Suppr超能文献

有和没有视盘出血的青光眼眼中视网膜神经节细胞丢失的估计率。

Estimated rates of retinal ganglion cell loss in glaucomatous eyes with and without optic disc hemorrhages.

作者信息

Gracitelli Carolina P B, Tatham Andrew J, Zangwill Linda M, Weinreb Robert N, Liu Ting, Medeiros Felipe A

机构信息

Hamilton Glaucoma Center and Department of Ophthalmology, University of California San Diego, San Diego, California, United States of America; Department of Ophthalmology, Federal University of São Paulo, São Paulo, São Paulo Brazil.

Hamilton Glaucoma Center and Department of Ophthalmology, University of California San Diego, San Diego, California, United States of America; Princess Alexandra Eye Pavilion and Department of Ophthalmology, University of Edinburgh, Edinburgh, United Kingdom.

出版信息

PLoS One. 2014 Aug 26;9(8):e105611. doi: 10.1371/journal.pone.0105611. eCollection 2014.

Abstract

PURPOSE

To evaluate whether optic disc hemorrhages are associated with faster rates of estimated retinal ganglion cell (RGC) loss in glaucoma.

METHODS

A longitudinal observational cohort study of 222 eyes of 122 patients with glaucoma recruited from the Diagnostic Innovations Glaucoma Study (DIGS) followed for an average of 3.74±0.85 years. All subjects had optical coherence tomography and standard automated perimetry during follow up. Optic disc hemorrhages were detected by masked evaluation of stereophotographs. Rates of change in estimated numbers of RGCs were determined using a previously described method. A random coefficients model was used to investigate the relationship between disc hemorrhages and rates of change in estimated RGC counts over time.

RESULTS

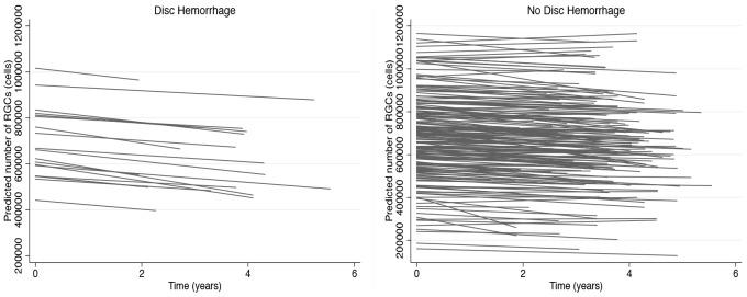
19 eyes of 18 subjects had at least one disc hemorrhage during follow up. At baseline, average estimated RGC counts in eyes with and without disc hemorrhages were 677,994 cells and 682,021 cells, respectively (P = 0.929). Eyes with optic disc hemorrhages during follow-up had significantly faster rates of estimated RGC loss than eyes without disc hemorrhages (22,233 cells/year versus 10,704 cells/year, P = 0.020). The effect of disc hemorrhages on the rates of estimated RGC loss remained significant after adjusting for confounding variables.

CONCLUSION

Eyes with disc hemorrhages showed faster rates of RGC loss compared to eyes without disc hemorrhages. These results provide further evidence that disc hemorrhages should be considered as an indicator of increased risk for faster neural loss in glaucoma.

摘要

目的

评估视盘出血是否与青光眼患者视网膜神经节细胞(RGC)估计丢失率加快相关。

方法

一项纵向观察性队列研究,对从诊断创新青光眼研究(DIGS)招募的122例青光眼患者的222只眼睛进行了平均3.74±0.85年的随访。所有受试者在随访期间均进行了光学相干断层扫描和标准自动视野检查。通过对立体照片进行盲法评估来检测视盘出血。使用先前描述的方法确定RGC估计数量的变化率。采用随机系数模型研究视盘出血与估计RGC计数随时间变化率之间的关系。

结果

18名受试者的19只眼睛在随访期间至少出现一次视盘出血。基线时,有视盘出血和无视盘出血的眼睛中,RGC估计平均计数分别为677,994个细胞和682,021个细胞(P = 0.929)。随访期间出现视盘出血的眼睛,其RGC估计丢失率明显快于无视盘出血的眼睛(22,233个细胞/年对10,704个细胞/年,P = 0.020)。在调整混杂变量后,视盘出血对RGC估计丢失率的影响仍然显著。

结论

与无视盘出血的眼睛相比,有视盘出血的眼睛RGC丢失率更快。这些结果提供了进一步的证据,表明视盘出血应被视为青光眼患者神经快速丢失风险增加的一个指标。

https://cdn.ncbi.nlm.nih.gov/pmc/blobs/4201/4144879/184a69f2c3b2/pone.0105611.g001.jpg

文献AI研究员

20分钟写一篇综述,助力文献阅读效率提升50倍。

立即体验

用中文搜PubMed

大模型驱动的PubMed中文搜索引擎

马上搜索

文档翻译

学术文献翻译模型,支持多种主流文档格式。

立即体验