Suppr超能文献

副结核分枝杆菌亚种早期感染期间奶牛犊粪便和回肠黏膜相关微生物群的特征

The Features of Fecal and Ileal Mucosa-Associated Microbiota in Dairy Calves during Early Infection with Mycobacterium avium Subspecies paratuberculosis.

作者信息

Derakhshani Hooman, De Buck Jeroen, Mortier Rienske, Barkema Herman W, Krause Denis O, Khafipour Ehsan

机构信息

Department of Animal Science, University of Manitoba Winnipeg, MB, Canada.

Department of Production Animal Health, University of Calgary Calgary, AB, Canada.

出版信息

Front Microbiol. 2016 Mar 31;7:426. doi: 10.3389/fmicb.2016.00426. eCollection 2016.

Abstract

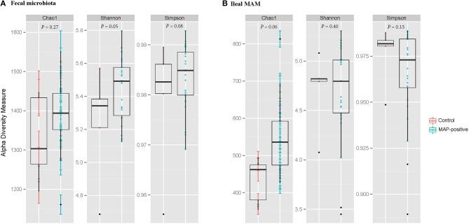
Current diagnostic tests for Johne's disease (JD), a chronic granulomatous inflammation of the gastrointestinal tract of ruminants caused by Mycobacterium avium subspecies paratuberculosis (MAP), lack the sensitivity to identify infected animals at early (asymptomatic) stages of the disease. The objective was to determine the pattern of MAP-associated dysbiosis of intestinal microbiota as a potential biomarker for early detection of infected cattle. To that end, genomic DNA was extracted from ileal mucosa and fecal samples collected from 28 MAP-positive and five control calves. High-throughput Illumina sequencing of the V4 hypervariable region of the 16S rRNA gene was used for community profiling of ileal mucosa-associated (MAM) or fecal microbiota. The PERMANOVA analysis of unweighted UniFrac distances revealed distinct clustering of ileal MAM (P = 0.049) and fecal microbiota (P = 0.068) in MAP-infected vs. control cattle. Microbiota profile of MAP-infected animals was further investigated by linear discriminant analysis effective size (LEfSe); several bacterial taxa within the phylum Proteobacteria were overrepresented in ileal MAM of control calves. Moreover, based on reconstructed metagenomes (PICRUSt) of ileal MAM, functional pathways associated with MAP infection were inferred. Enrichment of lysine and histidine metabolism pathways, and underrepresentation of glutathione metabolism and leucine and isoleucine degradation pathways in MAP-infected calves suggested potential contributions of ileal MAM in development of intestinal inflammation. Finally, simultaneous overrepresentation of families Planococcaceae and Paraprevotellaceae, as well as underrepresentation of genera Faecalibacterium and Akkermansia in the fecal microbiota of infected cattle, served as potential biomarker for identifying infected cattle during subclinical stages of JD. Collectively, based on compositional and functional shifts in intestinal microbiota of infected cattle, we inferred that this dynamic network of microorganisms had an active role in intestinal homeostasis.

摘要

当前用于诊断反刍动物副结核的检测方法,该疾病是由副结核分枝杆菌(MAP)引起的反刍动物胃肠道慢性肉芽肿性炎症,缺乏在疾病早期(无症状)阶段识别感染动物的敏感性。目的是确定肠道微生物群与MAP相关的失调模式,作为早期检测感染牛的潜在生物标志物。为此,从28头MAP阳性和5头对照小牛的回肠黏膜和粪便样本中提取基因组DNA。使用16S rRNA基因V4高变区的高通量Illumina测序对回肠黏膜相关(MAM)或粪便微生物群进行群落分析。基于未加权UniFrac距离的PERMANOVA分析显示,在MAP感染的牛与对照牛中,回肠MAM(P = 0.049)和粪便微生物群(P = 0.068)有明显聚类。通过线性判别分析效应大小(LEfSe)进一步研究了MAP感染动物的微生物群特征;对照小牛回肠MAM中,变形菌门内的几个细菌分类群含量过高。此外,基于回肠MAM的重建宏基因组(PICRUSt),推断出与MAP感染相关的功能途径。MAP感染小牛中赖氨酸和组氨酸代谢途径的富集,以及谷胱甘肽代谢、亮氨酸和异亮氨酸降解途径的减少,表明回肠MAM在肠道炎症发展中可能发挥作用。最后,在感染牛的粪便微生物群中,扁平球菌科和副普雷沃氏菌科同时过度富集,以及粪杆菌属和阿克曼氏菌属含量减少,可作为在副结核亚临床阶段识别感染牛的潜在生物标志物。总体而言,基于感染牛肠道微生物群的组成和功能变化,我们推断这个动态微生物网络在肠道稳态中发挥着积极作用。

https://cdn.ncbi.nlm.nih.gov/pmc/blobs/1ff2/4814471/679a10a3f726/fmicb-07-00426-g0001.jpg

文献AI研究员

20分钟写一篇综述,助力文献阅读效率提升50倍。

立即体验

用中文搜PubMed

大模型驱动的PubMed中文搜索引擎

马上搜索

文档翻译

学术文献翻译模型,支持多种主流文档格式。

立即体验