• 文献检索
  • 文档翻译
  • 深度研究
  • 学术资讯
  • Suppr Zotero 插件Zotero 插件
  • 邀请有礼
  • 套餐&价格
  • 历史记录
应用&插件
Suppr Zotero 插件Zotero 插件浏览器插件Mac 客户端Windows 客户端微信小程序
定价
高级版会员购买积分包购买API积分包
服务
文献检索文档翻译深度研究API 文档MCP 服务
关于我们
关于 Suppr公司介绍联系我们用户协议隐私条款
关注我们

Suppr 超能文献

核心技术专利:CN118964589B侵权必究
粤ICP备2023148730 号-1Suppr @ 2026

文献检索

告别复杂PubMed语法,用中文像聊天一样搜索,搜遍4000万医学文献。AI智能推荐,让科研检索更轻松。

立即免费搜索

文件翻译

保留排版,准确专业,支持PDF/Word/PPT等文件格式,支持 12+语言互译。

免费翻译文档

深度研究

AI帮你快速写综述,25分钟生成高质量综述,智能提取关键信息,辅助科研写作。

立即免费体验

母乳喂养婴儿血液循环中存在人乳寡糖的直接证据。

Direct evidence for the presence of human milk oligosaccharides in the circulation of breastfed infants.

作者信息

Goehring Karen C, Kennedy Adam D, Prieto Pedro A, Buck Rachael H

机构信息

Department of Global Discovery Research, Abbott Nutrition, Columbus, Ohio, United States of America.

Metabolon, Inc., Durham, North Carolina, United States of America.

出版信息

PLoS One. 2014 Jul 7;9(7):e101692. doi: 10.1371/journal.pone.0101692. eCollection 2014.

DOI:10.1371/journal.pone.0101692
PMID:24999728
原文链接:https://pmc.ncbi.nlm.nih.gov/articles/PMC4085000/
Abstract

BACKGROUND

It has been hypothesized that human milk oligosaccharides (HMOs) confer systemic health benefits to breastfed infants; however, plausible mechanisms for some effects, such as systemic immunomodulation, require HMOs to access the bloodstream of the developing infant. While small concentrations of HMOs have been detected in the urine of breastfed infants there are no published studies of these oligosaccharides accessing the plasma compartment of breastfed infants. Here we determined the relative fractions of several ingested HMOs in infant urine and plasma. Plasma from formula-fed infants was used as a control.

METHODS

Using gas chromatography/mass spectrometry (GC/MS), liquid chromatography/mass spectrometry/tandem mass spectrometry (LC/MS/MS), and high performance liquid chromatography (HPLC), we analyzed the urine and plasma from 17 healthy formula-fed infants and 16 healthy breast-fed infants (and the milk from their mothers).

RESULTS

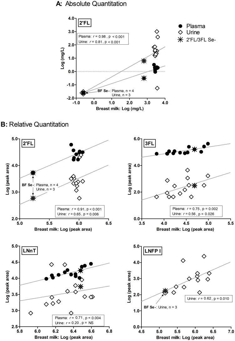
Multiple HMOs were detected in the urine and plasma of breastfed infants, but not in formula-fed infants. Levels of 2'-fucosyllactose (2'FL), 3FL and lacto-N-neotetraose (LNnT) in both plasma (r = 0.98, p<0.001; r = 0.75, p = 0.002; r = 0.71, p = 0.004) and urine (r = 0.81, p<0.001; r = 0.56, p = 0.026; NS) correlated significantly with concentrations in the corresponding breast milk. The relative fractions of HMOs were low, 0.1% of milk levels for plasma and 4% of milk levels for urine. Within the breastfed cohort, there were significant differences between secretor and nonsecretor groups in levels of several fucosylated HMOs.

CONCLUSION

At least some ingested HMOs are absorbed intact into the circulation and excreted in the urine and their concentrations in these fluids correlate with levels of the corresponding mother's milk. While relative fractions of absorbed HMOs were low, these levels have been shown to have biological effects in vitro, and could explain some of the postulated benefits of human milk.

摘要

背景

据推测,人乳寡糖(HMOs)能为母乳喂养的婴儿带来全身性健康益处;然而,某些效应(如全身免疫调节)的合理机制需要HMOs进入发育中婴儿的血液循环。虽然在母乳喂养婴儿的尿液中检测到了少量HMOs,但尚未有关于这些寡糖进入母乳喂养婴儿血浆成分的公开研究。在此,我们测定了几种摄入的HMOs在婴儿尿液和血浆中的相对比例。以配方奶喂养婴儿的血浆作为对照。

方法

我们使用气相色谱/质谱联用仪(GC/MS)、液相色谱/质谱联用仪/串联质谱仪(LC/MS/MS)和高效液相色谱仪(HPLC),分析了17名健康配方奶喂养婴儿和16名健康母乳喂养婴儿(以及他们母亲的乳汁)的尿液和血浆。

结果

在母乳喂养婴儿的尿液和血浆中检测到多种HMOs,但在配方奶喂养婴儿中未检测到。血浆中2'-岩藻糖基乳糖(2'FL)、3FL和乳糖-N-新四糖(LNnT)的水平(r = 0.98,p<0.001;r = 0.75,p = 0.002;r = 0.71,p = 0.004)以及尿液中这些物质的水平(r = 0.81,p<0.001;r = 0.56,p = 0.026;无显著性差异)与相应母乳中的浓度显著相关。HMOs的相对比例较低,血浆中为母乳水平的0.1%,尿液中为母乳水平的4%。在母乳喂养队列中,分泌型和非分泌型组之间几种岩藻糖基化HMOs的水平存在显著差异。

结论

至少一些摄入的HMOs能完整地被吸收进入循环系统并通过尿液排出,且它们在这些体液中的浓度与相应母乳中的水平相关。虽然吸收的HMOs相对比例较低,但这些水平已被证明在体外具有生物学效应,并且可以解释人乳的一些假定益处。

https://cdn.ncbi.nlm.nih.gov/pmc/blobs/3d96/4085000/539b7da45ad4/pone.0101692.g004.jpg
https://cdn.ncbi.nlm.nih.gov/pmc/blobs/3d96/4085000/79813ee0b840/pone.0101692.g001.jpg
https://cdn.ncbi.nlm.nih.gov/pmc/blobs/3d96/4085000/9ad92ca661f1/pone.0101692.g002.jpg
https://cdn.ncbi.nlm.nih.gov/pmc/blobs/3d96/4085000/62f4af64a24e/pone.0101692.g003.jpg
https://cdn.ncbi.nlm.nih.gov/pmc/blobs/3d96/4085000/539b7da45ad4/pone.0101692.g004.jpg
https://cdn.ncbi.nlm.nih.gov/pmc/blobs/3d96/4085000/79813ee0b840/pone.0101692.g001.jpg
https://cdn.ncbi.nlm.nih.gov/pmc/blobs/3d96/4085000/9ad92ca661f1/pone.0101692.g002.jpg
https://cdn.ncbi.nlm.nih.gov/pmc/blobs/3d96/4085000/62f4af64a24e/pone.0101692.g003.jpg
https://cdn.ncbi.nlm.nih.gov/pmc/blobs/3d96/4085000/539b7da45ad4/pone.0101692.g004.jpg

相似文献

1
Direct evidence for the presence of human milk oligosaccharides in the circulation of breastfed infants.母乳喂养婴儿血液循环中存在人乳寡糖的直接证据。
PLoS One. 2014 Jul 7;9(7):e101692. doi: 10.1371/journal.pone.0101692. eCollection 2014.
2
[Levels of human milk oligosaccharides in breast milk of mothers delivering preterm infants of different gestational ages and their effects on early growth and development].[不同孕周早产母亲母乳中低聚糖水平及其对早期生长发育的影响]
Zhonghua Yu Fang Yi Xue Za Zhi. 2021 Sep 6;55(9):1067-1076. doi: 10.3760/cma.j.cn112150-20210513-00468.
3
Longitudinal change of selected human milk oligosaccharides and association to infants' growth, an observatory, single center, longitudinal cohort study.特定人乳寡糖的纵向变化及其与婴儿生长的关联:一项观察性、单中心纵向队列研究
PLoS One. 2017 Feb 9;12(2):e0171814. doi: 10.1371/journal.pone.0171814. eCollection 2017.
4
Linking Human Milk Oligosaccharides, Infant Fecal Community Types, and Later Risk To Require Antibiotics.将人乳寡糖、婴儿粪便群落类型与日后使用抗生素的风险联系起来。
mBio. 2020 Mar 17;11(2):e03196-19. doi: 10.1128/mBio.03196-19.
5
Major human milk oligosaccharides are absorbed into the systemic circulation after oral administration in rats.主要的人乳寡糖在大鼠口服给药后被吸收进入体循环。
Br J Nutr. 2017 Jan;117(2):237-247. doi: 10.1017/S0007114516004554. Epub 2017 Feb 9.
6
Human Milk Oligosaccharides Are Associated with Lactation Stage and Lewis Phenotype in a Chinese Population.人乳寡糖与中国人群的泌乳阶段和 Lewis 表型相关。
Nutrients. 2023 Mar 15;15(6):1408. doi: 10.3390/nu15061408.
7
Maternal Fucosyltransferase 2 Status Associates with the Profiles of Human Milk Oligosaccharides and the Fecal Microbiota Composition of Breastfed Infants.母亲岩藻糖基转移酶 2 状态与人乳寡糖的特征及母乳喂养婴儿粪便微生物组成相关。
J Agric Food Chem. 2021 Mar 17;69(10):3032-3043. doi: 10.1021/acs.jafc.0c04575. Epub 2021 Mar 6.
8
Real-world study in infants fed with an infant formula with two human milk oligosaccharides.对喂养含两种人乳寡糖的婴儿配方奶粉的婴儿进行的真实世界研究。
Nutr Hosp. 2020 Aug 27;37(4):698-706. doi: 10.20960/nh.03084.
9
Human milk oligosaccharides in breast milk and 2-year outcome in preterm infants: An exploratory analysis.母乳低聚糖对早产儿 2 年结局的影响:一项探索性分析。
Clin Nutr. 2022 Sep;41(9):1896-1905. doi: 10.1016/j.clnu.2022.07.024. Epub 2022 Jul 21.
10
Human milk oligosaccharide 2'-fucosyllactose links feedings at 1 month to cognitive development at 24 months in infants of normal and overweight mothers.1 月龄时人乳寡糖 2'-岩藻糖基乳糖的喂养与正常和超重母亲的婴儿 24 月龄时的认知发育相关。
PLoS One. 2020 Feb 12;15(2):e0228323. doi: 10.1371/journal.pone.0228323. eCollection 2020.

引用本文的文献

1
Clinical evidence and mechanistic pathways of human milk oligosaccharide supplementation for health benefits: an updated review.人乳寡糖补充剂对健康有益的临床证据和作用机制途径:最新综述
Front Nutr. 2025 Jul 7;12:1599678. doi: 10.3389/fnut.2025.1599678. eCollection 2025.
2
The potential immunomodulatory role of human milk oligosaccharides in prevention of viral infections and development of asthma in early life.人乳寡糖在预防病毒感染及早期生活中哮喘发展方面的潜在免疫调节作用。
Front Immunol. 2025 Jun 25;16:1572787. doi: 10.3389/fimmu.2025.1572787. eCollection 2025.
3
Secretor and non-secretor human milk oligosaccharides differentially modulate immune response in the presence of cow's milk allergen β-lactoglobulin in an sensitization model.

本文引用的文献

1
13C-labeled oligosaccharides in breastfed infants' urine: individual-, structure- and time-dependent differences in the excretion.母乳喂养婴儿尿液中 13C 标记的寡糖:排泄的个体、结构和时间依赖性差异。
Glycobiology. 2014 Feb;24(2):185-94. doi: 10.1093/glycob/cwt099. Epub 2013 Nov 18.
2
Immunomodulation of fucosyl-lactose and lacto-N-fucopentaose on mononuclear cells from multiple sclerosis and healthy subjects.岩藻糖基乳糖和乳糖-N-岩藻五糖对多发性硬化症患者及健康受试者单核细胞的免疫调节作用
Int J Biomed Sci. 2006 Jun;2(2):114-20.
3
A quantitative and comprehensive method to analyze human milk oligosaccharide structures in the urine and feces of infants.
在致敏模型中,分泌型和非分泌型人乳寡糖在存在牛奶过敏原β-乳球蛋白的情况下对免疫反应有不同的调节作用。
Front Immunol. 2025 May 9;16:1575656. doi: 10.3389/fimmu.2025.1575656. eCollection 2025.
4
HMOS 2'FL and 3FL prevent house dust mite induced proinflammatory cytokine release and decrease specific IgE production in a murine allergic asthma model.在小鼠过敏性哮喘模型中,人乳寡糖2'-岩藻糖基化和3-岩藻糖基化修饰可预防屋尘螨诱导的促炎细胞因子释放,并降低特异性IgE的产生。
Front Nutr. 2025 Feb 19;12:1491430. doi: 10.3389/fnut.2025.1491430. eCollection 2025.
5
Interactions of human milk oligosaccharides with the immune system.人乳寡糖与免疫系统的相互作用。
Front Immunol. 2025 Jan 14;15:1523829. doi: 10.3389/fimmu.2024.1523829. eCollection 2024.
6
Tailored Combinations of Human Milk Oligosaccharides Modulate the Immune Response in an In Vitro Model of Intestinal Inflammation.人乳寡糖的定制组合在肠道炎症体外模型中调节免疫反应。
Biomolecules. 2024 Nov 21;14(12):1481. doi: 10.3390/biom14121481.
7
Interactions between the human milk oligosaccharide 2'-fucosyllactose and subspecies in influencing systemic immune development and function in piglets.人乳寡糖2'-岩藻糖基乳糖与仔猪亚种之间的相互作用对仔猪全身免疫发育和功能的影响。
Front Nutr. 2024 Oct 25;11:1444594. doi: 10.3389/fnut.2024.1444594. eCollection 2024.
8
The human milk oligosaccharide 3'sialyllactose reduces low-grade inflammation and atherosclerosis development in mice.人乳寡糖 3-唾液酸乳糖可降低小鼠的低度炎症和动脉粥样硬化发展。
JCI Insight. 2024 Nov 8;9(21):e181329. doi: 10.1172/jci.insight.181329.
9
Determining the metabolic fate of human milk oligosaccharides: it may just be more complex than you think?确定人乳寡糖的代谢归宿:它可能比你想象的更复杂?
Gut Microbiome (Camb). 2022 Sep 7;3:e9. doi: 10.1017/gmb.2022.8. eCollection 2022.
10
Detailed Analysis of Prebiotic Fructo- and Galacto-Oligosaccharides in the Human Small Intestine.详细分析人小肠中的益生元果寡糖和半乳糖寡糖。
J Agric Food Chem. 2024 Sep 25;72(38):21152-21165. doi: 10.1021/acs.jafc.4c03881. Epub 2024 Sep 16.
一种定量且全面的方法,用于分析婴儿尿液和粪便中的人乳寡糖结构。
Anal Bioanal Chem. 2013 May;405(12):4089-105. doi: 10.1007/s00216-013-6817-1. Epub 2013 Mar 7.
4
Comprehensive profiles of human milk oligosaccharides yield highly sensitive and specific markers for determining secretor status in lactating mothers.全面的人乳寡糖特征可提供高度敏感和特异的标志物,用于确定哺乳期母亲的分泌状态。
J Proteome Res. 2012 Dec 7;11(12):6124-33. doi: 10.1021/pr300769g. Epub 2012 Nov 19.
5
Biological analysis of the microbial metabolism of hetero-oligosaccharides in application to glycotechnology.杂寡糖微生物代谢在糖技术中的生物学分析。
Biosci Biotechnol Biochem. 2012;76(10):1815-27. doi: 10.1271/bbb.120401. Epub 2012 Oct 7.
6
The principal fucosylated oligosaccharides of human milk exhibit prebiotic properties on cultured infant microbiota.人乳中的主要岩藻糖基化低聚糖对培养的婴儿肠道微生物群具有益生元特性。
Glycobiology. 2013 Feb;23(2):169-77. doi: 10.1093/glycob/cws138. Epub 2012 Oct 1.
7
Lacto-N-tetraose, fucosylation, and secretor status are highly variable in human milk oligosaccharides from women delivering preterm.人乳寡糖中的乳-N-四糖、岩藻糖基化和分泌状态在早产妇女的人乳寡糖中高度可变。
J Proteome Res. 2012 Sep 7;11(9):4662-72. doi: 10.1021/pr3004979. Epub 2012 Aug 28.
8
Profiles of human milk oligosaccharides and production of some human milk oligosaccharides in transgenic animals.人乳低聚糖的特性及在转基因动物中产生的一些人乳低聚糖。
Adv Nutr. 2012 May 1;3(3):456S-64S. doi: 10.3945/an.111.001529.
9
Glycobiology of immune responses.免疫应答中的糖生物学。
Ann N Y Acad Sci. 2012 Apr;1253:1-15. doi: 10.1111/j.1749-6632.2012.06492.x.
10
Human milk oligosaccharides: every baby needs a sugar mama.人乳寡糖:每个宝宝都需要一个糖妈妈。
Glycobiology. 2012 Sep;22(9):1147-62. doi: 10.1093/glycob/cws074. Epub 2012 Apr 18.