Suppr超能文献

1992年至2013年国际泳联世界锦标赛和奥运会决赛选手游泳速度性别差异的变化。

Changes in sex difference in swimming speed in finalists at FINA World Championships and the Olympic Games from 1992 to 2013.

作者信息

Wild Stefanie, Rüst Christoph Alexander, Rosemann Thomas, Knechtle Beat

机构信息

Institute of General Practice and for Health Services Research, University of Zurich, Zurich, Switzerland.

Institute of General Practice and for Health Services Research, University of Zurich, Zurich, Switzerland ; Gesundheitszentrum St. Gallen, Vadianstrasse 26, 9001 St. Gallen, Switzerland.

出版信息

BMC Sports Sci Med Rehabil. 2014 Jun 25;6:25. doi: 10.1186/2052-1847-6-25. eCollection 2014.

Abstract

BACKGROUND

This study investigated swimming speeds and sex differences of finalists competing at the Olympic Games (i.e. 624 female and 672 male athletes) and FINA World Championships (i.e. 990 women and 1008 men) between 1992 and 2013.

METHODS

Linear, non-linear and multi-level regression models were used to investigate changes in swimming speeds and sex differences for champions and finalists.

RESULTS

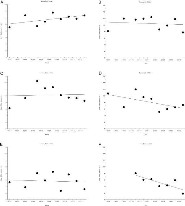
Regarding finalists in FINA World Championships and Olympic Games, swimming speed increased linearly in both women and men in all disciplines and race distances. Male world champions' swimming speed remained stable in 200 m butterfly, 400 m, 800 m and 1,500 m freestyle. Considering women, swimming speed remained unchanged in 50 m and 400 m freestyle. In the Olympic Games, swimming speed of male champions remained unchanged in 200 m breaststroke, 50 m, 400 m, 800 m and 1,500 m freestyle. Female Olympic champions' swimming speed remained stable in 100 m and 200 m backstroke, 100 m butterfly, 200 m individual medley, 50 m and 200 m freestyle. Evaluating sex differences between finalists in FINA World Championships, results showed a linear decrease in 100 m breaststroke and 200 m butterfly and a non-linear increase in 100 m backstroke. In finals at the Olympic Games, the sex difference decreased linearly for 100 m backstroke, 400 m and 800 m freestyle. However, a linear increase for 200 m butterfly can be reported. Considering Olympic and world champions, the sex difference remained stable in all disciplines and race distances.

CONCLUSION

Swimming speed of the finalists at the Olympic Games and FINA World Championships increased linearly. The top annual female swimmers increased swimming speed rather at longer race distances (i.e. 800 m and 1,500 m freestyle, 200 m butterfly, and 400 m individual medley), whereas the top annual male swimmers increased it rather at shorter race distances (i.e. 100 m and 200 m freestyle, 100 m butterfly, and 100 m breaststroke). Sex difference in swimming was unchanged in Olympic and world champions. Finalists and champions at the Olympic Games and FINA World Championships reduced the sex difference with increasing race distance.

摘要

背景

本研究调查了1992年至2013年间参加奥运会(即624名女运动员和672名男运动员)以及国际泳联世界锦标赛(即990名女运动员和1008名男运动员)的决赛选手的游泳速度和性别差异。

方法

使用线性、非线性和多层次回归模型来研究冠军和决赛选手的游泳速度变化及性别差异。

结果

关于国际泳联世界锦标赛和奥运会的决赛选手,在所有项目和比赛距离中,男女游泳速度均呈线性增加。男子世界冠军在200米蝶泳、400米、800米和1500米自由泳项目中的游泳速度保持稳定。对于女子而言,50米和400米自由泳的游泳速度保持不变。在奥运会中,男子冠军在200米蛙泳、50米、400米、800米和1500米自由泳项目中的游泳速度保持不变。女子奥运冠军在100米和200米仰泳、100米蝶泳、200米个人混合泳、50米和200米自由泳项目中的游泳速度保持稳定。评估国际泳联世界锦标赛决赛选手的性别差异,结果显示100米蛙泳和200米蝶泳呈线性下降,100米仰泳呈非线性增加。在奥运会决赛中,100米仰泳、400米和800米自由泳的性别差异呈线性下降。然而,200米蝶泳呈线性增加。考虑奥运会和世界冠军,所有项目和比赛距离的性别差异保持稳定。

结论

奥运会和国际泳联世界锦标赛决赛选手的游泳速度呈线性增加。年度顶尖女游泳运动员在较长比赛距离(即800米和1500米自由泳、200米蝶泳和400米个人混合泳)中游泳速度提升较多,而年度顶尖男游泳运动员在较短比赛距离(即100米和200米自由泳、100米蝶泳和100米蛙泳)中游泳速度提升较多。奥运会和世界冠军的游泳性别差异没有变化。奥运会和国际泳联世界锦标赛的决赛选手和冠军随着比赛距离增加缩小了性别差异。

https://cdn.ncbi.nlm.nih.gov/pmc/blobs/f6ed/4129435/d742faecd8d2/2052-1847-6-25-1.jpg

文献AI研究员

20分钟写一篇综述,助力文献阅读效率提升50倍。

立即体验

用中文搜PubMed

大模型驱动的PubMed中文搜索引擎

马上搜索

文档翻译

学术文献翻译模型,支持多种主流文档格式。

立即体验