Troedhan Angelo, Schlichting Izabela, Kurrek Andreas, Wainwright Marcel
Head of Maxillofacial Surgery Dep., Center for Facial Esthetics Vienna, Brauhausgasse 12, 1050 Vienna, Austria.
Head of Oral Surgery &Implantology Dep., Center for Facial Esthetics Vienna, Brauhausgasse 12, 1050 Vienna, Austria.
Sci Rep. 2014 Jul 30;4:5877. doi: 10.1038/srep05877.
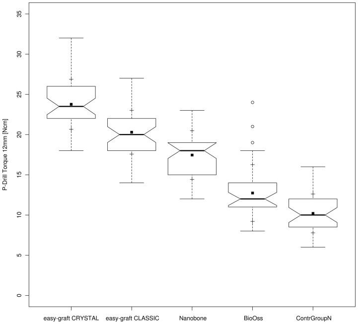
Implant-Insertion-Torque-Value (ITV) proved to be a significant clinical parameter to predict long term implant success-rates and to decide upon immediate loading. The study evaluated ITVs, when four different and commonly used biomaterials were used in sinuslift-procedures compared to natural subantral bone in two-stage-implant-procedures. The tHUCSL-INTRALIFT-method was chosen for sinuslifting in 155 sinuslift-sites for its minimal invasive transcrestal approach and scalable augmentation volume. Four different biomaterials were inserted randomly (easy-graft CRYSTAL n = 38, easy-graft CLASSIC n = 41, NanoBone n = 42, BioOss n = 34), 2 ccm in each case. After a mean healing period of 8,92 months uniform tapered screw Q2-implants were inserted and Drill-Torque-Values (DTV) and ITV were recorded and compared to a group of 36 subantral sites without need of sinuslifting. DTV/ITV were processed for statistics by ANOVA-tests. Mean DTV/ITV obtained in Ncm were: Control Group 10,2/22,2, Bio-Oss 12,7/26,2, NanoBone 17,5/33,3, easy-graft CLASSIC 20,3/45,9, easy-graft CRYSTAL 23,8/56,6 Ncm, significance-level of differences throughout p < 0,05. Within the limits of this study the results suggest self-hardening solid-block-like bone-graft-materials to achieve significantly better DTV/ITV than loose granulate biomaterials for its suspected improvement of vascularization and mineralization of the subantral scaffold by full immobilization of the augmentation site towards pressure changes in the human sinus at normal breathing.
种植体植入扭矩值(ITV)被证明是预测种植体长期成功率以及决定即刻负重的一项重要临床参数。该研究评估了在两阶段种植手术中,与天然上颌窦底骨相比,在鼻窦提升手术中使用四种不同且常用生物材料时的ITV。由于其微创经嵴入路和可扩展的骨增量体积,tHUCSL-INTRALIFT方法被用于155个鼻窦提升位点的鼻窦提升。随机植入四种不同的生物材料(易植骨CRYSTAL,n = 38;易植骨CLASSIC,n = 41;纳米骨,n = 42;BioOss,n = 34),每种情况植入2立方厘米。在平均8.92个月的愈合期后,植入统一锥形螺杆Q2种植体,并记录钻孔扭矩值(DTV)和ITV,并与一组36个无需鼻窦提升的上颌窦底位点进行比较。通过方差分析对DTV/ITV进行统计学处理。以牛顿厘米(Ncm)为单位获得的平均DTV/ITV为:对照组10.2/22.2,Bio-Oss 12.7/26.2,纳米骨17.5/33.3,易植骨CLASSIC 20.3/45.9,易植骨CRYSTAL 23.8/56.6 Ncm,各差异的显著性水平均为p < 0.05。在本研究范围内,结果表明,自固化块状骨移植材料比松散颗粒状生物材料能显著获得更好的DTV/ITV,这可能是因为通过使骨增量部位完全固定以应对人鼻窦在正常呼吸时的压力变化,改善了上颌窦底支架的血管化和矿化。