Han Lifeng, Shi Pingping, Dong Yongzhe, Wang Tingting, Li Xiaoxia, Hao Jia, Zhang Yi, Wang Tao
Tianjin Key Laboratory of TCM Chemistry and Analysis, Institute of Traditional Chinese Medicine, Tianjin University of Traditional Chinese Medicine, 312 Anshan Road, Nankai District, Tianjin 300193, China.
Tianjin State Key Laboratory of Modern Chinese Medicine, Tianjin University of Traditional Chinese Medicine, 312 Anshanxi Road, Nankai District, Tianjin 300193, China.
Molecules. 2015 Aug 3;20(8):13982-96. doi: 10.3390/molecules200813982.
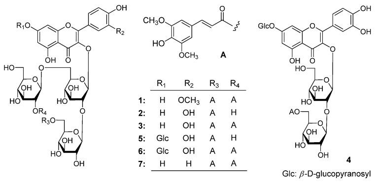
Seven new rare sinapoyl acylated flavonoid glycosides, apetalumosides A1 (1), B8 (2), B9 (3), B10 (4), B11 (5), B12 (6), and C1 (7) were isolated from the seeds of Lepidium apetalum Willd. Their structures were elucidated by chemical and spectroscopic methods.
从独行菜种子中分离出7种新的罕见的芥子酰基酰化黄酮苷,即无瓣芥子苷A1(1)、B8(2)、B9(3)、B10(4)、B11(5)、B12(6)和C1(7)。通过化学和光谱方法阐明了它们的结构。