Suppr超能文献

尼泊尔巴克塔普尔母乳喂养婴儿的维生素状况

Vitamin Status among Breastfed Infants in Bhaktapur, Nepal.

作者信息

Ulak Manjeswori, Chandyo Ram K, Thorne-Lyman Andrew L, Henjum Sigrun, Ueland Per M, Midttun Øivind, Shrestha Prakash S, Fawzi Wafaie W, Graybill Lauren, Strand Tor A

机构信息

Department of Child Health, Institute of Medicine, Tribhuvan University, Maharajgunj, P.O. Box 1524, Kathmandu 44600, Nepal.

Centre for International Health, University of Bergen, P.O. Box 7800, 5020 Bergen, Norway.

出版信息

Nutrients. 2016 Mar 8;8(3):149. doi: 10.3390/nu8030149.

Abstract

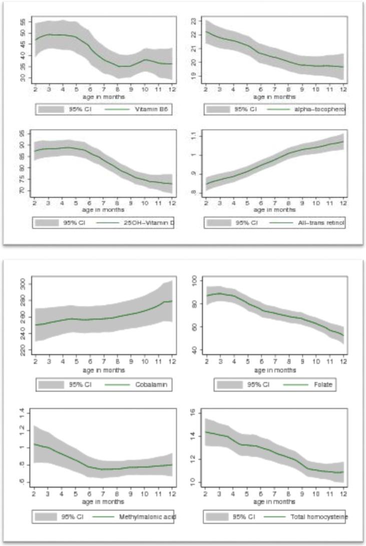
Vitamin deficiencies are known to be common among infants residing in low- and middle-income countries but relatively few studies have assessed several biochemical parameters simultaneously. The objective of the study was to describe the status of vitamins (A, D, E, B₆, B12 and folate) in breastfed infants. We measured the plasma concentrations of trans retinol, 25 hydroxy vitamin D, α-tocopherol, pyridoxal 5'-phosphate, cobalamin, folate, methylmalonic acid, homocysteine, hemoglobin and C-reactive protein from 467 randomly selected infants. One in five (22%) was deficient in at least one vitamin. Mean (SD) plasma folate concentration was 73 (35) nmol/L, and no infant in the sample was folate deficient. Vitamin B₆ deficiency and vitamin B12 deficiency was found in 22% and 17% of the infants, respectively. Elevated plasma methylmalonic acid or total homocysteine concentration was found in 82% and 62% of infants, respectively. Fifteen percent of infants were vitamin A deficient and 65% were marginally deficient in vitamin A. Fewer than 5% of infants had low plasma vitamin D concentration or vitamin E concentration (α-tocopherol <9.3 µmol/L). Our results illustrate the importance of continued supplementation campaigns and support the expansion of food fortification and dietary diversification programs that target children and women in Nepal.

摘要

众所周知,低收入和中等收入国家的婴儿普遍存在维生素缺乏的情况,但相对较少的研究同时评估了多个生化参数。本研究的目的是描述母乳喂养婴儿的维生素(A、D、E、B₆、B12和叶酸)状况。我们测量了467名随机选取婴儿的血浆视黄醇、25-羟基维生素D、α-生育酚、磷酸吡哆醛、钴胺素、叶酸、甲基丙二酸、同型半胱氨酸、血红蛋白和C反应蛋白的浓度。五分之一(22%)的婴儿至少缺乏一种维生素。血浆叶酸平均(标准差)浓度为73(35)nmol/L,样本中没有婴儿叶酸缺乏。分别有22%和17%的婴儿存在维生素B₆缺乏和维生素B12缺乏。分别有82%和62%的婴儿血浆甲基丙二酸或总同型半胱氨酸浓度升高。15%的婴儿维生素A缺乏,65%的婴儿维生素A边缘缺乏。血浆维生素D浓度低或维生素E浓度低(α-生育酚<9.3 µmol/L)的婴儿不到5%。我们的结果说明了持续开展补充剂运动的重要性,并支持扩大针对尼泊尔儿童和妇女的食品强化和饮食多样化计划。

https://cdn.ncbi.nlm.nih.gov/pmc/blobs/f809/4808878/59f3eb25192b/nutrients-08-00149-g001.jpg

文献检索

告别复杂PubMed语法,用中文像聊天一样搜索,搜遍4000万医学文献。AI智能推荐,让科研检索更轻松。

立即免费搜索

文件翻译

保留排版,准确专业,支持PDF/Word/PPT等文件格式,支持 12+语言互译。

免费翻译文档

深度研究

AI帮你快速写综述,25分钟生成高质量综述,智能提取关键信息,辅助科研写作。

立即免费体验