• 文献检索
  • 文档翻译
  • 深度研究
  • 学术资讯
  • Suppr Zotero 插件Zotero 插件
  • 邀请有礼
  • 套餐&价格
  • 历史记录
应用&插件
Suppr Zotero 插件Zotero 插件浏览器插件Mac 客户端Windows 客户端微信小程序
定价
高级版会员购买积分包购买API积分包
服务
文献检索文档翻译深度研究API 文档MCP 服务
关于我们
关于 Suppr公司介绍联系我们用户协议隐私条款
关注我们

Suppr 超能文献

核心技术专利:CN118964589B侵权必究
粤ICP备2023148730 号-1Suppr @ 2026

文献检索

告别复杂PubMed语法,用中文像聊天一样搜索,搜遍4000万医学文献。AI智能推荐,让科研检索更轻松。

立即免费搜索

文件翻译

保留排版,准确专业,支持PDF/Word/PPT等文件格式,支持 12+语言互译。

免费翻译文档

深度研究

AI帮你快速写综述,25分钟生成高质量综述,智能提取关键信息,辅助科研写作。

立即免费体验

流行病学和毒理学中复杂相互作用的识别:增强回归树的模拟研究

The identification of complex interactions in epidemiology and toxicology: a simulation study of boosted regression trees.

作者信息

Lampa Erik, Lind Lars, Lind P Monica, Bornefalk-Hermansson Anna

机构信息

Department of Medical Sciences, Occupational and Environmental Medicine, Uppsala University, 75185 Uppsala Sweden.

出版信息

Environ Health. 2014 Jul 4;13:57. doi: 10.1186/1476-069X-13-57.

DOI:10.1186/1476-069X-13-57
PMID:24993424
原文链接:https://pmc.ncbi.nlm.nih.gov/articles/PMC4120739/
Abstract

BACKGROUND

There is a need to evaluate complex interaction effects on human health, such as those induced by mixtures of environmental contaminants. The usual approach is to formulate an additive statistical model and check for departures using product terms between the variables of interest. In this paper, we present an approach to search for interaction effects among several variables using boosted regression trees.

METHODS

We simulate a continuous outcome from real data on 27 environmental contaminants, some of which are correlated, and test the method's ability to uncover the simulated interactions. The simulated outcome contains one four-way interaction, one non-linear effect and one interaction between a continuous variable and a binary variable. Four scenarios reflecting different strengths of association are simulated. We illustrate the method using real data.

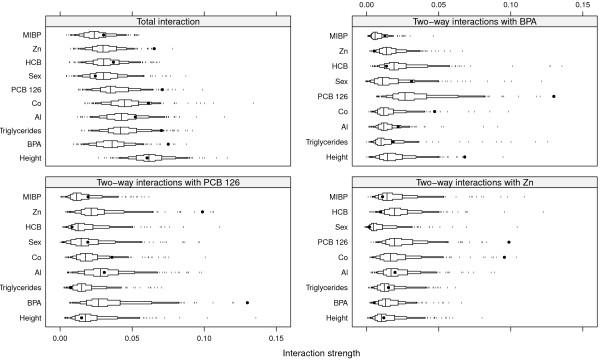
RESULTS

The method succeeded in identifying the true interactions in all scenarios except where the association was weakest. Some spurious interactions were also found, however. The method was also capable to identify interactions in the real data set.

CONCLUSIONS

We conclude that boosted regression trees can be used to uncover complex interaction effects in epidemiological studies.

摘要

背景

有必要评估对人类健康的复杂交互作用,例如由环境污染物混合物所引发的那些作用。通常的方法是构建一个加法统计模型,并使用感兴趣变量之间的乘积项来检验是否存在偏离。在本文中,我们提出一种使用提升回归树来搜索多个变量之间交互作用的方法。

方法

我们从关于27种环境污染物的真实数据模拟出一个连续结果,其中一些污染物是相关的,并测试该方法揭示模拟交互作用的能力。模拟结果包含一个四向交互作用、一个非线性效应以及一个连续变量和一个二元变量之间的交互作用。模拟了反映不同关联强度的四种情形。我们使用真实数据对该方法进行说明。

结果

该方法成功识别出了除关联最弱情形之外所有情形中的真实交互作用。不过,也发现了一些虚假的交互作用。该方法还能够识别真实数据集中的交互作用。

结论

我们得出结论,提升回归树可用于揭示流行病学研究中的复杂交互作用。

https://cdn.ncbi.nlm.nih.gov/pmc/blobs/70dd/4120739/c47688ec917a/1476-069X-13-57-13.jpg
https://cdn.ncbi.nlm.nih.gov/pmc/blobs/70dd/4120739/1e5502bcd2a2/1476-069X-13-57-1.jpg
https://cdn.ncbi.nlm.nih.gov/pmc/blobs/70dd/4120739/5e1cdf3edb41/1476-069X-13-57-2.jpg
https://cdn.ncbi.nlm.nih.gov/pmc/blobs/70dd/4120739/09ebb0c5653b/1476-069X-13-57-3.jpg
https://cdn.ncbi.nlm.nih.gov/pmc/blobs/70dd/4120739/2d2f7667187b/1476-069X-13-57-4.jpg
https://cdn.ncbi.nlm.nih.gov/pmc/blobs/70dd/4120739/5d01f0a1439a/1476-069X-13-57-5.jpg
https://cdn.ncbi.nlm.nih.gov/pmc/blobs/70dd/4120739/464108651dd4/1476-069X-13-57-6.jpg
https://cdn.ncbi.nlm.nih.gov/pmc/blobs/70dd/4120739/d627ae64d82e/1476-069X-13-57-7.jpg
https://cdn.ncbi.nlm.nih.gov/pmc/blobs/70dd/4120739/6cccf9eec617/1476-069X-13-57-8.jpg
https://cdn.ncbi.nlm.nih.gov/pmc/blobs/70dd/4120739/e475a083b7ae/1476-069X-13-57-9.jpg
https://cdn.ncbi.nlm.nih.gov/pmc/blobs/70dd/4120739/8c4a1aec2456/1476-069X-13-57-10.jpg
https://cdn.ncbi.nlm.nih.gov/pmc/blobs/70dd/4120739/3ea30b891266/1476-069X-13-57-11.jpg
https://cdn.ncbi.nlm.nih.gov/pmc/blobs/70dd/4120739/91b8a95eab86/1476-069X-13-57-12.jpg
https://cdn.ncbi.nlm.nih.gov/pmc/blobs/70dd/4120739/c47688ec917a/1476-069X-13-57-13.jpg
https://cdn.ncbi.nlm.nih.gov/pmc/blobs/70dd/4120739/1e5502bcd2a2/1476-069X-13-57-1.jpg
https://cdn.ncbi.nlm.nih.gov/pmc/blobs/70dd/4120739/5e1cdf3edb41/1476-069X-13-57-2.jpg
https://cdn.ncbi.nlm.nih.gov/pmc/blobs/70dd/4120739/09ebb0c5653b/1476-069X-13-57-3.jpg
https://cdn.ncbi.nlm.nih.gov/pmc/blobs/70dd/4120739/2d2f7667187b/1476-069X-13-57-4.jpg
https://cdn.ncbi.nlm.nih.gov/pmc/blobs/70dd/4120739/5d01f0a1439a/1476-069X-13-57-5.jpg
https://cdn.ncbi.nlm.nih.gov/pmc/blobs/70dd/4120739/464108651dd4/1476-069X-13-57-6.jpg
https://cdn.ncbi.nlm.nih.gov/pmc/blobs/70dd/4120739/d627ae64d82e/1476-069X-13-57-7.jpg
https://cdn.ncbi.nlm.nih.gov/pmc/blobs/70dd/4120739/6cccf9eec617/1476-069X-13-57-8.jpg
https://cdn.ncbi.nlm.nih.gov/pmc/blobs/70dd/4120739/e475a083b7ae/1476-069X-13-57-9.jpg
https://cdn.ncbi.nlm.nih.gov/pmc/blobs/70dd/4120739/8c4a1aec2456/1476-069X-13-57-10.jpg
https://cdn.ncbi.nlm.nih.gov/pmc/blobs/70dd/4120739/3ea30b891266/1476-069X-13-57-11.jpg
https://cdn.ncbi.nlm.nih.gov/pmc/blobs/70dd/4120739/91b8a95eab86/1476-069X-13-57-12.jpg
https://cdn.ncbi.nlm.nih.gov/pmc/blobs/70dd/4120739/c47688ec917a/1476-069X-13-57-13.jpg

相似文献

1
The identification of complex interactions in epidemiology and toxicology: a simulation study of boosted regression trees.流行病学和毒理学中复杂相互作用的识别:增强回归树的模拟研究
Environ Health. 2014 Jul 4;13:57. doi: 10.1186/1476-069X-13-57.
2
Part 1. Statistical Learning Methods for the Effects of Multiple Air Pollution Constituents.第1部分. 多种空气污染成分影响的统计学习方法
Res Rep Health Eff Inst. 2015 Jun(183 Pt 1-2):5-50.
3
A systematic comparison of statistical methods to detect interactions in exposome-health associations.用于检测暴露组-健康关联中相互作用的统计方法的系统比较。
Environ Health. 2017 Jul 14;16(1):74. doi: 10.1186/s12940-017-0277-6.
4
Two-step approach for assessing the health effects of environmental chemical mixtures: application to simulated datasets and real data from the Navajo Birth Cohort Study.两步法评估环境化学混合物的健康效应:在模拟数据集和纳瓦霍出生队列研究的真实数据中的应用。
Environ Health. 2019 May 9;18(1):46. doi: 10.1186/s12940-019-0482-6.
5
Statistical software for analyzing the health effects of multiple concurrent exposures via Bayesian kernel machine regression.贝叶斯核机器回归分析多种并发暴露对健康影响的统计软件。
Environ Health. 2018 Aug 20;17(1):67. doi: 10.1186/s12940-018-0413-y.
6
A working guide to boosted regression trees.提升回归树实用指南。
J Anim Ecol. 2008 Jul;77(4):802-13. doi: 10.1111/j.1365-2656.2008.01390.x. Epub 2008 Apr 8.
7
Identification of an additive interaction using parameter regularization and model selection in epidemiology.利用参数正则化和模型选择在流行病学中识别附加交互作用。
PeerJ. 2024 Oct 14;12:e18304. doi: 10.7717/peerj.18304. eCollection 2024.
8
Subgroup analyses in randomised controlled trials: quantifying the risks of false-positives and false-negatives.随机对照试验中的亚组分析:量化假阳性和假阴性风险
Health Technol Assess. 2001;5(33):1-56. doi: 10.3310/hta5330.
9
Performance of variable and function selection methods for estimating the nonlinear health effects of correlated chemical mixtures: A simulation study.用于估计相关化学混合物非线性健康影响的变量和函数选择方法的性能:一项模拟研究。
Stat Med. 2020 Nov 30;39(27):3947-3967. doi: 10.1002/sim.8701. Epub 2020 Sep 17.
10
Simulation system SONCHES-based toxicokinetic model and data bank as a tool in biological monitoring and risk assessment.基于SONCHES的模拟系统、毒代动力学模型和数据库作为生物监测和风险评估的工具。
Sci Total Environ. 1991 Jan 1;101(1-2):101-9. doi: 10.1016/0048-9697(91)90108-q.

引用本文的文献

1
Iterative random forest-based identification of a novel population with high risk of complications post non-cardiac surgery.基于迭代随机森林的方法识别非心脏手术后并发症风险较高的新型人群。
Sci Rep. 2024 Nov 5;14(1):26741. doi: 10.1038/s41598-024-78482-4.
2
Prenatal metal exposures and childhood gut microbial signatures are associated with depression score in late childhood.产前金属暴露和儿童期肠道微生物特征与儿童晚期的抑郁评分有关。
Sci Total Environ. 2024 Mar 15;916:170361. doi: 10.1016/j.scitotenv.2024.170361. Epub 2024 Jan 24.
3
Prenatal Lead Exposure Is Associated with Reduced Abundance of Beneficial Gut Microbial Cliques in Late Childhood: An Investigation Using Microbial Co-Occurrence Analysis (MiCA).

本文引用的文献

1
Learning interactions via hierarchical group-lasso regularization.通过分层组套索正则化学习交互作用。
J Comput Graph Stat. 2015;24(3):627-654. doi: 10.1080/10618600.2014.938812. Epub 2015 Sep 16.
2
A LASSO FOR HIERARCHICAL INTERACTIONS.用于分层交互的套索法
Ann Stat. 2013 Jun;41(3):1111-1141. doi: 10.1214/13-AOS1096.
3
Binary classification of a large collection of environmental chemicals from estrogen receptor assays by quantitative structure-activity relationship and machine learning methods.通过定量构效关系和机器学习方法对来自雌激素受体测定的大量环境化学物质进行二元分类。
产前铅暴露与儿童后期有益肠道微生物共生体丰度降低有关:使用微生物共现分析(MiCA)的研究。
Environ Sci Technol. 2023 Nov 7;57(44):16800-16810. doi: 10.1021/acs.est.3c04346. Epub 2023 Oct 25.
4
Nutritional Modulation of Associations between Prenatal Exposure to Persistent Organic Pollutants and Childhood Obesity: A Prospective Cohort Study.孕期暴露于持久性有机污染物与儿童肥胖的关联的营养调控:一项前瞻性队列研究。
Environ Health Perspect. 2023 Mar;131(3):37011. doi: 10.1289/EHP11258. Epub 2023 Mar 16.
5
rFSA: An R Package for Finding Best Subsets and Interactions.rFSA:一个用于寻找最佳子集和相互作用的R软件包。
R J. 2018 Dec;10(2):295-308. doi: 10.32614/rj-2018-059. Epub 2018 Dec 8.
6
Prediction of Maize Phenotypic Traits With Genomic and Environmental Predictors Using Gradient Boosting Frameworks.使用梯度提升框架,通过基因组和环境预测因子预测玉米表型性状
Front Plant Sci. 2021 Nov 11;12:699589. doi: 10.3389/fpls.2021.699589. eCollection 2021.
7
Work Task Association with Lead Urine and Blood Concentrations in Informal Electronic Waste Recyclers in Thailand and Chile.工作任务与泰国和智利非正式电子废物回收者尿铅和血铅浓度的关系。
Int J Environ Res Public Health. 2021 Oct 9;18(20):10580. doi: 10.3390/ijerph182010580.
8
IDENTIFYING MAIN EFFECTS AND INTERACTIONS AMONG EXPOSURES USING GAUSSIAN PROCESSES.使用高斯过程识别暴露因素之间的主要效应和相互作用。
Ann Appl Stat. 2020 Dec;14(4):1743-1758. doi: 10.1214/20-aoas1363. Epub 2020 Dec 19.
9
Identifying environmental exposure profiles associated with timing of menarche: A two-step machine learning approach to examine multiple environmental exposures.确定与初潮时间相关的环境暴露特征:一种两步机器学习方法来研究多种环境暴露。
Environ Res. 2021 Apr;195:110524. doi: 10.1016/j.envres.2020.110524. Epub 2020 Nov 26.
10
Joint and interactive effects between health comorbidities and environmental exposures in predicting amyotrophic lateral sclerosis.健康共病与环境暴露在预测肌萎缩侧索硬化症中的联合和交互作用。
Int J Hyg Environ Health. 2021 Jan;231:113655. doi: 10.1016/j.ijheh.2020.113655. Epub 2020 Oct 30.
J Chem Inf Model. 2013 Dec 23;53(12):3244-61. doi: 10.1021/ci400527b. Epub 2013 Dec 11.
4
Individual and combined effects of mycotoxins from typical indoor moulds.典型室内霉菌产生的真菌毒素的个体和联合效应。
Toxicol In Vitro. 2013 Sep;27(6):1970-8. doi: 10.1016/j.tiv.2013.06.019. Epub 2013 Jul 10.
5
Combined toxicity of pesticide mixtures on green algae and photobacteria.农药混合物对绿藻和发光菌的联合毒性。
Ecotoxicol Environ Saf. 2013 Sep;95:98-103. doi: 10.1016/j.ecoenv.2013.05.018. Epub 2013 Jun 28.
6
Predicting acute aquatic toxicity of structurally diverse chemicals in fish using artificial intelligence approaches.利用人工智能方法预测结构多样的化学物质对鱼类的急性水生毒性。
Ecotoxicol Environ Saf. 2013 Sep;95:221-33. doi: 10.1016/j.ecoenv.2013.05.017. Epub 2013 Jun 12.
7
Leptin and endothelial function in the elderly: the Prospective Investigation of the Vasculature in Uppsala Seniors (PIVUS) study.瘦素与老年人的血管内皮功能:乌普萨拉老年人血管前瞻性研究(PIVUS)。
Atherosclerosis. 2013 Jun;228(2):485-90. doi: 10.1016/j.atherosclerosis.2013.03.018. Epub 2013 Mar 30.
8
Testing for departures from additivity in mixtures of perfluoroalkyl acids (PFAAs).检测全氟烷基酸(PFAAs)混合物中是否存在加和性偏离。
Toxicology. 2013 Apr 5;306:169-75. doi: 10.1016/j.tox.2013.02.016. Epub 2013 Mar 5.
9
An environmental wide association study (EWAS) approach to the metabolic syndrome.代谢综合征的环境全基因组关联研究方法。
Environ Int. 2013 May;55:1-8. doi: 10.1016/j.envint.2013.01.017. Epub 2013 Mar 1.
10
Support vector machine: classifying and predicting mutagenicity of complex mixtures based on pollution profiles.支持向量机:基于污染特征对复杂混合物的致突变性进行分类和预测。
Toxicology. 2013 Nov 16;313(2-3):151-9. doi: 10.1016/j.tox.2013.01.016. Epub 2013 Feb 8.