Suppr超能文献

婴儿期自闭症的行为标志物:在一项针对高危同胞的前瞻性研究中,婴儿自闭症观察量表的得分。

Behavioural markers for autism in infancy: scores on the Autism Observational Scale for Infants in a prospective study of at-risk siblings.

作者信息

Gammer Isobel, Bedford Rachael, Elsabbagh Mayada, Garwood Holly, Pasco Greg, Tucker Leslie, Volein Agnes, Johnson Mark H, Charman Tony

机构信息

King's College London, Institute of Psychiatry, Psychology & Neuroscience, Department of Psychology, Box PO77, Henry Wellcome Building, De Crespigny Park, Denmark Hill, London SE5 8AF, UK.

King's College London, Institute of Psychiatry, Psychology & Neuroscience, Department of Biostatistics, London, UK.

出版信息

Infant Behav Dev. 2015 Feb;38:107-15. doi: 10.1016/j.infbeh.2014.12.017. Epub 2015 Feb 2.

Abstract

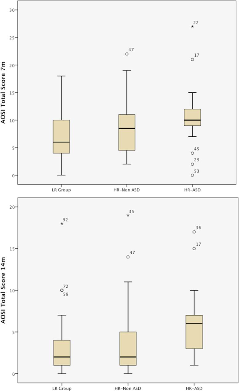
We investigated early behavioural markers of autism spectrum disorder (ASD) using the Autism Observational Scale for Infants (AOSI) in a prospective familial high-risk (HR) sample of infant siblings (N=54) and low-risk (LR) controls (N=50). The AOSI was completed at 7 and 14 month infant visits and children were seen again at age 24 and 36 months. Diagnostic outcome of ASD (HR-ASD) versus no ASD (HR-No ASD) was determined for the HR sample at the latter timepoint. The HR group scored higher than the LR group at 7 months and marginally but non-significantly higher than the LR group at 14 months, although these differences did not remain when verbal and nonverbal developmental level were covaried. The HR-ASD outcome group had higher AOSI scores than the LR group at 14 months but not 7 months, even when developmental level was taken into account. The HR-No ASD outcome group had scores intermediate between the HR-ASD and LR groups. At both timepoints a few individual items were higher in the HR-ASD and HR-No ASD outcome groups compared to the LR group and these included both social (e.g. orienting to name) and non-social (e.g. visual tracking) behaviours. AOSI scores at 14 months but not at 7 months were moderately correlated with later scores on the autism diagnostic observation schedule (ADOS) suggesting continuity of autistic-like behavioural atypicality but only from the second and not first year of life. The scores of HR siblings who did not go on to have ASD were intermediate between the HR-ASD outcome and LR groups, consistent with the notion of a broader autism phenotype.

摘要

我们使用婴儿孤独症观察量表(AOSI),对一组有家族遗传高风险(HR)的婴儿兄弟姐妹(N = 54)和低风险(LR)对照组(N = 50)进行研究,以探寻孤独症谱系障碍(ASD)的早期行为标志物。在婴儿7个月和14个月的访视时完成AOSI量表评估,这些儿童在24个月和36个月时再次接受检查。在24个月这个时间点确定高风险样本中患有ASD(HR-ASD)与未患ASD(HR-无ASD)的诊断结果。高风险组在7个月时的得分高于低风险组,在14个月时略高于低风险组,但差异不显著,不过在对语言和非语言发育水平进行协变量调整后,这些差异不再存在。即使考虑发育水平,高风险组中患ASD的儿童在14个月时的AOSI得分仍高于低风险组,但在7个月时并非如此。高风险组中未患ASD的儿童得分介于患ASD的高风险组和低风险组之间。在两个时间点,与低风险组相比,高风险组中患ASD和未患ASD的儿童在一些单项上得分更高,这些项目包括社交行为(如对名字的反应)和非社交行为(如视觉追踪)。14个月时而非7个月时的AOSI得分与之后孤独症诊断观察量表(ADOS)的得分呈中度相关,这表明类似孤独症的行为异常具有连续性,但仅从生命的第二年而非第一年开始。未患ASD的高风险组兄弟姐妹的得分介于患ASD的高风险组和低风险组之间,这与更广泛的孤独症表型概念相符。

https://cdn.ncbi.nlm.nih.gov/pmc/blobs/2ada/4346204/c10ee2a4c27d/gr1.jpg

文献检索

告别复杂PubMed语法,用中文像聊天一样搜索,搜遍4000万医学文献。AI智能推荐,让科研检索更轻松。

立即免费搜索

文件翻译

保留排版,准确专业,支持PDF/Word/PPT等文件格式,支持 12+语言互译。

免费翻译文档

深度研究

AI帮你快速写综述,25分钟生成高质量综述,智能提取关键信息,辅助科研写作。

立即免费体验