Suppr超能文献

基于16S rRNA基因焦磷酸测序揭示的仿刺参肠道内容物和周围沉积物中的细菌群落组成

Bacterial community composition in the gut content and ambient sediment of sea cucumber Apostichopus japonicus revealed by 16S rRNA gene pyrosequencing.

作者信息

Gao Fei, Li Fenghui, Tan Jie, Yan Jingping, Sun Huiling

机构信息

Key Laboratory of Sustainable Development of Marine Fisheries, Yellow Sea Fisheries Research Institute, Chinese Academy of Fishery Sciences, Qingdao, PR China.

出版信息

PLoS One. 2014 Jun 26;9(6):e100092. doi: 10.1371/journal.pone.0100092. eCollection 2014.

Abstract

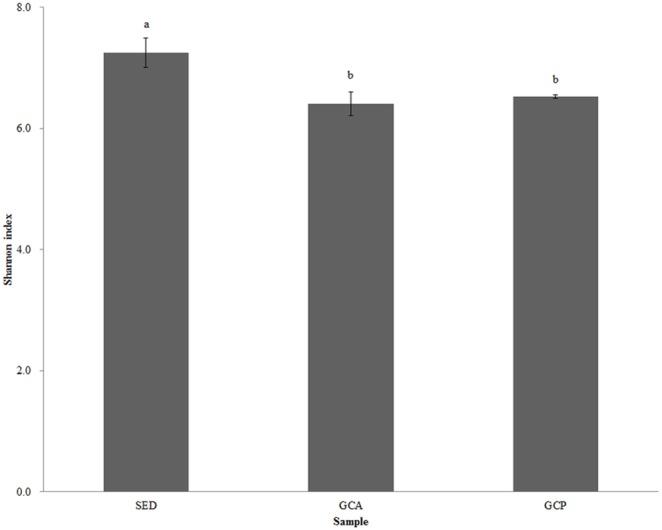
The composition of the bacterial communities in the contents of the foregut and hindgut of the sea cucumber Apostichopus japonicus and in the ambient surface sediment was surveyed by 16S rRNA gene 454-pyrosequencing. A total of 188,623 optimized reads and 15,527 operational taxonomic units (OTUs) were obtained from the ten gut contents samples and four surface sediment samples. The sequences in the sediments, foregut contents, and hindgut contents were assigned to 38.0±4.7, 31.2±6.2 and 27.8±6.5 phyla, respectively. The bacterial richness and Shannon diversity index were both higher in the ambient sediments than in the gut contents. Proteobacteria was the predominant phylum in both the gut contents and sediment samples. The predominant classes in the foregut, hindgut, and ambient sediment were Holophagae and Gammaproteobacteria, Deltaproteobacteria and Gammaproteobacteria, and Gammaproteobacteria and Deltaproteobacteria, respectively. The potential probiotics, including sequences related to Bacillus, lactic acid bacteria (Lactobacillus, Lactococcus, and Streptococcus) and Pseudomonas were detected in the gut of A. japonicus. Principle component analysis and heatmap figure showed that the foregut, hindgut, and ambient sediment respectively harbored different characteristic bacterial communities. Selective feeding of A. japonicus may be the primary source of the different bacterial communities between the foregut contents and ambient sediments.

摘要

通过16S rRNA基因454焦磷酸测序,对仿刺参前肠和后肠内容物以及周围表层沉积物中的细菌群落组成进行了调查。从10个肠道内容物样本和4个表层沉积物样本中总共获得了188,623条优化读数和15,527个可操作分类单元(OTU)。沉积物、前肠内容物和后肠内容物中的序列分别被归为38.0±4.7、31.2±6.2和27.8±6.5个门。周围沉积物中的细菌丰富度和香农多样性指数均高于肠道内容物。变形菌门是肠道内容物和沉积物样本中的主要门类。前肠、后肠和周围沉积物中的主要类群分别是全噬菌纲和γ-变形菌纲、δ-变形菌纲和γ-变形菌纲以及γ-变形菌纲和δ-变形菌纲。在仿刺参肠道中检测到了潜在的益生菌,包括与芽孢杆菌、乳酸菌(乳酸杆菌属、乳球菌属和链球菌属)以及假单胞菌相关的序列。主成分分析和热图显示,前肠、后肠和周围沉积物分别含有不同特征的细菌群落。仿刺参的选择性摄食可能是前肠内容物和周围沉积物之间不同细菌群落的主要来源。

https://cdn.ncbi.nlm.nih.gov/pmc/blobs/d8a7/4072670/ce8b14890bcd/pone.0100092.g001.jpg

文献AI研究员

20分钟写一篇综述,助力文献阅读效率提升50倍。

立即体验

用中文搜PubMed

大模型驱动的PubMed中文搜索引擎

马上搜索

文档翻译

学术文献翻译模型,支持多种主流文档格式。

立即体验