Suppr超能文献

烃类污染海洋沉积物中硫酸盐还原菌对环己烷的厌氧降解。

Anaerobic degradation of cyclohexane by sulfate-reducing bacteria from hydrocarbon-contaminated marine sediments.

机构信息

Department of Microbiology, Max Planck Institute for Marine Microbiology Bremen, Germany.

Organic Geochemistry, Helmholtz Centre Potsdam GFZ German Research Centre for Geosciences Potsdam, Germany.

出版信息

Front Microbiol. 2015 Feb 20;6:116. doi: 10.3389/fmicb.2015.00116. eCollection 2015.

Abstract

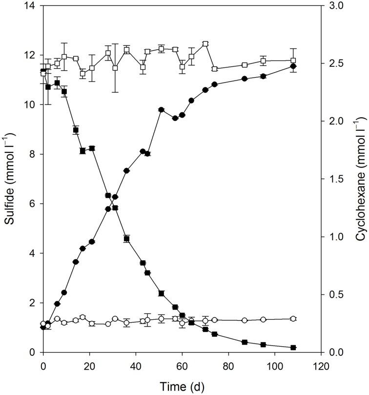
The fate of cyclohexane, often used as a model compound for the biodegradation of cyclic alkanes due to its abundance in crude oils, in anoxic marine sediments has been poorly investigated. In the present study, we obtained an enrichment culture of cyclohexane-degrading sulfate-reducing bacteria from hydrocarbon-contaminated intertidal marine sediments. Microscopic analyses showed an apparent dominance by oval cells of 1.5 × 0.8 μm. Analysis of a 16S rRNA gene library, followed by whole-cell hybridization with group- and sequence-specific oligonucleotide probes showed that these cells belonged to a single phylotype, and were accounting for more than 80% of the total cell number. The dominant phylotype, affiliated with the Desulfosarcina-Desulfococcus cluster of the Deltaproteobacteria, is proposed to be responsible for the degradation of cyclohexane. Quantitative growth experiments showed that cyclohexane degradation was coupled with the stoichiometric reduction of sulfate to sulfide. Substrate response tests corroborated with hybridization with a sequence-specific oligonucleotide probe suggested that the dominant phylotype apparently was able to degrade other cyclic and n-alkanes, including the gaseous alkane n-butane. Based on GC-MS analyses of culture extracts cyclohexylsuccinate was identified as a metabolite, indicating an activation of cyclohexane by addition to fumarate. Other metabolites detected were 3-cyclohexylpropionate and cyclohexanecarboxylate providing evidence that the overall degradation pathway of cyclohexane under anoxic conditions is analogous to that of n-alkanes.

摘要

环己烷常被用作环状烷烃生物降解的模型化合物,因其在原油中含量丰富,因此在缺氧海洋沉积物中的命运研究甚少。本研究从烃类污染的潮间带海洋沉积物中获得了环己烷降解硫酸盐还原菌的富集培养物。显微镜分析显示,1.5×0.8μm 的椭圆形细胞明显占优势。16S rRNA 基因文库分析,随后用群特异性和序列特异性寡核苷酸探针进行全细胞杂交表明,这些细胞属于单一的类群,占总细胞数的 80%以上。优势类群与δ变形菌的脱硫弧菌-脱硫球菌群密切相关,被认为是环己烷降解的主要原因。定量生长实验表明,环己烷降解与硫酸盐的化学计量还原为硫化物偶联。底物响应试验与序列特异性寡核苷酸探针的杂交结果表明,优势类群显然能够降解其他环状和正构烷烃,包括气态烷烃正丁烷。根据培养物提取物的 GC-MS 分析,鉴定出环己基琥珀酸为代谢产物,表明环己烷通过与富马酸加成而被激活。检测到的其他代谢产物为 3-环己基丙酸酯和环己烷羧酸酯,这表明在缺氧条件下环己烷的总体降解途径与正构烷烃类似。

https://cdn.ncbi.nlm.nih.gov/pmc/blobs/4b7c/4352924/04ae0f6bf0fe/fmicb-06-00116-g0001.jpg

文献AI研究员

20分钟写一篇综述,助力文献阅读效率提升50倍。

立即体验

用中文搜PubMed

大模型驱动的PubMed中文搜索引擎

马上搜索

文档翻译

学术文献翻译模型,支持多种主流文档格式。

立即体验