• 文献检索
  • 文档翻译
  • 深度研究
  • 学术资讯
  • Suppr Zotero 插件Zotero 插件
  • 邀请有礼
  • 套餐&价格
  • 历史记录
应用&插件
Suppr Zotero 插件Zotero 插件浏览器插件Mac 客户端Windows 客户端微信小程序
定价
高级版会员购买积分包购买API积分包
服务
文献检索文档翻译深度研究API 文档MCP 服务
关于我们
关于 Suppr公司介绍联系我们用户协议隐私条款
关注我们

Suppr 超能文献

核心技术专利:CN118964589B侵权必究
粤ICP备2023148730 号-1Suppr @ 2026

文献检索

告别复杂PubMed语法,用中文像聊天一样搜索,搜遍4000万医学文献。AI智能推荐,让科研检索更轻松。

立即免费搜索

文件翻译

保留排版,准确专业,支持PDF/Word/PPT等文件格式,支持 12+语言互译。

免费翻译文档

深度研究

AI帮你快速写综述,25分钟生成高质量综述,智能提取关键信息,辅助科研写作。

立即免费体验

用于多级柔性有机闪存的协同高电荷存储容量

Synergistic High Charge-Storage Capacity for Multi-level Flexible Organic Flash Memory.

作者信息

Kang Minji, Khim Dongyoon, Park Won-Tae, Kim Jihong, Kim Juhwan, Noh Yong-Young, Baeg Kang-Jun, Kim Dong-Yu

机构信息

Heeger Center for Advanced Materials, School of Materials Science and Engineering, Gwangju Institute of Science and Technology (GIST), 261 Cheomdan-gwagiro, Buk-gu, Gwangju 500-712, Republic of Korea.

Department of Physics, Blackett Laboratory, Imperial College London, London, SW7 2AZ, UK.

出版信息

Sci Rep. 2015 Jul 23;5:12299. doi: 10.1038/srep12299.

DOI:10.1038/srep12299
PMID:26201747
原文链接:https://pmc.ncbi.nlm.nih.gov/articles/PMC4511867/
Abstract

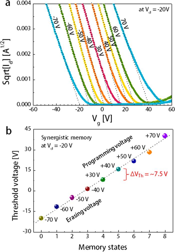
Electret and organic floating-gate memories are next-generation flash storage mediums for printed organic complementary circuits. While each flash memory can be easily fabricated using solution processes on flexible plastic substrates, promising their potential for on-chip memory organization is limited by unreliable bit operation and high write loads. We here report that new architecture could improve the overall performance of organic memory, and especially meet high storage for multi-level operation. Our concept depends on synergistic effect of electrical characterization in combination with a polymer electret (poly(2-vinyl naphthalene) (PVN)) and metal nanoparticles (Copper). It is distinguished from mostly organic nano-floating-gate memories by using the electret dielectric instead of general tunneling dielectric for additional charge storage. The uniform stacking of organic layers including various dielectrics and poly(3-hexylthiophene) (P3HT) as an organic semiconductor, followed by thin-film coating using orthogonal solvents, greatly improve device precision despite easy and fast manufacture. Poly(vinylidene fluoride-trifluoroethylene) [P(VDF-TrFE)] as high-k blocking dielectric also allows reduction of programming voltage. The reported synergistic organic memory devices represent low power consumption, high cycle endurance, high thermal stability and suitable retention time, compared to electret and organic nano-floating-gate memory devices.

摘要

驻极体和有机浮栅存储器是用于印刷有机互补电路的下一代闪存存储介质。虽然每个闪存都可以很容易地在柔性塑料基板上使用溶液工艺制造,但其用于片上存储器组织的潜力受到不可靠的位操作和高写入负载的限制。我们在此报告,新架构可以提高有机存储器的整体性能,特别是满足多级操作的高存储需求。我们的概念依赖于聚合物驻极体(聚(2-乙烯基萘)(PVN))和金属纳米颗粒(铜)结合的电学特性的协同效应。它与大多数有机纳米浮栅存储器的区别在于,使用驻极体电介质而不是普通的隧穿电介质来进行额外的电荷存储。包括各种电介质和作为有机半导体的聚(3-己基噻吩)(P3HT)的有机层的均匀堆叠,随后使用正交溶剂进行薄膜涂层,尽管制造简单快速,但大大提高了器件精度。聚(偏二氟乙烯-三氟乙烯)[P(VDF-TrFE)]作为高k阻挡电介质也允许降低编程电压。与驻极体和有机纳米浮栅存储器件相比,所报道的协同有机存储器件具有低功耗、高循环耐久性、高热稳定性和合适的保留时间。

https://cdn.ncbi.nlm.nih.gov/pmc/blobs/a0b7/4511867/a8ff71de5337/srep12299-f4.jpg
https://cdn.ncbi.nlm.nih.gov/pmc/blobs/a0b7/4511867/ab0c6a6abca8/srep12299-f1.jpg
https://cdn.ncbi.nlm.nih.gov/pmc/blobs/a0b7/4511867/bc8727fdc3fa/srep12299-f2.jpg
https://cdn.ncbi.nlm.nih.gov/pmc/blobs/a0b7/4511867/a81e44a0fe5b/srep12299-f3.jpg
https://cdn.ncbi.nlm.nih.gov/pmc/blobs/a0b7/4511867/a8ff71de5337/srep12299-f4.jpg
https://cdn.ncbi.nlm.nih.gov/pmc/blobs/a0b7/4511867/ab0c6a6abca8/srep12299-f1.jpg
https://cdn.ncbi.nlm.nih.gov/pmc/blobs/a0b7/4511867/bc8727fdc3fa/srep12299-f2.jpg
https://cdn.ncbi.nlm.nih.gov/pmc/blobs/a0b7/4511867/a81e44a0fe5b/srep12299-f3.jpg
https://cdn.ncbi.nlm.nih.gov/pmc/blobs/a0b7/4511867/a8ff71de5337/srep12299-f4.jpg

相似文献

1
Synergistic High Charge-Storage Capacity for Multi-level Flexible Organic Flash Memory.用于多级柔性有机闪存的协同高电荷存储容量
Sci Rep. 2015 Jul 23;5:12299. doi: 10.1038/srep12299.
2
Solution-processable low-voltage and flexible floating-gate memories based on an n-type polymer semiconductor and high-k polymer gate dielectrics.基于 n 型聚合物半导体和高 k 聚合物栅介质的溶液处理型低压和柔性浮栅存储器。
ACS Appl Mater Interfaces. 2014 Aug 13;6(15):12815-20. doi: 10.1021/am5028007. Epub 2014 Jul 25.
3
Organic one-transistor-type nonvolatile memory gated with thin ionic liquid-polymer film for low voltage operation.用于低电压操作的、由薄离子液体聚合物薄膜栅控的有机单晶体管型非易失性存储器。
ACS Appl Mater Interfaces. 2014 Nov 26;6(22):20179-87. doi: 10.1021/am505750v. Epub 2014 Nov 6.
4
Highly reliable top-gated thin-film transistor memory with semiconducting, tunneling, charge-trapping, and blocking layers all of flexible polymers.具有由柔性聚合物构成的半导体层、隧穿层、电荷俘获层和阻挡层的高度可靠的顶栅薄膜晶体管存储器。
ACS Appl Mater Interfaces. 2015 May 27;7(20):10957-65. doi: 10.1021/acsami.5b02213. Epub 2015 May 15.
5
High-Performance Flexible Organic Nano-Floating Gate Memory Devices Functionalized with Cobalt Ferrite Nanoparticles.基于钴铁氧体纳米粒子功能化的高性能柔性有机纳浮栅存储器件。
Small. 2015 Oct 7;11(37):4976-84. doi: 10.1002/smll.201501382. Epub 2015 Jul 7.
6
Stable charge storing in two-dimensional MoS2 nanoflake floating gates for multilevel organic flash memory.二维MoS₂纳米片浮栅用于多级有机闪存的稳定电荷存储
Nanoscale. 2014 Nov 7;6(21):12315-23. doi: 10.1039/c4nr03448a.
7
Controlled charge transport by polymer blend dielectrics in top-gate organic field-effect transistors for low-voltage-operating complementary circuits.通过在顶栅有机场效应晶体管中的聚合物共混电介质来控制电荷输运,以实现低电压工作的互补电路。
ACS Appl Mater Interfaces. 2012 Nov;4(11):6176-84. doi: 10.1021/am301793m. Epub 2012 Oct 17.
8
Organic flash memory on various flexible substrates for foldable and disposable electronics.用于可折叠和一次性电子产品的各种柔性基板上的有机闪存。
Nat Commun. 2017 Sep 28;8(1):725. doi: 10.1038/s41467-017-00805-z.
9
Low-voltage-operated organic one-time programmable memory using printed organic thin-film transistors and antifuse capacitors.采用印刷有机薄膜晶体管和反熔丝电容器的低压操作有机一次性可编程存储器。
J Nanosci Nanotechnol. 2014 Nov;14(11):8167-70. doi: 10.1166/jnn.2014.9880.
10
All-solution-processed nonvolatile flexible nano-floating gate memory devices.全溶液处理的非易失性柔性纳米浮栅存储器件。
Nanotechnology. 2014 Jan 10;25(1):014016. doi: 10.1088/0957-4484/25/1/014016. Epub 2013 Dec 11.

引用本文的文献

1
High-Density, Nonvolatile, Flexible Multilevel Organic Memristor Using Multilayered Polymer Semiconductors.使用多层聚合物半导体的高密度、非易失性、柔性多层有机忆阻器。
ACS Appl Mater Interfaces. 2024 May 1;16(17):22282-22293. doi: 10.1021/acsami.4c03111. Epub 2024 Apr 21.
2
Vertically stacked, low-voltage organic ternary logic circuits including nonvolatile floating-gate memory transistors.包括非易失性浮栅存储器晶体管的垂直堆叠式低压有机三元逻辑电路。
Nat Commun. 2022 Apr 28;13(1):2305. doi: 10.1038/s41467-022-29756-w.
3
Recent Advances on Multivalued Logic Gates: A Materials Perspective.

本文引用的文献

1
Wearable electronics and smart textiles: a critical review.可穿戴电子产品与智能纺织品:批判性综述
Sensors (Basel). 2014 Jul 7;14(7):11957-92. doi: 10.3390/s140711957.
2
Fully-printed high-performance organic thin-film transistors and circuitry on one-micron-thick polymer films.在 1 微米厚的聚合物薄膜上实现全印刷高性能有机薄膜晶体管和电路。
Nat Commun. 2014 Jun 20;5:4147. doi: 10.1038/ncomms5147.
3
Multifunctional wearable devices for diagnosis and therapy of movement disorders.多功能可穿戴设备,用于运动障碍的诊断和治疗。
多值逻辑门的最新进展:材料视角
Adv Sci (Weinh). 2021 Feb 26;8(8):2004216. doi: 10.1002/advs.202004216. eCollection 2021 Apr.
4
Recent progress of defect chemistry on 2D materials for advanced battery anodes.用于先进电池阳极的二维材料缺陷化学的最新进展。
Chem Asian J. 2020 Nov 2;15(21):3390-3404. doi: 10.1002/asia.202000908. Epub 2020 Sep 30.
5
Giant renormalization of dopant impurity levels in 2D semiconductor MoS.二维半导体二硫化钼中掺杂杂质能级的巨大重整化
Sci Rep. 2020 Mar 18;10(1):4938. doi: 10.1038/s41598-020-61675-y.
6
ZnO composite nanolayer with mobility edge quantization for multi-value logic transistors.具有迁移率边缘量子化的用于多值逻辑晶体管的氧化锌复合纳米层。
Nat Commun. 2019 Apr 30;10(1):1998. doi: 10.1038/s41467-019-09998-x.
7
High-Performance Nonvolatile Organic Field-Effect Transistor Memory Based on Organic Semiconductor Heterostructures of Pentacene/P13/Pentacene as Both Charge Transport and Trapping Layers.基于并五苯/P13/并五苯有机半导体异质结构的高性能非易失性有机场效应晶体管存储器,该异质结构同时作为电荷传输层和俘获层
Adv Sci (Weinh). 2017 Jun 4;4(8):1700007. doi: 10.1002/advs.201700007. eCollection 2017 Aug.
Nat Nanotechnol. 2014 May;9(5):397-404. doi: 10.1038/nnano.2014.38. Epub 2014 Mar 30.
4
Materials and structures for stretchable energy storage and conversion devices.可拉伸储能和转换器件的材料和结构。
Adv Mater. 2014 Jun 11;26(22):3592-617. doi: 10.1002/adma.201305919. Epub 2014 Mar 18.
5
Silk-molded flexible, ultrasensitive, and highly stable electronic skin for monitoring human physiological signals.用于监测人体生理信号的丝模柔性、超灵敏、高稳定的电子皮肤。
Adv Mater. 2014 Mar 5;26(9):1336-42. doi: 10.1002/adma.201304248. Epub 2013 Dec 17.
6
25th anniversary article: A soft future: from robots and sensor skin to energy harvesters.25 周年纪念文章:柔性的未来:从机器人和传感器皮肤到能量收集器。
Adv Mater. 2014 Jan 8;26(1):149-61. doi: 10.1002/adma.201303349. Epub 2013 Nov 4.
7
Flexible and twistable non-volatile memory cell array with all-organic one diode-one resistor architecture.具有全有机一二极管一电阻器结构的灵活可扭曲非易失性存储单元阵列。
Nat Commun. 2013;4:2707. doi: 10.1038/ncomms3707.
8
Nonvolatile multilevel data storage memory device from controlled ambipolar charge trapping mechanism.基于控制双极性电荷俘获机制的非易失性多电平数据存储存储器件。
Sci Rep. 2013;3:2319. doi: 10.1038/srep02319.
9
Organic light detectors: photodiodes and phototransistors.有机光探测器:光电二极管和光电晶体管。
Adv Mater. 2013 Aug 21;25(31):4267-95. doi: 10.1002/adma.201204979. Epub 2013 Mar 11.
10
Stretchable batteries with self-similar serpentine interconnects and integrated wireless recharging systems.具有自相似蛇形互连和集成无线充电系统的可拉伸电池。
Nat Commun. 2013;4:1543. doi: 10.1038/ncomms2553.