Suppr超能文献

利用可食用真菌间型新小绥螨和米曲霉从乙醇厂副产品中提取乙醇和蛋白质。

Ethanol and Protein from Ethanol Plant By-Products Using Edible Fungi Neurospora intermedia and Aspergillus oryzae.

作者信息

Bátori Veronika, Ferreira Jorge A, Taherzadeh Mohammad J, Lennartsson Patrik R

机构信息

Swedish Centre for Resource Recovery, University of Borås, 501 90 Borås, Sweden ; Faculty of Forestry, University of West Hungary, Sopron 9400, Hungary.

Swedish Centre for Resource Recovery, University of Borås, 501 90 Borås, Sweden.

出版信息

Biomed Res Int. 2015;2015:176371. doi: 10.1155/2015/176371. Epub 2015 Nov 23.

Abstract

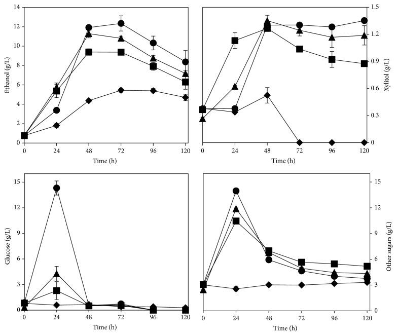
Feasible biorefineries for production of second-generation ethanol are difficult to establish due to the process complexity. An alternative is to partially include the process in the first-generation plants. Whole stillage, a by-product from dry-mill ethanol processes from grains, is mostly composed of undegraded bran and lignocelluloses can be used as a potential substrate for production of ethanol and feed proteins. Ethanol production and the proteins from the stillage were investigated using the edible fungi Neurospora intermedia and Aspergillus oryzae, respectively. N. intermedia produced 4.7 g/L ethanol from the stillage and increased to 8.7 g/L by adding 1 FPU of cellulase/g suspended solids. Saccharomyces cerevisiae produced 0.4 and 5.1 g/L ethanol, respectively. Under a two-stage cultivation with both fungi, up to 7.6 g/L of ethanol and 5.8 g/L of biomass containing 42% (w/w) crude protein were obtained. Both fungi degraded complex substrates including arabinan, glucan, mannan, and xylan where reductions of 91, 73, 38, and 89% (w/v) were achieved, respectively. The inclusion of the current process can lead to the production of 44,000 m(3) of ethanol (22% improvement), around 12,000 tons of protein-rich biomass for animal feed, and energy savings considering a typical facility producing 200,000 m(3) ethanol/year.

摘要

由于工艺复杂,用于生产第二代乙醇的可行生物精炼厂难以建立。一种替代方法是在第一代工厂中部分纳入该工艺。全酒糟是谷物干磨乙醇工艺的副产品,主要由未降解的麸皮组成,木质纤维素可作为生产乙醇和饲料蛋白的潜在底物。分别使用食用菌间型脉孢菌和米曲霉研究了酒糟的乙醇生产和蛋白情况。间型脉孢菌从酒糟中生产出4.7克/升乙醇,通过添加1 FPU纤维素酶/克悬浮固体,乙醇产量提高到8.7克/升。酿酒酵母分别生产出0.4克/升和5.1克/升乙醇。在两种真菌的两阶段培养下,获得了高达7.6克/升的乙醇和5.8克/升含42%(w/w)粗蛋白的生物质。两种真菌都降解了包括阿拉伯聚糖、葡聚糖、甘露聚糖和木聚糖在内的复杂底物,降解率分别达到91%、73%、38%和89%(w/v)。纳入当前工艺可生产44000立方米乙醇(提高22%),约12000吨富含蛋白质的动物饲料生物质,并为年生产200000立方米乙醇的典型工厂节省能源。

https://cdn.ncbi.nlm.nih.gov/pmc/blobs/2661/4670849/979980f33971/BMRI2015-176371.001.jpg

文献AI研究员

20分钟写一篇综述,助力文献阅读效率提升50倍。

立即体验

用中文搜PubMed

大模型驱动的PubMed中文搜索引擎

马上搜索

文档翻译

学术文献翻译模型,支持多种主流文档格式。

立即体验