-22. doi: 10.1002/bimj.200410165.
7
Inappropriate interpretation of the odds ratio: oddly not that uncommon.对比值比的不当解读:奇怪的是,这种情况并不罕见。
Pediatrics. 2005 Dec;116(6):1612-3. doi: 10.1542/peds.2005-2269.
8
Easy SAS calculations for risk or prevalence ratios and differences.用于风险或患病率比值及差异的简易SAS计算。
Am J Epidemiol. 2005 Aug 1;162(3):199-200. doi: 10.1093/aje/kwi188. Epub 2005 Jun 29.
9
Model-based estimation of relative risks and other epidemiologic measures in studies of common outcomes and in case-control studies.在常见结局研究和病例对照研究中基于模型的相对风险及其他流行病学指标估计
Am J Epidemiol. 2004 Aug 15;160(4):301-5. doi: 10.1093/aje/kwh221.
10
A modified poisson regression approach to prospective studies with binary data.一种用于二元数据前瞻性研究的修正泊松回归方法。
Am J Epidemiol. 2004 Apr 1;159(7):702-6. doi: 10.1093/aje/kwh090.