Shen Yang, Zhao Jing, Yao Peijun, Miao Huamao, Niu Lingling, Wang Xiaoying, Zhou Xingtao
Key Lab of Myopia, Ministry of Health, Department of Ophthalmology, EYE & ENT Hospital of Fudan University, Shanghai, China.
PLoS One. 2014 Aug 14;9(8):e103893. doi: 10.1371/journal.pone.0103893. eCollection 2014.
To investigate the effects of lenticule creation and subsequent corneal lenticule extraction on corneal deformation parameters during small incision lenticule extraction (SMILE) procedure.
In this prospective study, 18 eyes of 10 patients (27.90 ± 7.11 years, -5.64 ± 2.45 diopters) scheduled for SMILE procedure were enrolled. Changes in the corneal deformation parameters, including deformation amplitude (DA), applanation time(AT1 and AT2), applanation length(AL1 and AL2), corneal velocity(CV1 and CV2), peak distance(P.Dist.), radius and intraocular pressure values were measured preoperatively, immediately after lenticule creation and subsequent to corneal lenticule extraction in all eyes with the Corvis Scheimpflug Technology (Corvis ST, OCULUS, Wetzlar, Germany). Repeated measures analysis of variance (ANOVA) with bonferroni-adjusted post hoc comparisons was performed to investigate changes following each step of the procedure.
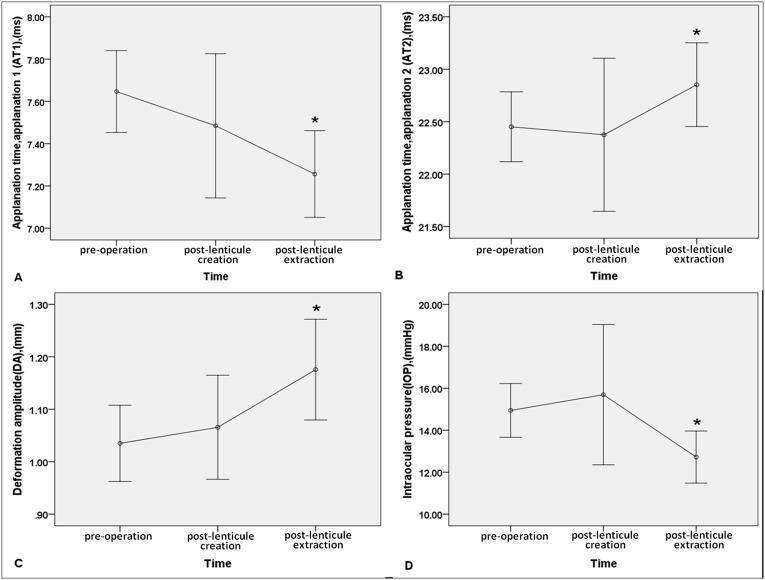
All surgical procedures were uneventful. A significant difference was detected among the three time points (pre-operation, post-lenticule creation and post lenticule extraction) for AT1 (P<0.001), AT2 (P = 0.001), DA(P<0.001), and IOP(P = 0.002). Bonferroni-adjusted post hoc comparisons indicated that there was no significant change in AT1, AT2, DA, or IOP after lenticule creation (post hoc P>0.05), but there was a significant change in these parameters following subsequent corneal lenticule extraction (post hoc P<0.01), when compared to values obtained pre-operatively. The scheimpflug camera of the Corvis ST demonstrated the intralamellar small gas bubbles formed from the vaporisation of tissue after lenticule creation and a gray zone was observed between the cap and the residual stromal bed after lenticule extraction.
There is a significant change in corneal deformation parameters following SMILE procedure. The changes may be caused predominantly by stromal lenticule extraction, while lenticule creation with femtosecond laser may not have an obvious effect on corneal deformation properties.
研究在小切口透镜切除术(SMILE)过程中,透镜制作及随后的角膜透镜摘除对角膜变形参数的影响。
在这项前瞻性研究中,纳入了10例计划接受SMILE手术患者的18只眼(年龄27.90±7.11岁,屈光度-5.64±2.45)。使用Corvis Scheimpflug技术(Corvis ST,德国韦茨拉尔OCULUS公司)在所有眼中术前、透镜制作后即刻以及角膜透镜摘除后测量角膜变形参数的变化,包括变形幅度(DA)、压平时间(AT1和AT2)、压平长度(AL1和AL2)、角膜速度(CV1和CV2)、峰值距离(P.Dist.)、半径和眼压值。采用重复测量方差分析(ANOVA)及Bonferroni校正的事后比较来研究手术各步骤后的变化。
所有手术过程均顺利。在三个时间点(术前、透镜制作后和透镜摘除后),AT1(P<0.001)﹑AT2(P = 0.001)﹑DA(P<0.001)和眼压(P = 0.002)检测到显著差异。Bonferroni校正的事后比较表明,透镜制作后AT1、AT2、DA或眼压无显著变化(事后P>0.05),但与术前值相比,随后的角膜透镜摘除后这些参数有显著变化(事后P<0.01)。Corvis ST的Scheimpflug相机显示透镜制作后组织汽化形成的层间小气泡,透镜摘除后在帽与残余基质床之间观察到一个灰色区域。
SMILE手术后角膜变形参数有显著变化。这些变化可能主要由基质透镜摘除引起,而飞秒激光制作透镜可能对角膜变形特性没有明显影响。