• 文献检索
  • 文档翻译
  • 深度研究
  • 学术资讯
  • Suppr Zotero 插件Zotero 插件
  • 邀请有礼
  • 套餐&价格
  • 历史记录
应用&插件
Suppr Zotero 插件Zotero 插件浏览器插件Mac 客户端Windows 客户端微信小程序
定价
高级版会员购买积分包购买API积分包
服务
文献检索文档翻译深度研究API 文档MCP 服务
关于我们
关于 Suppr公司介绍联系我们用户协议隐私条款
关注我们

Suppr 超能文献

核心技术专利:CN118964589B侵权必究
粤ICP备2023148730 号-1Suppr @ 2026

文献检索

告别复杂PubMed语法,用中文像聊天一样搜索,搜遍4000万医学文献。AI智能推荐,让科研检索更轻松。

立即免费搜索

文件翻译

保留排版,准确专业,支持PDF/Word/PPT等文件格式,支持 12+语言互译。

免费翻译文档

深度研究

AI帮你快速写综述,25分钟生成高质量综述,智能提取关键信息,辅助科研写作。

立即免费体验

评估荜澄茄提取物对改善啮齿动物模型中四氯化碳诱导的肝损伤和氧化损伤的有效性。

Evaluation of the effectiveness of Piper cubeba extract in the amelioration of CCl4-induced liver injuries and oxidative damage in the rodent model.

作者信息

AlSaid Mansour, Mothana Ramzi, Raish Mohammad, Al-Sohaibani Mohammed, Al-Yahya Mohammed, Ahmad Ajaz, Al-Dosari Mohammed, Rafatullah Syed

机构信息

Department of Pharmacognosy and Medicinal, Aromatic & Poisonous Plants Research Center (MAPPRC), College of Pharmacy, King Saud University, P.O. Box 2457, Riyadh 11451, Saudi Arabia.

Department of Pharmaceutics, College of Pharmacy, King Saud University, P.O. Box 2457, Riyadh 11451, Saudi Arabia.

出版信息

Biomed Res Int. 2015;2015:359358. doi: 10.1155/2015/359358. Epub 2015 Jan 14.

DOI:10.1155/2015/359358
PMID:25654097
原文链接:https://pmc.ncbi.nlm.nih.gov/articles/PMC4310260/
Abstract

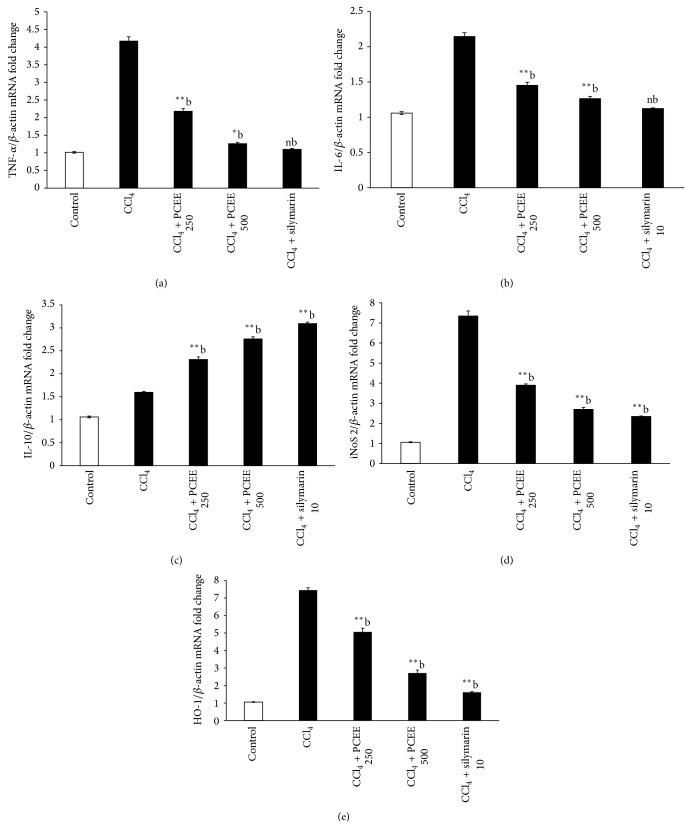
Background. Liver diseases still represent a major health burden worldwide. Moreover, medicinal plants have gained popularity in the treatment of several diseases including liver. Thus, the present study was to evaluate the effectiveness of Piper cubeba fruits in the amelioration of CCl4-induced liver injuries and oxidative damage in the rodent model. Methods. Hepatoprotective activity was assessed using various biochemical parameters like SGOT, SGPT, γ-GGT, ALP, total bilirubin, LDH, and total protein. Meanwhile, in vivo antioxidant activities as LPO, NP-SH, and CAT were measured in rat liver as well as mRNA expression of cytokines such as TNFα, IL-6, and IL-10 and stress related genes iNOS and HO-1 were determined by RT-PCR. The extent of liver damage was also analyzed through histopathological observations. Results. Treatment with PCEE significantly and dose dependently prevented drug induced increase in serum levels of hepatic enzymes. Furthermore, PCEE significantly reduced the lipid peroxidation in the liver tissue and restored activities of defense antioxidant enzymes NP-SH and CAT towards normal levels. The administration of PCEE significantly downregulated the CCl4-induced proinflammatory cytokines TNFα and IL-6 mRNA expression in dose dependent manner, while it upregulated the IL-10 and induced hepatoprotective effect by downregulating mRNA expression of iNOS and HO-1 gene.

摘要

背景。肝脏疾病在全球范围内仍然是一个主要的健康负担。此外,药用植物在包括肝脏疾病在内的多种疾病治疗中越来越受欢迎。因此,本研究旨在评估荜澄茄果实对改善四氯化碳诱导的啮齿动物模型肝损伤和氧化损伤的有效性。方法。使用各种生化参数如谷草转氨酶(SGOT)、谷丙转氨酶(SGPT)、γ-谷氨酰转肽酶(γ-GGT)、碱性磷酸酶(ALP)、总胆红素、乳酸脱氢酶(LDH)和总蛋白来评估肝脏保护活性。同时,测定大鼠肝脏中的脂质过氧化(LPO)、非蛋白巯基(NP-SH)和过氧化氢酶(CAT)等体内抗氧化活性,并通过逆转录聚合酶链反应(RT-PCR)测定细胞因子如肿瘤坏死因子α(TNFα)、白细胞介素-6(IL-6)和白细胞介素-10(IL-10)的mRNA表达以及应激相关基因诱导型一氧化氮合酶(iNOS)和血红素加氧酶-1(HO-1)。还通过组织病理学观察分析肝脏损伤程度。结果。荜澄茄乙醇提取物(PCEE)治疗显著且剂量依赖性地预防了药物诱导的血清肝酶水平升高。此外,PCEE显著降低了肝组织中的脂质过氧化,并将防御抗氧化酶NP-SH和CAT的活性恢复到正常水平。PCEE给药以剂量依赖性方式显著下调四氯化碳诱导的促炎细胞因子TNFα和IL-6的mRNA表达,同时上调IL-10,并通过下调iNOS和HO-1基因的mRNA表达诱导肝脏保护作用。

https://cdn.ncbi.nlm.nih.gov/pmc/blobs/af67/4310260/5ef91bc7f79a/BMRI2015-359358.003.jpg
https://cdn.ncbi.nlm.nih.gov/pmc/blobs/af67/4310260/16a3c1da6b1b/BMRI2015-359358.001.jpg
https://cdn.ncbi.nlm.nih.gov/pmc/blobs/af67/4310260/3f1646f1aa1a/BMRI2015-359358.002.jpg
https://cdn.ncbi.nlm.nih.gov/pmc/blobs/af67/4310260/5ef91bc7f79a/BMRI2015-359358.003.jpg
https://cdn.ncbi.nlm.nih.gov/pmc/blobs/af67/4310260/16a3c1da6b1b/BMRI2015-359358.001.jpg
https://cdn.ncbi.nlm.nih.gov/pmc/blobs/af67/4310260/3f1646f1aa1a/BMRI2015-359358.002.jpg
https://cdn.ncbi.nlm.nih.gov/pmc/blobs/af67/4310260/5ef91bc7f79a/BMRI2015-359358.003.jpg

相似文献

1
Evaluation of the effectiveness of Piper cubeba extract in the amelioration of CCl4-induced liver injuries and oxidative damage in the rodent model.评估荜澄茄提取物对改善啮齿动物模型中四氯化碳诱导的肝损伤和氧化损伤的有效性。
Biomed Res Int. 2015;2015:359358. doi: 10.1155/2015/359358. Epub 2015 Jan 14.
2
Antioxidant and hepatoprotective activity of Fagonia schweinfurthii (Hadidi) Hadidi extract in carbon tetrachloride induced hepatotoxicity in HepG2 cell line and rats.没药属植物提取物对四氯化碳诱导的 HepG2 细胞和大鼠肝毒性的抗氧化和保肝作用。
J Ethnopharmacol. 2013 Dec 12;150(3):973-81. doi: 10.1016/j.jep.2013.09.048. Epub 2013 Oct 17.
3
Hepatoprotective effects of lignans extract from Herpetospermum caudigerum against CCl₄-induced acute liver injury in mice.尾叶蛇菰木脂素提取物对四氯化碳诱导的小鼠急性肝损伤的保肝作用
J Ethnopharmacol. 2015 Apr 22;164:46-52. doi: 10.1016/j.jep.2015.01.044. Epub 2015 Feb 7.
4
Hepatoprotective and antioxidant activity of hydromethanolic extract of Daniella oliveri leaves in carbon tetrachloride-induced hepatotoxicity in rats.丹尼尔橄榄树叶水甲醇提取物对四氯化碳诱导的大鼠肝毒性的保肝和抗氧化活性
J Basic Clin Physiol Pharmacol. 2015 Sep;26(5):465-70. doi: 10.1515/jbcpp-2014-0087.
5
Antioxidant and hepatoprotective effects of mixed micellar lipid formulation of phyllanthin and piperine in carbon tetrachloride-induced liver injury in rodents.叶下珠素与胡椒碱混合胶束脂质制剂对四氯化碳诱导的啮齿动物肝损伤的抗氧化及肝保护作用
Food Funct. 2015 Nov;6(11):3593-603. doi: 10.1039/c5fo00947b. Epub 2015 Sep 2.
6
Hepatoprotective mechanism of Lygodium microphyllum (Cav.) R.Br. through ultrastructural signaling prevention against carbon tetrachloride (CCl)-mediated oxidative stress.小叶海金沙(Lygodium microphyllum (Cav.) R.Br.)通过超微结构信号传导预防四氯化碳(CCl)介导的氧化应激的肝脏保护机制。
Biomed Pharmacother. 2017 Aug;92:1010-1022. doi: 10.1016/j.biopha.2017.06.014. Epub 2017 Jun 9.
7
Hepatoprotective effects and mechanisms of dehydrocavidine in rats with carbon tetrachloride-induced hepatic fibrosis.去氢骆驼蓬碱对四氯化碳致肝纤维化大鼠的肝保护作用及机制。
J Ethnopharmacol. 2011 Oct 31;138(1):76-84. doi: 10.1016/j.jep.2011.08.039. Epub 2011 Aug 24.
8
Amelioration of oxidative stress by dandelion extract through CYP2E1 suppression against acute liver injury induced by carbon tetrachloride in Sprague-Dawley rats.蒲公英提取物通过抑制 CYP2E1 减轻四氯化碳诱导的 Sprague-Dawley 大鼠急性肝损伤中的氧化应激。
Phytother Res. 2010 Sep;24(9):1347-53. doi: 10.1002/ptr.3121.
9
Carbon tetrachloride-induced hepatotoxicity: Protective effect of 'Rocket' Eruca sativa L. in rats.四氯化碳诱导的肝毒性:“火箭”芝麻菜(Eruca sativa L.)对大鼠的保护作用。
Am J Chin Med. 2010;38(1):75-88. doi: 10.1142/S0192415X10007671.
10
Hepatoprotective action of Orthosiphon diffusus (Benth.) methanol active fraction through antioxidant mechanisms: an in vivo and in vitro evaluation.通过抗氧化机制评估唇香草(Benth.)甲醇活性部分的保肝作用:体内和体外评价。
J Ethnopharmacol. 2013 Oct 7;149(3):737-44. doi: 10.1016/j.jep.2013.07.034. Epub 2013 Aug 7.

引用本文的文献

1
Serum γ-glutamyltransferase levels and obesity status changes the risk of prehypertension in Chinese adults.血清γ-谷氨酰转移酶水平和肥胖状况改变中国成年人患高血压前期的风险。
Prev Med Rep. 2024 Jun 10;43:102792. doi: 10.1016/j.pmedr.2024.102792. eCollection 2024 Jul.
2
Hepatoprotective effects of bioactive compounds from traditional herb Tulsi ( Linn) against galactosamine-induced hepatotoxicity in rats.传统草药罗勒(唇形科罗勒属)中的生物活性化合物对大鼠半乳糖胺诱导的肝毒性的保肝作用。
Front Pharmacol. 2023 Oct 4;14:1213052. doi: 10.3389/fphar.2023.1213052. eCollection 2023.
3
Hepatoprotective effect of seed extracts on paracetamol-induced rats.

本文引用的文献

1
Hepatoprotetive, Cardioprotective and Nephroprotective Actions of Essential Oil Extract of Artemisia sieberi in Alloxan Induced Diabetic Rats.西伯利亚艾菊精油提取物对四氧嘧啶诱导的糖尿病大鼠的肝脏保护、心脏保护和肾脏保护作用
Iran J Pharm Res. 2012 Fall;11(4):1227-34.
2
Development of cardiac hypertrophy by sunitinib in vivo and in vitro rat cardiomyocytes is influenced by the aryl hydrocarbon receptor signaling pathway.舒尼替尼在体内和体外大鼠心肌细胞中诱导心脏肥大的过程受芳烃受体信号通路的影响。
Arch Toxicol. 2014 Mar;88(3):725-38. doi: 10.1007/s00204-013-1159-5. Epub 2013 Nov 19.
3
The involvement of heme oxygenase 1 but not nitric oxide synthase 2 in a hepatoprotective action of quercetin in lipopolysaccharide-induced hepatotoxicity of D-galactosamine sensitized rats.
水飞蓟种子提取物对乙酰氨基酚致大鼠肝损伤的保护作用。
Pharm Biol. 2021 Dec;59(1):31-39. doi: 10.1080/13880209.2020.1865408.
4
The Great Healing Potential Hidden in Plant Preparations of Antioxidant Properties: A Return to Nature?抗氧化特性植物制剂的巨大治愈潜力:回归自然?
Oxid Med Cell Longev. 2020 Oct 9;2020:8163868. doi: 10.1155/2020/8163868. eCollection 2020.
5
Hepatoprotective activity of raspberry ketone is mediated inhibition of the NF-κB/TNF-α/caspase axis and mitochondrial apoptosis in chemically induced acute liver injury.树莓酮的肝脏保护活性是通过抑制化学诱导急性肝损伤中的NF-κB/TNF-α/半胱天冬酶轴和线粒体凋亡来介导的。
Toxicol Res (Camb). 2019 Jul 1;8(5):663-676. doi: 10.1039/c9tx00068b. eCollection 2019 Sep 1.
6
Wound healing evaluation of self-nanoemulsifying drug delivery system containing essential oil.含精油的自纳米乳化药物递送系统的伤口愈合评估
3 Biotech. 2019 Mar;9(3):82. doi: 10.1007/s13205-019-1630-y. Epub 2019 Feb 14.
7
Effect of L. fruit on ethylene glycol and ammonium chloride induced urolithiasis in male Sprague Dawley rats.左旋肉碱对雄性斯普拉格-道利大鼠乙二醇和氯化铵诱导的尿路结石的影响。
Integr Med Res. 2018 Dec;7(4):358-365. doi: 10.1016/j.imr.2018.06.005. Epub 2018 Jul 2.
8
Protective Effects of Silymarin, Alone or in Combination with Chlorogenic Acid and/or Melatonin, Against Carbon Tetrachloride-induced Hepatotoxicity.水飞蓟素单独或与绿原酸和/或褪黑素联合使用对四氯化碳诱导的肝毒性的保护作用。
Pharmacogn Mag. 2016 May;12(Suppl 3):S337-45. doi: 10.4103/0973-1296.185765.
9
GC-MS Analysis: In Vivo Hepatoprotective and Antioxidant Activities of the Essential Oil of Achillea biebersteinii Afan. Growing in Saudi Arabia.气相色谱-质谱联用分析:生长于沙特阿拉伯的比伯氏蓍草精油的体内保肝及抗氧化活性
Evid Based Complement Alternat Med. 2016;2016:1867048. doi: 10.1155/2016/1867048. Epub 2016 May 12.
10
Phycocyanobilin accelerates liver regeneration and reduces mortality rate in carbon tetrachloride-induced liver injury mice.藻蓝胆素可加速四氯化碳诱导的肝损伤小鼠的肝脏再生并降低死亡率。
World J Gastroenterol. 2015 May 14;21(18):5465-72. doi: 10.3748/wjg.v21.i18.5465.
槲皮素在半乳糖胺敏化大鼠脂多糖诱导肝毒性中的肝保护作用涉及血红素加氧酶 1 而不涉及一氧化氮合酶 2。
Fitoterapia. 2013 Jun;87:20-6. doi: 10.1016/j.fitote.2013.03.016. Epub 2013 Mar 26.
4
Attenuation of CCl4-Induced Oxidative Stress and Hepatonephrotoxicity by Saudi Sidr Honey in Rats.沙枣蜜对四氯化碳诱导的大鼠氧化应激和肝肾毒性的抑制作用。
Evid Based Complement Alternat Med. 2013;2013:569037. doi: 10.1155/2013/569037. Epub 2013 Feb 24.
5
Nephroprotective effect of Kabab chini (Piper cubeba) in gentamycin-induced nephrotoxicity.卡巴布奇尼(荜澄茄)对庆大霉素诱导的肾毒性的肾保护作用。
Saudi J Kidney Dis Transpl. 2012 Jul;23(4):773-81. doi: 10.4103/1319-2442.98159.
6
Anti-inflammatory, antinociceptive and antioxidant activities of the endemic Soqotraen Boswellia elongata Balf. f. and Jatropha unicostata Balf. f. in different experimental models.索科特拉柏木和单叶巴豆在不同实验模型中的抗炎、镇痛和抗氧化活性。
Food Chem Toxicol. 2011 Oct;49(10):2594-9. doi: 10.1016/j.fct.2011.06.079. Epub 2011 Jul 14.
7
Protection of the liver against CCl4-induced injury by intramuscular electrotransfer of a kallistatin-encoding plasmid.肌肉内电转移 Kallistatin 编码质粒对 CCl4 诱导肝损伤的保护作用。
World J Gastroenterol. 2011 Jan 7;17(1):111-7. doi: 10.3748/wjg.v17.i1.111.
8
Antioxidant and anti-inflammatory activities of essential oils: a short review.精油的抗氧化和抗炎活性:简短综述。
Molecules. 2010 Dec 15;15(12):9252-87. doi: 10.3390/molecules15129252.
9
Baicalein inhibits nuclear factor-κB and apoptosis via c-FLIP and MAPK in D-GalN/LPS induced acute liver failure in murine models.黄芩素通过 c-FLIP 和 MAPK 抑制 D-GalN/LPS 诱导的急性肝衰竭小鼠模型中的核因子-κB 和细胞凋亡。
Chem Biol Interact. 2010 Dec 5;188(3):526-34. doi: 10.1016/j.cbi.2010.09.008. Epub 2010 Sep 17.
10
Signaling to heme oxygenase-1 and its anti-inflammatory therapeutic potential.信号转导至血红素加氧酶-1 及其抗炎治疗潜力。
Biochem Pharmacol. 2010 Dec 15;80(12):1895-903. doi: 10.1016/j.bcp.2010.07.014. Epub 2010 Jul 17.