Suppr超能文献

具有抗体外砷毒性淋巴保护活性的灰毛马缨丹抗氧化植物提取物的研制。

Development of an Antioxidant Phytoextract of Lantana grisebachii with Lymphoprotective Activity against In Vitro Arsenic Toxicity.

作者信息

Soria Elio A, Quiroga Patricia L, Albrecht Claudia, Ramos Elizagaray Sabina I, Cantero Juan J, Bongiovanni Guillermina A

机构信息

Facultad de Ciencias Médicas, Universidad Nacional de Córdoba, INICSA-CONICET/UNC, Enrique Barros S/N, 5014 Córdoba, Argentina.

Consejo Interuniversitario Nacional, Pacheco de Melo 2084, 1126 Ciudad Autónoma de Buenos Aires, Argentina.

出版信息

Adv Pharmacol Sci. 2014;2014:416761. doi: 10.1155/2014/416761. Epub 2014 Jun 5.

Abstract

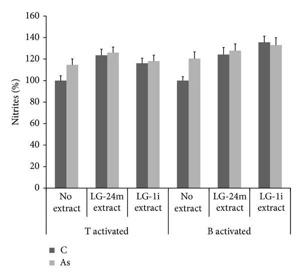
Phytochemicals have been presumed to possess prophylactic and curative properties in several pathologies, such as arsenic- (As-) induced immunosuppression. Our aim was to discover a lymphoprotective extract from Lantana grisebachii Stuck. (Verbenaceae) (LG). We assessed its bioactivity and chemical composition using cell-based assays. Fractions produced from a hexane extract acutely induced nitrite formation in T-activated cell cultures (P < 0.0001). Water extraction released a fraction lacking nitrite inducing activity in both lymphocyte types. Aqueous LG was found to be safe in proliferated and proliferating cells. The infusion-derived extract presented better antioxidant capacity in proportion to phenolic amount in lymphocytes (infusive LG-1i at 100  μ g/mL), which protected them against in vitro As-induced lymphotoxicity (P < 0.0001). This infusive LG phytoextract contained 10.23 ± 0.43 mg/g of phenolics, with 58.46% being flavonoids. Among the phenolics, the only predominant compound was 0.723 mg of chlorogenic acid per gram of dry plant, in addition to 10 unknown minor compounds. A fatty acid profile was assessed. It contained one-third of saturated fatty acids, one-third of ω 9, followed by ω 6 (24%) and ω 3 (4%), and scarce ω 7. Summing up, L. grisebachii was a source of bioactive and lymphoprotective compounds, which could counteract As-toxicity. This supports its phytomedical use and research in order to reduce As-related dysfunctions.

摘要

植物化学物质被认为在多种病症中具有预防和治疗特性,比如砷(As)诱导的免疫抑制。我们的目标是从灰团花(马鞭草科)(LG)中发现一种具有淋巴保护作用的提取物。我们使用基于细胞的分析方法评估了其生物活性和化学成分。己烷提取物产生的馏分在T激活细胞培养物中急性诱导亚硝酸盐形成(P < 0.0001)。水提取释放出一种在两种淋巴细胞类型中均缺乏亚硝酸盐诱导活性的馏分。发现LG水提取物对增殖细胞和正在增殖的细胞是安全的。输液衍生提取物在淋巴细胞中与酚类物质含量成比例地呈现出更好的抗氧化能力(100 μg/mL的输液LG-1i),这保护它们免受体外As诱导的淋巴毒性(P < 0.0001)。这种输液LG植物提取物含有10.23±0.43 mg/g的酚类物质,其中58.46%为黄酮类化合物。在酚类物质中,每克干植物中唯一主要的化合物是0.723 mg绿原酸,此外还有10种未知的次要化合物。评估了脂肪酸谱。它含有三分之一的饱和脂肪酸,三分之一的ω9,其次是ω6(约24%)和ω3(约4%),以及少量的ω7。总之,灰团花是生物活性和淋巴保护化合物的来源,其可以抵消As毒性。这支持了其在植物医学方面的应用和研究,以减少与As相关的功能障碍。

https://cdn.ncbi.nlm.nih.gov/pmc/blobs/7832/4070537/bb139dd28d9d/APS2014-416761.001.jpg

文献AI研究员

20分钟写一篇综述,助力文献阅读效率提升50倍。

立即体验

用中文搜PubMed

大模型驱动的PubMed中文搜索引擎

马上搜索

文档翻译

学术文献翻译模型,支持多种主流文档格式。

立即体验