Suppr超能文献

KCNJ11基因中遗传变异对2型糖尿病的人群特异性影响:一项病例对照和荟萃分析研究。

Population specific impact of genetic variants in KCNJ11 gene to type 2 diabetes: a case-control and meta-analysis study.

作者信息

Phani Nagaraja M, Guddattu Vasudeva, Bellampalli Ravishankara, Seenappa Venu, Adhikari Prabha, Nagri Shivashankara K, D Souza Sydney C, Mundyat Gopinath P, Satyamoorthy Kapaettu, Rai Padmalatha S

机构信息

Division of Biotechnology, School of Life Sciences, Manipal University, Manipal, Karnataka, India.

Department of Statistics, Manipal University, Manipal, Karnataka, India.

出版信息

PLoS One. 2014 Sep 23;9(9):e107021. doi: 10.1371/journal.pone.0107021. eCollection 2014.

Abstract

BACKGROUND AND OBJECTIVES

Potassium inwardly rectifying channel, subfamily J, member 11 (KCNJ11) gene have a key role in insulin secretion and is of substantial interest as a candidate gene for type 2 diabetes (T2D). The current work was performed to delineate the genetic influence of KCNJ11 polymorphisms on risk of T2D in South Indian population through case-control association study along with systematic review and meta-analysis.

METHODS

A case-control study of 400 T2D cases and controls of South Indian origin were performed to analyze the association of KCNJ11 polymorphisms (rs5219, rs5215, rs41282930, rs1800467) and copy number variations (CNV) on the risk of T2D. In addition a systematic review and meta-analysis for KCNJ11 rs5219 was conducted in 3,831 cases and 3,543 controls from 5 published reports from South-Asian population by searching various databases. Odds ratio with 95% confidence interval (CI) was used to assess the association strength. Cochran's Q, I2 statistics were used to study heterogeneity between the eligible studies.

RESULTS

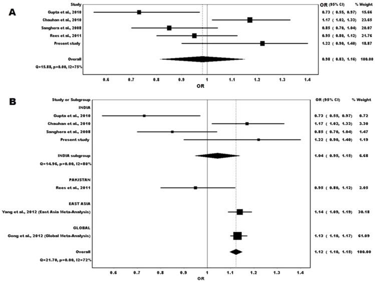
KCNJ11 rs5215, C-G-C-C haplotype and two loci analysis (rs5219 vs rs1800467) showed a significant association with T2D but CNV analysis did not show significant variation between T2D cases and control subjects. Lower age of disease onset (P = 0.04) and higher body mass index (BMI) (P = 0.04) were associated with rs5219 TT genotype in T2D patients. The meta-analysis of KCNJ11 rs5219 on South Asian population showed no association on susceptibility to T2D with an overall pooled OR = 0.98, 95% CI = 0.83-1.16. Stratification analysis showed East Asian population and global population were associated with T2D when compared to South Asians.

CONCLUSION

KCNJ11 rs5219 is not independently associated with T2D in South-Indian population and our meta-analysis suggests that KCNJ11 polymorphism (rs5219) is associated with risk of T2D in East Asian population and global population but this outcome could not be replicated in South Asian sub groups.

摘要

背景与目的

内向整流型钾离子通道J亚家族成员11(KCNJ11)基因在胰岛素分泌中起关键作用,作为2型糖尿病(T2D)的候选基因备受关注。本研究旨在通过病例对照关联研究以及系统评价和荟萃分析,阐明KCNJ11基因多态性对南印度人群T2D发病风险的遗传影响。

方法

对400例南印度裔T2D患者和对照进行病例对照研究,分析KCNJ11基因多态性(rs5219、rs5215、rs41282930、rs1800467)和拷贝数变异(CNV)与T2D发病风险的关联。此外,通过检索多个数据库,对来自南亚人群的5篇已发表报告中的3831例病例和3543例对照进行KCNJ11 rs5219的系统评价和荟萃分析。采用比值比(OR)及95%置信区间(CI)评估关联强度,运用Cochran's Q、I²统计量研究纳入研究间的异质性。

结果

KCNJ11 rs5215、C-G-C-C单倍型以及两位点分析(rs5219与rs1800467)显示与T2D存在显著关联,但CNV分析未显示T2D患者与对照之间有显著差异。T2D患者中,rs5219 TT基因型与发病年龄较低(P = 0.04)及体重指数(BMI)较高(P = 0.04)相关。对南亚人群KCNJ11 rs5219的荟萃分析显示,其与T2D易感性无关联,总体合并OR = 0.98,95% CI = 0.83 - 1.16。分层分析显示,与南亚人群相比,东亚人群和全球人群与T2D相关。

结论

在南印度人群中,KCNJ11 rs5219与T2D无独立关联,我们的荟萃分析表明,KCNJ11基因多态性(rs5219)与东亚人群和全球人群的T2D发病风险相关,但这一结果在南亚亚组中未能得到验证。

https://cdn.ncbi.nlm.nih.gov/pmc/blobs/4d40/4172481/1e9965621b46/pone.0107021.g001.jpg

文献AI研究员

20分钟写一篇综述,助力文献阅读效率提升50倍。

立即体验

用中文搜PubMed

大模型驱动的PubMed中文搜索引擎

马上搜索

文档翻译

学术文献翻译模型,支持多种主流文档格式。

立即体验