Zemzemi Nejib, Rodriguez Blanca
Carmen team, INRIA Bordeaux Sud-Ouest, 200 avenue de la vieille tour, Talence Cedex 33405, France
Department of Computer Science, University of Oxford, Oxford OX1 3QD, UK.
Europace. 2015 Feb;17(2):326-33. doi: 10.1093/europace/euu122. Epub 2014 Sep 15.
Class III and IV drugs affect cardiac human ether-a-go-go related gene (IKr) and L-type calcium (ICaL) channels, resulting in complex alterations in repolarization with both anti- and pro-arrhythmic consequences. Interpretation of their effects on cellular and electrocardiogram (ECG)-based biomarkers for risk stratification is challenging. As pharmaceutical compounds often exhibit multiple ion channel effects, our goal is to investigate the simultaneous effect of ICaL and IKr block on human ventricular electrophysiology from ionic to ECG level.
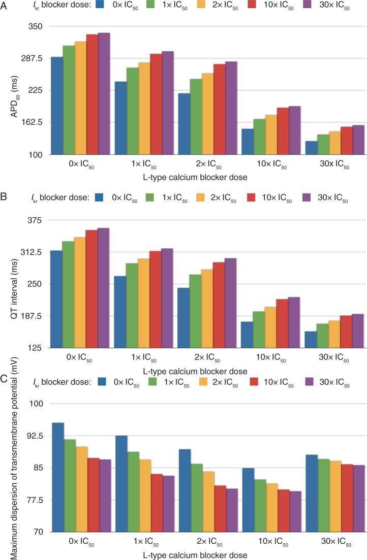
Simulations are conducted using a human body torso bidomain model, which includes realistic representation of human membrane kinetics, anatomy, and fibre orientation. A simple block pore model is incorporated to simulate drug-induced ICaL and IKr blocks, for drug dose = 0, IC50, 2× IC50, 10× IC50, and 30× IC50. Drug effects on human ventricular activity are quantified for different degrees and combinations of ICaL and IKr blocks from the ionic to the body surface ECG level. Electrocardiogram simulations show that ICaL block results in shortening of the QT interval, ST elevation, and reduced T-wave amplitude, caused by reduction in action potential duration and action potential amplitude during the plateau phase, and in repolarization times. In contrast, IKr block results in QT prolongation and reduced T-wave amplitude. When ICaL and IKr blocks are combined, the degree of ICaL block strongly determines QT interval whereas the effect of IKr block is more pronounced on the T-wave amplitude.
Our simulation study provides new insights into the combined effect of ICaL and IKr blocks on human ventricular activity using a multiscale computational human torso model.
Ⅲ类和Ⅳ类药物会影响心脏人醚 - 去极化相关基因(IKr)和L型钙通道(ICaL),导致复极过程出现复杂变化,既有抗心律失常作用,也有促心律失常后果。解读它们对基于细胞和心电图(ECG)的生物标志物进行风险分层的影响具有挑战性。由于药物化合物通常表现出多种离子通道效应,我们的目标是研究ICaL和IKr阻断对人体心室电生理从离子水平到心电图水平的同时作用。
使用人体躯干双域模型进行模拟,该模型包括对人体膜动力学、解剖结构和纤维方向的真实呈现。纳入一个简单的阻断孔模型来模拟药物诱导的ICaL和IKr阻断,药物剂量分别为0、IC50、2×IC50、10×IC50和30×IC50。从离子水平到体表心电图水平,对不同程度和组合的ICaL和IKr阻断情况下药物对人体心室活动的影响进行量化。心电图模拟显示,ICaL阻断导致QT间期缩短、ST段抬高和T波振幅降低,这是由于平台期动作电位持续时间和动作电位振幅降低以及复极时间缩短所致。相比之下,IKr阻断导致QT间期延长和T波振幅降低。当ICaL和IKr阻断联合时,ICaL阻断程度强烈决定QT间期,而IKr阻断对T波振幅的影响更为明显。
我们的模拟研究使用多尺度计算人体躯干模型,为ICaL和IKr阻断对人体心室活动的联合作用提供了新的见解。