Suppr超能文献

重新评估病媒指数阈值作为预测登革热非流行国家登革热疫情的早期预警工具。

Re-assess Vector Indices Threshold as an Early Warning Tool for Predicting Dengue Epidemic in a Dengue Non-endemic Country.

作者信息

Chang Fong-Shue, Tseng Yao-Ting, Hsu Pi-Shan, Chen Chaur-Dong, Lian Ie-Bin, Chao Day-Yu

机构信息

Graduate Institute of Microbiology and Public Health, College of Veterinary Medicine, National Chung-Hsing University, Taichung, Taiwan.

Graduate Institute of Statistics and Information Science, National Changhua University of Education, Changhua, Taiwan.

出版信息

PLoS Negl Trop Dis. 2015 Sep 14;9(9):e0004043. doi: 10.1371/journal.pntd.0004043. eCollection 2015.

Abstract

BACKGROUND

Despite dengue dynamics being driven by complex interactions between human hosts, mosquito vectors and viruses that are influenced by climate factors, an operational model that will enable health authorities to anticipate the outbreak risk in a dengue non-endemic area has not been developed. The objectives of this study were to evaluate the temporal relationship between meteorological variables, entomological surveillance indices and confirmed dengue cases; and to establish the threshold for entomological surveillance indices including three mosquito larval indices [Breteau (BI), Container (CI) and House indices (HI)] and one adult index (AI) as an early warning tool for dengue epidemic.

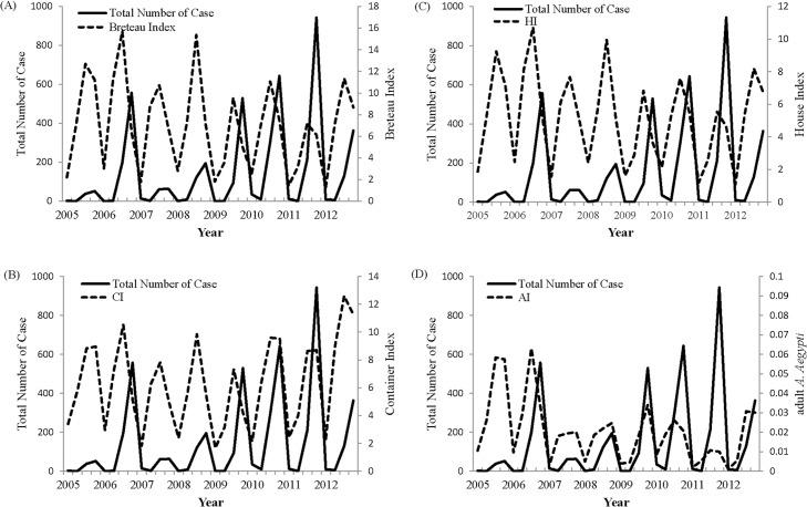
METHODOLOGY/PRINCIPAL FINDINGS: Epidemiological, entomological and meteorological data were analyzed from 2005 to 2012 in Kaohsiung City, Taiwan. The successive waves of dengue outbreaks with different magnitudes were recorded in Kaohsiung City, and involved a dominant serotype during each epidemic. The annual indigenous dengue cases usually started from May to June and reached a peak in October to November. Vector data from 2005-2012 showed that the peak of the adult mosquito population was followed by a peak in the corresponding dengue activity with a lag period of 1-2 months. Therefore, we focused the analysis on the data from May to December and the high risk district, where the inspection of the immature and mature mosquitoes was carried out on a weekly basis and about 97.9% dengue cases occurred. The two-stage model was utilized here to estimate the risk and time-lag effect of annual dengue outbreaks in Taiwan. First, Poisson regression was used to select the optimal subset of variables and time-lags for predicting the number of dengue cases, and the final results of the multivariate analysis were selected based on the smallest AIC value. Next, each vector index models with selected variables were subjected to multiple logistic regression models to examine the accuracy of predicting the occurrence of dengue cases. The results suggested that Model-AI, BI, CI and HI predicted the occurrence of dengue cases with 83.8, 87.8, 88.3 and 88.4% accuracy, respectively. The predicting threshold based on individual Model-AI, BI, CI and HI was 0.97, 1.16, 1.79 and 0.997, respectively.

CONCLUSION/SIGNIFICANCE: There was little evidence of quantifiable association among vector indices, meteorological factors and dengue transmission that could reliably be used for outbreak prediction. Our study here provided the proof-of-concept of how to search for the optimal model and determine the threshold for dengue epidemics. Since those factors used for prediction varied, depending on the ecology and herd immunity level under different geological areas, different thresholds may be developed for different countries using a similar structure of the two-stage model.

摘要

背景

尽管登革热的传播动态受到人类宿主、蚊媒和病毒之间复杂相互作用的驱动,而这些相互作用又受到气候因素的影响,但尚未开发出一种可使卫生当局预测登革热非流行地区爆发风险的实用模型。本研究的目的是评估气象变量、昆虫学监测指标与确诊登革热病例之间的时间关系;并确定昆虫学监测指标的阈值,包括三个蚊虫幼虫指标[布雷图指数(BI)、容器指数(CI)和房屋指数(HI)]和一个成虫指数(AI),作为登革热疫情的早期预警工具。

方法/主要发现:对2005年至2012年台湾高雄市的流行病学、昆虫学和气象数据进行了分析。高雄市记录到了不同规模的连续几波登革热疫情,每次疫情都涉及一种优势血清型。每年的本地登革热病例通常从5月至6月开始,10月至11月达到高峰。2005 - 2012年的病媒数据显示,成蚊数量高峰之后,相应的登革热活动高峰会有1 - 2个月的滞后。因此,我们将分析重点放在5月至12月的数据以及高风险地区,该地区每周对未成熟和成熟蚊虫进行检查,约97.9%的登革热病例在此发生。这里使用两阶段模型来估计台湾年度登革热疫情的风险和时间滞后效应。首先,使用泊松回归选择预测登革热病例数的最佳变量子集和时间滞后,基于最小AIC值选择多变量分析的最终结果。接下来,将具有选定变量的每个病媒指数模型纳入多元逻辑回归模型,以检验预测登革热病例发生的准确性。结果表明,模型 - AI、BI、CI和HI预测登革热病例发生的准确率分别为83.8%、87.8%、88.3%和88.4%。基于单个模型 - AI、BI、CI和HI的预测阈值分别为0.97、1.16、1.79和0.997。

结论/意义:几乎没有证据表明病媒指数、气象因素与登革热传播之间存在可量化的关联从而能可靠地用于疫情预测。我们的研究提供了如何寻找最佳模型以及确定登革热疫情阈值的概念验证。由于用于预测的这些因素因不同地理区域的生态和群体免疫水平而异,使用类似结构的两阶段模型可为不同国家制定不同的阈值。

https://cdn.ncbi.nlm.nih.gov/pmc/blobs/0a43/4569482/3c17107eb2ba/pntd.0004043.g001.jpg

相似文献

1
Re-assess Vector Indices Threshold as an Early Warning Tool for Predicting Dengue Epidemic in a Dengue Non-endemic Country.
PLoS Negl Trop Dis. 2015 Sep 14;9(9):e0004043. doi: 10.1371/journal.pntd.0004043. eCollection 2015.
2
Climate-based models for understanding and forecasting dengue epidemics.
PLoS Negl Trop Dis. 2012;6(2):e1470. doi: 10.1371/journal.pntd.0001470. Epub 2012 Feb 14.
4
The Critical Role of Early Dengue Surveillance and Limitations of Clinical Reporting - Implications for Non-Endemic Countries.
PLoS One. 2016 Aug 8;11(8):e0160230. doi: 10.1371/journal.pone.0160230. eCollection 2016.
5
Evaluation of the Effects of Vector Indices and Climatic Factors on Dengue Incidence in Gampaha District, Sri Lanka.
Biomed Res Int. 2019 Jan 31;2019:2950216. doi: 10.1155/2019/2950216. eCollection 2019.
7
Assessment of risk of dengue and yellow fever virus transmission in three major Kenyan cities based on Stegomyia indices.
PLoS Negl Trop Dis. 2017 Aug 17;11(8):e0005858. doi: 10.1371/journal.pntd.0005858. eCollection 2017 Aug.
10
Climate variability and Aedes vector indices in the southern Philippines: An empirical analysis.
PLoS Negl Trop Dis. 2022 Jun 14;16(6):e0010478. doi: 10.1371/journal.pntd.0010478. eCollection 2022 Jun.

引用本文的文献

5
Innovative applications of artificial intelligence in zoonotic disease management.
Sci One Health. 2023 Nov 3;2:100045. doi: 10.1016/j.soh.2023.100045. eCollection 2023.
6
Current and lagged associations of meteorological variables and Aedes mosquito indices with dengue incidence in the Philippines.
PLoS Negl Trop Dis. 2024 Jul 23;18(7):e0011603. doi: 10.1371/journal.pntd.0011603. eCollection 2024 Jul.
8
The convergence epidemic volatility index (cEVI) as an alternative early warning tool for identifying waves in an epidemic.
Infect Dis Model. 2023 May 7;8(2):484-490. doi: 10.1016/j.idm.2023.05.001. eCollection 2023 Jun.
9
A systematic review of published literature on mosquito control action thresholds across the world.
PLoS Negl Trop Dis. 2023 Mar 3;17(3):e0011173. doi: 10.1371/journal.pntd.0011173. eCollection 2023 Mar.
10
A systematic review of dengue outbreak prediction models: Current scenario and future directions.
PLoS Negl Trop Dis. 2023 Feb 13;17(2):e0010631. doi: 10.1371/journal.pntd.0010631. eCollection 2023 Feb.

本文引用的文献

2
Challenges encountered using standard vector control measures for dengue in Boa Vista, Brazil.
Bull World Health Organ. 2014 Sep 1;92(9):685-9. doi: 10.2471/BLT.13.119081. Epub 2014 Jul 24.
3
Epidemiological trends of dengue disease in Thailand (2000-2011): a systematic literature review.
PLoS Negl Trop Dis. 2014 Nov 6;8(11):e3241. doi: 10.1371/journal.pntd.0003241. eCollection 2014.
4
A probabilistic spatial dengue fever risk assessment by a threshold-based-quantile regression method.
PLoS One. 2014 Oct 10;9(10):e106334. doi: 10.1371/journal.pone.0106334. eCollection 2014.
5
Aedes aegypti salivary protein "aegyptin" co-inoculation modulates dengue virus infection in the vertebrate host.
Virology. 2014 Nov;468-470:133-139. doi: 10.1016/j.virol.2014.07.019. Epub 2014 Aug 28.
7
Spatial distribution of the risk of dengue and the entomological indicators in Sumaré, state of São Paulo, Brazil.
PLoS Negl Trop Dis. 2014 May 15;8(5):e2873. doi: 10.1371/journal.pntd.0002873. eCollection 2014 May.
8
Assessing the relationship between vector indices and dengue transmission: a systematic review of the evidence.
PLoS Negl Trop Dis. 2014 May 8;8(5):e2848. doi: 10.1371/journal.pntd.0002848. eCollection 2014 May.
9
Climate change and dengue: a critical and systematic review of quantitative modelling approaches.
BMC Infect Dis. 2014 Mar 26;14:167. doi: 10.1186/1471-2334-14-167.

文献AI研究员

20分钟写一篇综述,助力文献阅读效率提升50倍。

立即体验

用中文搜PubMed

大模型驱动的PubMed中文搜索引擎

马上搜索

文档翻译

学术文献翻译模型,支持多种主流文档格式。

立即体验