• 文献检索
  • 文档翻译
  • 深度研究
  • 学术资讯
  • Suppr Zotero 插件Zotero 插件
  • 邀请有礼
  • 套餐&价格
  • 历史记录
应用&插件
Suppr Zotero 插件Zotero 插件浏览器插件Mac 客户端Windows 客户端微信小程序
定价
高级版会员购买积分包购买API积分包
服务
文献检索文档翻译深度研究API 文档MCP 服务
关于我们
关于 Suppr公司介绍联系我们用户协议隐私条款
关注我们

Suppr 超能文献

核心技术专利:CN118964589B侵权必究
粤ICP备2023148730 号-1Suppr @ 2026

文献检索

告别复杂PubMed语法,用中文像聊天一样搜索,搜遍4000万医学文献。AI智能推荐,让科研检索更轻松。

立即免费搜索

文件翻译

保留排版,准确专业,支持PDF/Word/PPT等文件格式,支持 12+语言互译。

免费翻译文档

深度研究

AI帮你快速写综述,25分钟生成高质量综述,智能提取关键信息,辅助科研写作。

立即免费体验

对健康人类左侧背外侧前额叶皮层进行连续θ波爆发刺激会降低中等负荷工作记忆表现。

Continuous theta burst stimulation over the left dorsolateral prefrontal cortex decreases medium load working memory performance in healthy humans.

作者信息

Schicktanz Nathalie, Fastenrath Matthias, Milnik Annette, Spalek Klara, Auschra Bianca, Nyffeler Thomas, Papassotiropoulos Andreas, de Quervain Dominique J-F, Schwegler Kyrill

机构信息

University of Basel, Department of Psychology, Division of Cognitive Neuroscience, Basel, Switzerland; University of Basel, Psychiatric University Clinics, Basel, Switzerland.

University of Basel, Department of Psychology, Division of Cognitive Neuroscience, Basel, Switzerland.

出版信息

PLoS One. 2015 Mar 17;10(3):e0120640. doi: 10.1371/journal.pone.0120640. eCollection 2015.

DOI:10.1371/journal.pone.0120640
PMID:25781012
原文链接:https://pmc.ncbi.nlm.nih.gov/articles/PMC4364010/
Abstract

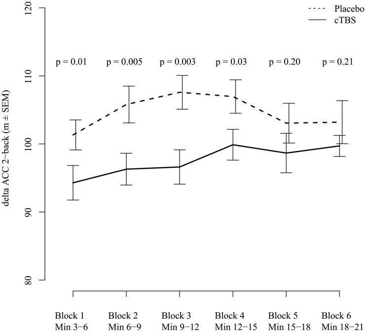
The dorsolateral prefrontal cortex (DLPFC) plays a key role in working memory. Evidence indicates that transcranial magnetic stimulation (TMS) over the DLPFC can interfere with working memory performance. Here we investigated for how long continuous theta-burst stimulation (cTBS) over the DLPFC decreases working memory performance and whether the effect of cTBS on performance depends on working memory load. Forty healthy young subjects received either cTBS over the left DLPFC or sham stimulation before performing a 2-, and 3-back working memory letter task. An additional 0-back condition served as a non-memory-related control, measuring general attention. cTBS over the left DLPFC significantly impaired 2-back working memory performance for about 15 min, whereas 3-back and 0-back performances were not significantly affected. Our results indicate that the effect of left DLPFC cTBS on working memory performance lasts for roughly 15 min and depends on working memory load.

摘要

背外侧前额叶皮质(DLPFC)在工作记忆中起关键作用。有证据表明,对DLPFC进行经颅磁刺激(TMS)会干扰工作记忆表现。在此,我们研究了对DLPFC进行连续theta爆发刺激(cTBS)会使工作记忆表现下降多长时间,以及cTBS对表现的影响是否取决于工作记忆负荷。40名健康的年轻受试者在执行2-back和3-back工作记忆字母任务之前,接受了左侧DLPFC的cTBS或假刺激。另外一个0-back条件作为与记忆无关的对照,用于测量一般注意力。左侧DLPFC的cTBS显著损害了2-back工作记忆表现约15分钟,而3-back和0-back表现未受到显著影响。我们的结果表明,左侧DLPFC的cTBS对工作记忆表现的影响持续约15分钟,并且取决于工作记忆负荷。

https://cdn.ncbi.nlm.nih.gov/pmc/blobs/58d8/4364010/33dd835f7c4d/pone.0120640.g002.jpg
https://cdn.ncbi.nlm.nih.gov/pmc/blobs/58d8/4364010/cb8bab9d0b88/pone.0120640.g001.jpg
https://cdn.ncbi.nlm.nih.gov/pmc/blobs/58d8/4364010/33dd835f7c4d/pone.0120640.g002.jpg
https://cdn.ncbi.nlm.nih.gov/pmc/blobs/58d8/4364010/cb8bab9d0b88/pone.0120640.g001.jpg
https://cdn.ncbi.nlm.nih.gov/pmc/blobs/58d8/4364010/33dd835f7c4d/pone.0120640.g002.jpg

相似文献

1
Continuous theta burst stimulation over the left dorsolateral prefrontal cortex decreases medium load working memory performance in healthy humans.对健康人类左侧背外侧前额叶皮层进行连续θ波爆发刺激会降低中等负荷工作记忆表现。
PLoS One. 2015 Mar 17;10(3):e0120640. doi: 10.1371/journal.pone.0120640. eCollection 2015.
2
Continuous theta-burst stimulation over the dorsolateral prefrontal cortex inhibits improvement on a working memory task.经颅直流电刺激背外侧前额叶皮质可抑制工作记忆任务的改善。
Sci Rep. 2018 Oct 4;8(1):14835. doi: 10.1038/s41598-018-33187-3.
3
The study on the frontoparietal networks by continuous theta burst stimulation in healthy human subjects.健康人体额顶网络的连续 theta 爆发刺激研究。
Behav Brain Res. 2013 Mar 1;240:60-8. doi: 10.1016/j.bbr.2012.11.015. Epub 2012 Nov 23.
4
Differential Effects of Transcranial Static Magnetic Stimulation Over Left and Right Dorsolateral Prefrontal Cortex on Brain Oscillatory Responses During a Working Memory Task.左、右背外侧前额叶皮层经颅静磁场刺激对工作记忆任务中脑振荡反应的差异影响。
Neuroscience. 2023 May 1;517:50-60. doi: 10.1016/j.neuroscience.2023.03.006. Epub 2023 Mar 11.
5
Differential impact of continuous theta-burst stimulation over left and right DLPFC on planning.左、右背外侧前额叶皮质的连续 theta 爆发刺激对规划的影响差异。
Hum Brain Mapp. 2013 Jan;34(1):36-51. doi: 10.1002/hbm.21423. Epub 2011 Oct 14.
6
Continuous Theta Burst Stimulation Over the Dorsolateral Prefrontal Cortex and the Pre-SMA Alter Drift Rate and Response Thresholds Respectively During Perceptual Decision-Making.连续 theta 爆发刺激背外侧前额叶皮质和前 SMA 分别改变知觉决策过程中的漂移率和反应阈值。
Brain Stimul. 2016 Jul-Aug;9(4):601-8. doi: 10.1016/j.brs.2016.04.004. Epub 2016 Apr 12.
7
Continuous theta-burst stimulation over the right dorsolateral prefrontal cortex impairs visuospatial working memory performance in medium load task.右侧背外侧前额叶皮质的连续theta爆发刺激会损害中等负荷任务中的视觉空间工作记忆表现。
Neuroreport. 2021 Jun 9;32(9):808-814. doi: 10.1097/WNR.0000000000001666.
8
Asymmetry in the dorsolateral prefrontal cortex and aggressive behavior: a continuous theta-burst magnetic stimulation study.背外侧前额皮质的不对称性与攻击行为:一项连续 theta 爆发磁刺激研究。
Soc Neurosci. 2013;8(2):178-88. doi: 10.1080/17470919.2012.720602. Epub 2012 Sep 10.
9
Theta burst stimulation-induced inhibition of dorsolateral prefrontal cortex reveals hemispheric asymmetry in striatal dopamine release during a set-shifting task: a TMS-[(11)C]raclopride PET study.θ波爆发刺激诱导的背外侧前额叶皮质抑制揭示了在转换任务期间纹状体多巴胺释放的半球不对称性:一项经颅磁刺激-[(11)C]雷氯必利正电子发射断层扫描研究。
Eur J Neurosci. 2008 Nov;28(10):2147-55. doi: 10.1111/j.1460-9568.2008.06501.x.
10
Transcranial magnetic stimulation of left prefrontal cortex impairs working memory.经颅磁刺激左前额叶皮层会损害工作记忆。
Clin Neurophysiol. 2001 Sep;112(9):1672-5. doi: 10.1016/s1388-2457(01)00606-x.

引用本文的文献

1
No evidence for changes in GABA concentration, functional connectivity, or working memory following continuous theta burst stimulation over dorsolateral prefrontal cortex.在背外侧前额叶皮层进行连续theta爆发刺激后,没有证据表明γ-氨基丁酸(GABA)浓度、功能连接性或工作记忆发生变化。
Neuroimage Rep. 2021 Nov 17;1(4):100061. doi: 10.1016/j.ynirp.2021.100061. eCollection 2021 Dec.
2
Resting-state functional connectivity in the attention networks is not altered by offline theta-burst stimulation of the posterior parietal cortex or the temporo-parietal junction as compared to a vertex control site.与顶点控制部位相比,后顶叶皮层或颞顶联合区的离线theta爆发刺激不会改变注意力网络中的静息态功能连接。
Neuroimage Rep. 2021 May 25;1(2):100013. doi: 10.1016/j.ynirp.2021.100013. eCollection 2021 Jun.
3

本文引用的文献

1
Motor threshold predicts working memory performance in healthy humans.运动阈预测健康人群的工作记忆表现。
Ann Clin Transl Neurol. 2014 Jan;1(1):69-73. doi: 10.1002/acn3.22. Epub 2013 Dec 6.
2
Converging genetic and functional brain imaging evidence links neuronal excitability to working memory, psychiatric disease, and brain activity.融合的遗传和功能脑成像证据将神经元兴奋性与工作记忆、精神疾病和大脑活动联系起来。
Neuron. 2014 Mar 5;81(5):1203-1213. doi: 10.1016/j.neuron.2014.01.010. Epub 2014 Feb 13.
3
Resistant Against De-depression: LTD-Like Plasticity in the Human Motor Cortex Induced by Spaced cTBS.
Theta transcranial alternating current stimulation over the prefrontal cortex enhances theta power and working memory performance.经颅交流电刺激前额叶皮质可增强θ波功率和工作记忆表现。
Front Psychiatry. 2025 Jan 14;15:1493675. doi: 10.3389/fpsyt.2024.1493675. eCollection 2024.
4
Noninvasive Therapies: A Forthcoming Approach to Parkinson's Treatment.非侵入性疗法:帕金森病治疗的未来途径。
CNS Neurol Disord Drug Targets. 2025;24(3):165-180. doi: 10.2174/0118715273318429240812094557.
5
Combined noninvasive brain stimulation virtual reality for upper limb rehabilitation poststroke: A systematic review of randomized controlled trials.联合非侵入性脑刺激虚拟现实上肢康复脑卒中后:随机对照试验的系统评价。
Neurol Sci. 2024 Jun;45(6):2523-2537. doi: 10.1007/s10072-024-07360-8. Epub 2024 Jan 30.
6
The Effect of Continuous Theta Burst Stimulation over the Right Dorsolateral Prefrontal Cortex on Cognitive Function and Emotional Regulation in Patients with Cerebral Small Vessel Disease.右侧背外侧前额叶皮质连续θ波爆发刺激对脑小血管病患者认知功能和情绪调节的影响
Brain Sci. 2023 Sep 11;13(9):1309. doi: 10.3390/brainsci13091309.
7
Enhancing Visuospatial Working Memory Performance Using Intermittent Theta-Burst Stimulation Over the Right Dorsolateral Prefrontal Cortex.通过右侧背外侧前额叶皮层的间歇性theta波爆发刺激增强视觉空间工作记忆表现
Front Hum Neurosci. 2022 Mar 17;16:752519. doi: 10.3389/fnhum.2022.752519. eCollection 2022.
8
The Role of Expectation and Beliefs on the Effects of Non-Invasive Brain Stimulation.期望和信念对非侵入性脑刺激效果的作用。
Brain Sci. 2021 Nov 18;11(11):1526. doi: 10.3390/brainsci11111526.
9
Assessing the Effects of Continuous Theta Burst Stimulation Over the Dorsolateral Prefrontal Cortex on Human Cognition: A Systematic Review.评估经颅直流电刺激背外侧前额叶皮质对人类认知的影响:一项系统综述。
Front Integr Neurosci. 2020 Aug 4;14:35. doi: 10.3389/fnint.2020.00035. eCollection 2020.
10
Combining HF rTMS over the Left DLPFC with Concurrent Cognitive Activity for the Offline Modulation of Working Memory in Healthy Volunteers: A Proof-of-Concept Study.在健康志愿者中,将左背外侧前额叶皮质的高频重复经颅磁刺激与同步认知活动相结合用于工作记忆的离线调制:一项概念验证研究。
Brain Sci. 2020 Feb 4;10(2):83. doi: 10.3390/brainsci10020083.
抗抑郁复发:间隔性cTBS诱导的人类运动皮层类似长时程抑制的可塑性
Cereb Cortex. 2015 Jul;25(7):1724-34. doi: 10.1093/cercor/bht353. Epub 2014 Jan 31.
4
He who is well prepared has half won the battle: an FMRI study of task preparation.做好准备的人已赢得一半胜利:一项关于任务准备的功能磁共振成像研究。
Cereb Cortex. 2015 Mar;25(3):726-35. doi: 10.1093/cercor/bht262. Epub 2013 Oct 3.
5
Verbal Working Memory Load Affects Regional Brain Activation as Measured by PET.言语工作记忆负荷通过 PET 测量影响大脑区域激活。
J Cogn Neurosci. 1997 Jul;9(4):462-75. doi: 10.1162/jocn.1997.9.4.462.
6
The dynamic nature of top-down signals originating from prefrontal cortex: a combined fMRI-TMS study.源自前额叶皮层的自上而下信号的动态性质:一项 fMRI-TMS 联合研究。
J Neurosci. 2012 Oct 31;32(44):15458-66. doi: 10.1523/JNEUROSCI.0627-12.2012.
7
Neuroplastic modulation of inhibitory motor cortical networks by spaced theta burst stimulation protocols.经空间 theta 爆发刺激方案对抑制性运动皮质网络的神经可塑性调节。
Brain Stimul. 2013 May;6(3):340-5. doi: 10.1016/j.brs.2012.06.005. Epub 2012 Jul 5.
8
Frontal and parietal theta burst TMS impairs working memory for visual-spatial conjunctions.额顶叶 theta 爆发经颅磁刺激损伤视觉空间联合的工作记忆。
Brain Stimul. 2013 Mar;6(2):122-9. doi: 10.1016/j.brs.2012.03.001. Epub 2012 Mar 19.
9
Modelling neural correlates of working memory: a coordinate-based meta-analysis.工作记忆的神经相关建模:基于坐标的荟萃分析。
Neuroimage. 2012 Mar;60(1):830-46. doi: 10.1016/j.neuroimage.2011.11.050. Epub 2011 Dec 1.
10
Transcranial magnetic stimulation intensities in cognitive paradigms.经颅磁刺激强度在认知范式中的应用。
PLoS One. 2011;6(9):e24836. doi: 10.1371/journal.pone.0024836. Epub 2011 Sep 29.