Suppr超能文献

从犊牛和仔猪中分离及鉴定普拉梭菌

Isolation and characterization of Faecalibacterium prausnitzii from calves and piglets.

作者信息

Foditsch Carla, Santos Thiago M A, Teixeira Andre G V, Pereira Richard V V, Dias Juliana M, Gaeta Natália, Bicalho Rodrigo C

机构信息

Department of Population Medicine and Diagnostic Sciences, College of Veterinary Medicine, Cornell University, Ithaca, New York, United States of America.

Department of Biochemistry, University of Wisconsin-Madison, Madison, Wisconsin, United States of America.

出版信息

PLoS One. 2014 Dec 31;9(12):e116465. doi: 10.1371/journal.pone.0116465. eCollection 2014.

Abstract

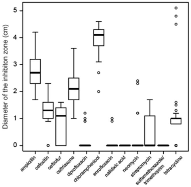
The goal of our study was to isolate and characterize Faecalibacterium prausnitzii from fecal samples of healthy calves and piglets, in order to develop a novel probiotic for livestock animals. We identified 203 isolates of Faecalibacterium sp., which were clustered in 40 genetically distinct groups. One representative isolate from each cluster was selected for further characterization. The concentrations of the short chain fatty acids (SCFA) acetate, butyrate, propionate and isobutyrate in the culture media were measured by gas chromatography. We observed reduction in the concentration of acetate followed by concomitant increase in the concentration of butyrate, suggesting that the isolates were consuming acetate present in the media and producing butyrate. Butyrate production correlated positively with bacterial growth. Since butyrate has many benefits to the colonic epithelial cells, the selection of strains that produce higher amounts of butyrate is extremely important for the development of this potential probiotic. The effect of pH and concentration of bile salts on bacterial growth was also evaluated in order to mimic the conditions encountered by F. prausnitzii in vivo. The optimal pH for growth ranged between 5.5 and 6.7, while most isolates were inhibited by of the lowest concentration of bile salts tested (0.1%). Antimicrobial resistance profile showed that most isolates of Faecalibacterium sp. were resistant against ciprofloxacin and sulfamethoxazole-trimethoprim. More than 50% of the isolates were resistant to tetracycline, amikacin, cefepime and cefoxitin. A total of 19 different combinations of multidrug resistance were observed among the isolates. Our results provide new insights into the cultural and physiological characteristics of Faecalibacterium prausnitzii illustrating large variability in short chain fatty acid production, in vitro growth, sensitivity to bile salts, and antibiotic resistance and suggesting that future probiotic candidates should be carefully studied before elected for in vivo studies.

摘要

我们研究的目的是从健康犊牛和仔猪的粪便样本中分离并鉴定普拉梭菌,以便开发一种新型的家畜益生菌。我们鉴定出203株梭菌属分离株,它们聚为40个遗传上不同的组。从每个组中选择一个代表性分离株进行进一步鉴定。通过气相色谱法测量培养基中短链脂肪酸(SCFA)乙酸盐、丁酸盐、丙酸盐和异丁酸盐的浓度。我们观察到乙酸盐浓度降低,随后丁酸盐浓度随之增加,这表明分离株正在消耗培养基中存在的乙酸盐并产生丁酸盐。丁酸盐的产生与细菌生长呈正相关。由于丁酸盐对结肠上皮细胞有许多益处,因此选择产生更高量丁酸盐的菌株对于这种潜在益生菌的开发极为重要。还评估了pH值和胆盐浓度对细菌生长的影响,以模拟普拉梭菌在体内遇到的条件。生长的最佳pH值范围在5.5至6.7之间,而大多数分离株受到测试的最低胆盐浓度(0.1%)的抑制。抗菌药物耐药性谱显示,大多数梭菌属分离株对环丙沙星和磺胺甲恶唑-甲氧苄啶耐药。超过50%的分离株对四环素、阿米卡星、头孢吡肟和头孢西丁耐药。在分离株中总共观察到19种不同的多重耐药组合。我们的结果为普拉梭菌的培养和生理特征提供了新的见解,表明其在短链脂肪酸产生、体外生长、对胆盐的敏感性和抗生素耐药性方面存在很大差异,并表明在选择用于体内研究之前,应仔细研究未来的益生菌候选菌株。

https://cdn.ncbi.nlm.nih.gov/pmc/blobs/3335/4281123/e180ab5ca189/pone.0116465.g001.jpg

文献AI研究员

20分钟写一篇综述,助力文献阅读效率提升50倍。

立即体验

用中文搜PubMed

大模型驱动的PubMed中文搜索引擎

马上搜索

文档翻译

学术文献翻译模型,支持多种主流文档格式。

立即体验