Suppr超能文献

用于数据挖掘任务的开箱即用文本挖掘工具的功能评估。

Functional evaluation of out-of-the-box text-mining tools for data-mining tasks.

作者信息

Jung Kenneth, LePendu Paea, Iyer Srinivasan, Bauer-Mehren Anna, Percha Bethany, Shah Nigam H

机构信息

Program in Biomedical Informatics, Stanford University, Stanford, California, USA.

Center for Biomedical Informatics Research, Stanford University, Stanford, California, USA.

出版信息

J Am Med Inform Assoc. 2015 Jan;22(1):121-31. doi: 10.1136/amiajnl-2014-002902. Epub 2014 Oct 21.

Abstract

OBJECTIVE

The trade-off between the speed and simplicity of dictionary-based term recognition and the richer linguistic information provided by more advanced natural language processing (NLP) is an area of active discussion in clinical informatics. In this paper, we quantify this trade-off among text processing systems that make different trade-offs between speed and linguistic understanding. We tested both types of systems in three clinical research tasks: phase IV safety profiling of a drug, learning adverse drug-drug interactions, and learning used-to-treat relationships between drugs and indications.

MATERIALS

We first benchmarked the accuracy of the NCBO Annotator and REVEAL in a manually annotated, publically available dataset from the 2008 i2b2 Obesity Challenge. We then applied the NCBO Annotator and REVEAL to 9 million clinical notes from the Stanford Translational Research Integrated Database Environment (STRIDE) and used the resulting data for three research tasks.

RESULTS

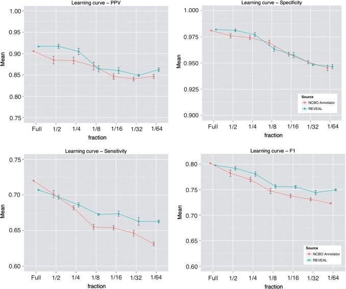
There is no significant difference between using the NCBO Annotator and REVEAL in the results of the three research tasks when using large datasets. In one subtask, REVEAL achieved higher sensitivity with smaller datasets.

CONCLUSIONS

For a variety of tasks, employing simple term recognition methods instead of advanced NLP methods results in little or no impact on accuracy when using large datasets. Simpler dictionary-based methods have the advantage of scaling well to very large datasets. Promoting the use of simple, dictionary-based methods for population level analyses can advance adoption of NLP in practice.

摘要

目的

基于词典的术语识别的速度与简单性和更先进的自然语言处理(NLP)提供的更丰富语言信息之间的权衡,是临床信息学中一个活跃的讨论领域。在本文中,我们对在速度和语言理解之间做出不同权衡的文本处理系统之间的这种权衡进行了量化。我们在三项临床研究任务中测试了这两种类型的系统:药物的IV期安全性分析、学习药物-药物不良相互作用以及学习药物与适应症之间的治疗关系。

材料

我们首先在来自2008年i2b2肥胖挑战赛的一个人工标注的公开可用数据集中,对NCBO注释器和REVEAL的准确性进行了基准测试。然后,我们将NCBO注释器和REVEAL应用于来自斯坦福转化研究综合数据库环境(STRIDE)的900万份临床记录,并将所得数据用于三项研究任务。

结果

在使用大型数据集时,在三项研究任务的结果中,使用NCBO注释器和REVEAL之间没有显著差异。在一个子任务中,REVEAL在较小数据集上实现了更高的灵敏度。

结论

对于各种任务,在使用大型数据集时,采用简单的术语识别方法而非先进的NLP方法对准确性几乎没有影响或没有影响。基于词典的更简单方法具有很好地扩展到非常大的数据集的优势。推广使用基于词典的简单方法进行人群水平分析可以推动NLP在实践中的应用。

https://cdn.ncbi.nlm.nih.gov/pmc/blobs/afb9/4433377/ac777a8ae51a/ocu921f1p.jpg

文献检索

告别复杂PubMed语法,用中文像聊天一样搜索,搜遍4000万医学文献。AI智能推荐,让科研检索更轻松。

立即免费搜索

文件翻译

保留排版,准确专业,支持PDF/Word/PPT等文件格式,支持 12+语言互译。

免费翻译文档

深度研究

AI帮你快速写综述,25分钟生成高质量综述,智能提取关键信息,辅助科研写作。

立即免费体验