Suppr超能文献

1972年布歇所描述的安德爱胜蚓在热带人工土壤中对AMPA的毒性反应

Toxicity of AMPA to the earthworm Eisenia andrei Bouché, 1972 in tropical artificial soil.

作者信息

Domínguez Anahí, Brown George Gardner, Sautter Klaus Dieter, de Oliveira Cintia Mara Ribas, de Vasconcelos Eliane Carvalho, Niva Cintia Carla, Bartz Marie Luise Carolina, Bedano José Camilo

机构信息

CONICET - Geology Department, National University of Rio Cuarto, 5804 Rio Cuarto, Argentina.

Embrapa Florestas, 83411-000 Colombo-PR, Brazil.

出版信息

Sci Rep. 2016 Jan 21;6:19731. doi: 10.1038/srep19731.

Abstract

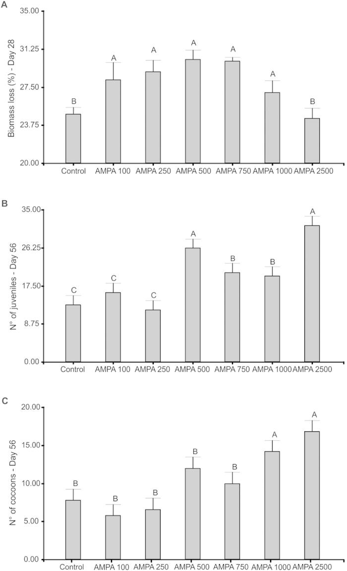
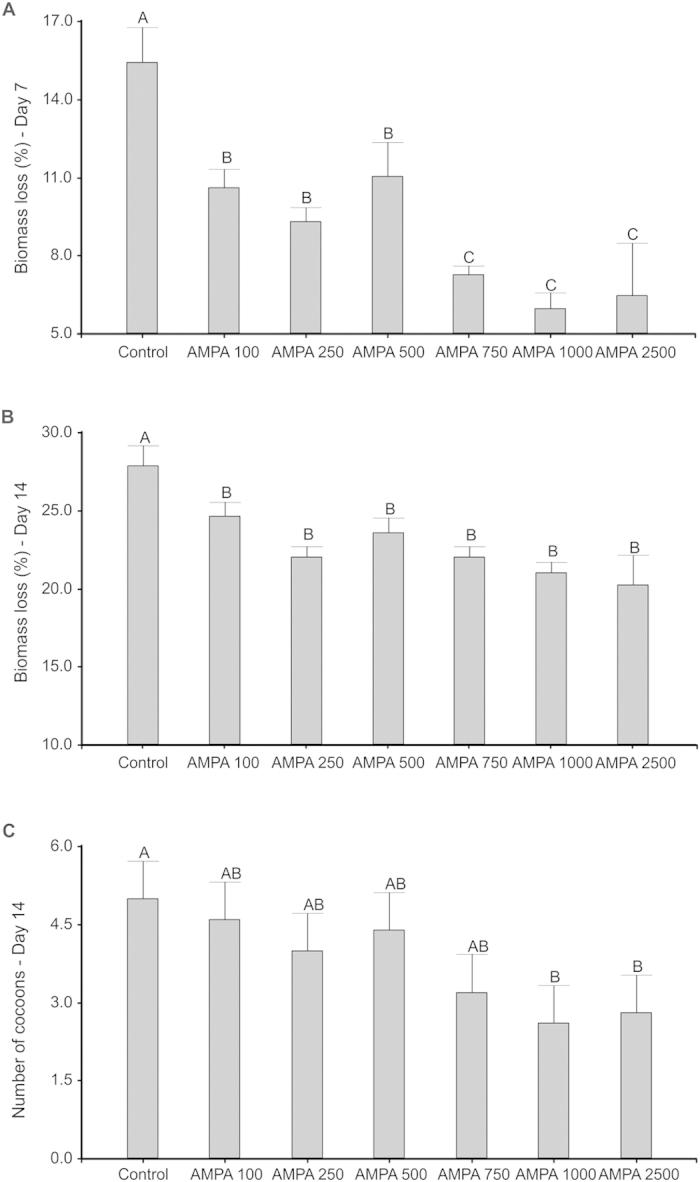
Aminomethylphosphonic acid (AMPA) - one of glyphosate's main metabolites - has been classified as persistent in soils, raising concern regarding the widespread use of glyphosate in agriculture and forestry. Glyphosate may have negative or neutral effects on soil biota, but no information is available on the toxicity of AMPA to soil invertebrates. Therefore our aim was to study the effect of AMPA on mortality and reproduction of the earthworm species Eisenia andrei using standard soil ecotoxicological methods (ISO). Field-relevant concentrations of AMPA had no significant effects on mortality in acute or chronic assays. Except at the highest concentration tested, a significant biomass loss was observed compared to controls in the chronic assay. The number of juveniles and cocoons increased with higher concentrations of AMPA applied, but their mean weights decreased. This mass loss indicates higher sensitivity of juveniles than adults to AMPA. Our results suggest that earthworms coming from parents grown in contaminated soils may have reduced growth, limiting their beneficial roles in key soil ecosystem functions. Nevertheless, further research is needed to better understand the mechanisms underlying the sublethal effects observed here.

摘要

氨甲基膦酸(AMPA)——草甘膦的主要代谢产物之一——已被归类为在土壤中具有持久性,这引发了人们对草甘膦在农业和林业中广泛使用的担忧。草甘膦可能对土壤生物群有负面或中性影响,但关于AMPA对土壤无脊椎动物毒性的信息却尚无定论。因此,我们的目的是使用标准土壤生态毒理学方法(ISO)研究AMPA对蚯蚓品种安德爱胜蚓死亡率和繁殖的影响。与田间相关的AMPA浓度在急性或慢性试验中对死亡率均无显著影响。除了在测试的最高浓度下,在慢性试验中观察到与对照组相比有显著的生物量损失。随着AMPA施用量的增加,幼蚓和茧的数量增加,但其平均重量下降。这种质量损失表明幼蚓比成蚓对AMPA更敏感。我们的研究结果表明,来自在受污染土壤中生长的亲本的蚯蚓可能生长受限,从而限制了它们在关键土壤生态系统功能中的有益作用。然而,需要进一步研究以更好地理解此处观察到的亚致死效应背后的机制。

https://cdn.ncbi.nlm.nih.gov/pmc/blobs/c437/4726205/2765ca37408c/srep19731-f1.jpg

文献AI研究员

20分钟写一篇综述,助力文献阅读效率提升50倍。

立即体验

用中文搜PubMed

大模型驱动的PubMed中文搜索引擎

马上搜索

文档翻译

学术文献翻译模型,支持多种主流文档格式。

立即体验