Suppr超能文献

50英里至3100英里超级马拉松比赛中男女表现的差异。

Performance differences between sexes in 50-mile to 3,100-mile ultramarathons.

作者信息

Zingg Matthias A, Knechtle Beat, Rosemann Thomas, Rüst Christoph A

机构信息

Institute of Primary Care, University of Zurich, Zurich, Switzerland.

Institute of Primary Care, University of Zurich, Zurich, Switzerland ; Gesundheitszentrum St Gallen, St Gallen, Switzerland.

出版信息

Open Access J Sports Med. 2015 Jan 22;6:7-21. doi: 10.2147/OAJSM.S76490. eCollection 2015.

Abstract

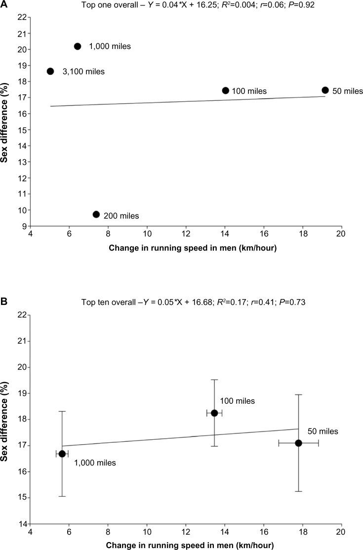
Anecdotal reports have assumed that women would be able to outrun men in long-distance running. The aim of this study was to test this assumption by investigating the changes in performance difference between sexes in the best ultramarathoners in 50-mile, 100-mile, 200-mile, 1,000-mile, and 3,100-mile events held worldwide between 1971 and 2012. The sex differences in running speed for the fastest runners ever were analyzed using one-way analysis of variance with subsequent Tukey-Kramer posthoc analysis. Changes in sex difference in running speed of the annual fastest were analyzed using linear and nonlinear regression analyses, correlation analyses, and mixed-effects regression analyses. The fastest men ever were faster than the fastest women ever in 50-mile (17.5%), 100-mile (17.4%), 200-mile (9.7%), 1,000-mile (20.2%), and 3,100-mile (18.6%) events. For the ten fastest finishers ever, men were faster than women in 50-mile (17.1%±1.9%), 100-mile (19.2%±1.5%), and 1,000-mile (16.7%±1.6%) events. No correlation existed between sex difference and running speed for the fastest ever (r (2)=0.0039, P=0.91) and the ten fastest ever (r (2)=0.15, P=0.74) for all distances. For the annual fastest, the sex difference in running speed decreased linearly in 50-mile events from 14.6% to 8.9%, remained unchanged in 100-mile (18.0%±8.4%) and 1,000-mile (13.7%±9.1%) events, and increased in 3,100-mile events from 12.5% to 16.9%. For the annual ten fastest runners, the performance difference between sexes decreased linearly in 50-mile events from 31.6%±3.6% to 8.9%±1.8% and in 100-mile events from 26.0%±4.4% to 24.7%±0.9%. To summarize, the fastest men were ~17%-20% faster than the fastest women for all distances from 50 miles to 3,100 miles. The linear decrease in sex difference for 50-mile and 100-mile events may suggest that women are reducing the sex gap for these distances.

摘要

轶事报道认为女性在长跑中能够比男性跑得快。本研究的目的是通过调查1971年至2012年在全球范围内举办的50英里、100英里、200英里、1000英里和3100英里超级马拉松比赛中顶尖选手的性别成绩差异变化,来验证这一假设。使用单因素方差分析及随后的Tukey-Kramer事后分析,对有史以来最快选手的跑步速度性别差异进行了分析。使用线性和非线性回归分析、相关性分析以及混合效应回归分析,对年度最快选手跑步速度的性别差异变化进行了分析。在50英里(17.5%)、100英里(17.4%)、200英里(9.7%)、1000英里(20.2%)和3100英里(18.6%)比赛中,有史以来最快的男性比最快的女性速度更快。对于有史以来成绩最好的十名选手,在50英里(17.1%±1.9%)、100英里(19.2%±1.5%)和1000英里(16.7%±1.6%)比赛中,男性比女性速度更快。对于所有距离,有史以来最快选手(r(2)=0.0039,P=0.91)和有史以来成绩最好的十名选手(r(2)=0.15,P=0.74)的性别差异与跑步速度之间均无相关性。对于年度最快选手,在50英里比赛中,跑步速度的性别差异从14.6%线性下降至8.9%,在100英里(18.0%±8.4%)和1000英里(13.7%±9.1%)比赛中保持不变,在3100英里比赛中从12.5%增至16.9%。对于年度成绩最好的十名选手,在50英里比赛中,性别成绩差异从31.6%±3.6%线性下降至8.9%±1.8%,在100英里比赛中从26.0%±4.4%下降至24.7%±0.9%。总之, 在50英里至3100英里的所有距离中,最快的男性比最快的女性快约17%-20%。50英里和100英里比赛中性别差异的线性下降可能表明女性正在缩小这些距离上的性别差距。

https://cdn.ncbi.nlm.nih.gov/pmc/blobs/986b/4309798/22999d6c0e77/oajsm-6-007Fig1.jpg

文献检索

告别复杂PubMed语法,用中文像聊天一样搜索,搜遍4000万医学文献。AI智能推荐,让科研检索更轻松。

立即免费搜索

文件翻译

保留排版,准确专业,支持PDF/Word/PPT等文件格式,支持 12+语言互译。

免费翻译文档

深度研究

AI帮你快速写综述,25分钟生成高质量综述,智能提取关键信息,辅助科研写作。

立即免费体验