Suppr超能文献

课程长度对国家和国际运动员个人混合泳成绩的影响。 (注:原文中“course length”表述有误,结合语境这里应该是“race length”,正确译文为:比赛长度对国家和国际运动员个人混合泳成绩的影响。 )

The effect of course length on individual medley swimming performance in national and international athletes.

作者信息

Wolfrum Mathias, Rüst Christoph Alexander, Rosemann Thomas, Lepers Romuald, Knechtle Beat

机构信息

Institute of Primary Care, University of Zurich, Zurich, Switzerland. ; Cardiovascular Center Cardiology, University Hospital Zürich, Zürich, Switzerland.

Institute of Primary Care, University of Zurich, Zurich, Switzerland.

出版信息

J Hum Kinet. 2014 Oct 10;42:187-200. doi: 10.2478/hukin-2014-0073. eCollection 2014 Sep 29.

Abstract

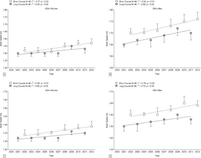
Effects of course length (25 m versus 50 m) and advances in performance of individual medley swimming were examined for men and women in Swiss national competitions and FINA World Championships during 2000-2011. Linear regression and analysis of variance (ANOVA) were used to analyse 200 m and 400 m race results for 26,081 swims on the Swiss high score list and 382 FINA finalists. Swiss and FINA swimmers of both sexes were, on average, 4.3±3.2% faster on short courses for both race distances. Sex-related differences in swim speed were significantly greater for FINA swimmers competing in short-course events than in long-course events (10.3±0.2% versus 9.7±0.3%, p<0.01), but did not differ for Swiss swimmers (p>0.05). Sex-related differences in swimming speed decreased with increasing race distance for both short- and long-course events for Swiss athletes, and for FINA athletes in long-course events. Performance improved significantly (p<0.05) during 2000-2011 for FINA men competing in either course length and FINA females competing in short-course events, but not for Swiss swimmers. Overall, the results showed that men and women individual medley swimmers, competing at both national and international levels, have faster average swimming speeds on short courses than on long courses, for both 200 m and 400 m distances. FINA athletes demonstrate an improving performance in the vast majority of individual medley events, while performance at national level seems to have reached a plateau during 2000-2011.

摘要

在2000 - 2011年期间,对瑞士全国比赛和国际泳联世界锦标赛中的男女运动员,研究了赛程长度(25米与50米)对个人混合泳成绩的影响以及成绩的进步情况。采用线性回归和方差分析(ANOVA),分析了瑞士高分榜单上的26,081次游泳比赛的200米和400米比赛成绩以及382名国际泳联决赛选手的成绩。瑞士和国际泳联的男女游泳运动员在短池比赛中,这两个比赛距离的平均速度都快4.3±3.2%。参加短池项目的国际泳联游泳运动员的游泳速度性别差异在短池项目中比长池项目中显著更大(10.3±0.2%对9.7±0.3%,p<0.01),但瑞士游泳运动员没有差异(p>0.05)。瑞士运动员和国际泳联长池项目运动员的短池和长池项目中,游泳速度的性别差异都随着比赛距离的增加而减小。2000 - 2011年期间,参加任何一种赛程长度的国际泳联男子运动员以及参加短池项目的国际泳联女子运动员成绩显著提高(p<0.05),但瑞士游泳运动员没有。总体而言,结果表明,在国家和国际层面参赛的男女个人混合泳运动员,在200米和400米距离上,短池比赛的平均游泳速度都比长池快。国际泳联运动员在绝大多数个人混合泳项目中的成绩有所提高,而在2000 - 2011年期间,国家层面的成绩似乎已达到平稳状态。

https://cdn.ncbi.nlm.nih.gov/pmc/blobs/dc71/4234758/ad3fd2b3b0d3/jhk-42-187f1.jpg

文献检索

告别复杂PubMed语法,用中文像聊天一样搜索,搜遍4000万医学文献。AI智能推荐,让科研检索更轻松。

立即免费搜索

文件翻译

保留排版,准确专业,支持PDF/Word/PPT等文件格式,支持 12+语言互译。

免费翻译文档

深度研究

AI帮你快速写综述,25分钟生成高质量综述,智能提取关键信息,辅助科研写作。

立即免费体验